• 3ESO_UD2_1_Concepto de potencia y propiedades 1
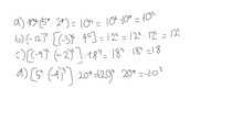
  • 3ESO_UD2_2_Propiedades de las potencias 2
  • 3ESO_UD2_3_Operaciones combinadas con potencias
  • 3ESO_UD2_4_Concepto de notación científica
  • 3ESO_UD2_5_Suma y resta en notación científica
  • 3ESO_UD2_6_Multiplicación y división en notación científica
  • 3ESO_UD2_7_Problemas de notación científica_Concepto de raíz cuadrada
  • 3ESO_UD2_8_Concepto de radical_Radicales como potencias
  • 3ESO_UD2_9_Operaciones combinadas con radicales
  • 3ESO_UD2_10_Radicales equivalentes y simplificación de radicales con el TDE
  • 3ESO_UD2_11_Simplificación de radicales con la fiesta_Sumas y restas de radicales
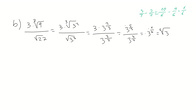
  • 3ESO_UD2_12_Producto de radicales
  • 3ESO_UD2_13_Ejercicios de producto de radicales