Saltar navegación

Activa JavaScript para disfrutar de los vídeos de la Mediateca.

Lugares geométricos. Esferas, circunferencias. Puntos de una recta que distan de un plano - Contenido educativo

Ajuste de pantalla

El ajuste de pantalla se aprecia al ver el vídeo en pantalla completa. Elige la presentación que más te guste:

Subido el 10 de diciembre de 2025 por Roberto A.

19 visualizaciones

jh

Descargar la transcripción

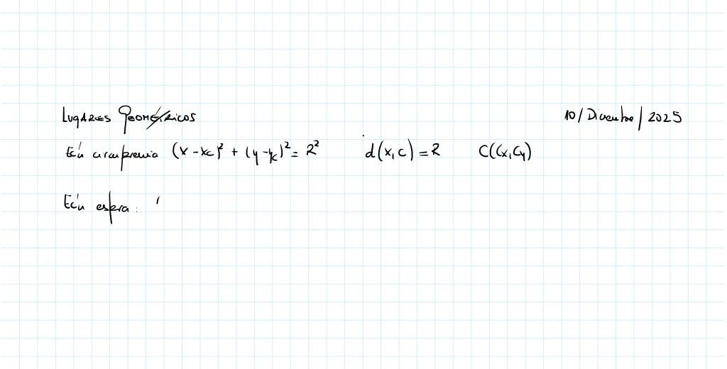
Bueno, vamos. Hoy es día 10, ¿vale? De diciembre del 25. Venga, vamos. Hola. 00:00:00
Digo, nuestra señora de Loreto 00:00:15
Ya ha ido, ya ha ido 00:00:25
Venga 00:00:28
Let's go 00:00:30
A ver esfera, a ver esfera 00:00:32
Bueno chavales, estuvimos el otro día 00:00:34
Haciendo un ejercicio 00:00:37
De lugares geométricos 00:00:38
¿Vale? 00:00:40
Donde vimos la ecuación de una esfera 00:00:44
Recordamos, la ecuación de una circunferencia, chavales, esta la sabéis o no, de una circunferencia normalmente es x menos x sub c, que es su centro al cuadrado, más y menos y sub c al cuadrado igual al radio al cuadrado. 00:00:47
¿Vale? Y esto se basa precisamente en un lugar geométrico. ¿Cuál es el lugar geométrico de una circunferencia? Pues que todos los puntos, la distancia de todos los puntos al centro, ¿vale? Es el radio, ¿vale? Es decir, la distancia de un punto X al centro es igual al radio, ¿vale? Entonces, el centro lo entendemos que es CX6, ¿sí? 00:01:05
Venga, entonces, luego teníamos la ecuación de una esfera, ¿verdad? 00:01:28
Ya está, ¿no? 00:01:34
Luego se lo cuenta, ¿sí? 00:01:36
Venga, entonces, una esfera, ¿qué es lo que ocurre? 00:01:38
Es exactamente lo mismo, pero son tres dimensiones. 00:01:40
Y entonces, ¿qué teníamos? 00:01:43
x menos x sub c al cuadrado más y menos y sub c al cuadrado 00:01:45
más z menos z sub z al cuadrado igual a r al cuadrado. 00:01:49
Entonces, nosotros tenemos que desarrollar esta fórmula de aquí 00:01:54
y saber discernir 00:01:57
cuando nos dan una ecuación de una esfera 00:01:59
saber cuál es el centro 00:02:01
¿de acuerdo? y cuál es 00:02:03
el radio 00:02:05
¿verdad? entonces 00:02:06
vaya, me está fastidiando 00:02:09
esto, que no sé por qué 00:02:11
Guille interneva 00:02:13
vamos a ver 00:02:14
¿eh? 00:02:16
bueno, entonces 00:02:21
chavales, venga, a ver si con esta me 00:02:23
entra mejor 00:02:25
Entonces, chaval, un ejercicio que me interesa, por favor, ya está, es un ejercicio que me interesa muchísimo, es el que empezamos a hacer, que era distinguir precisamente, me dan la ecuación de una circunferencia y saber hallar bien el radio y el centro, ¿vale? 00:02:26
Pero de ese ejercicio luego continuaba, que era bastante completo, ¿vale? 00:02:50
A ver si lo encuentro aquí, este de aquí, ¿vale? 00:02:59
Entonces, chavales, me daban esta ecuación, ¿de acuerdo? 00:03:07
Cuando me dan esta ecuación y me dicen que corresponde a una superficie esférica, ¿vale? 00:03:12
Yo tengo que ser capaz de saber cuál es el centro y el radio, 00:03:18
que este, si no me equivoco, creo que lo hicimos el otro día. 00:03:22
Vale, entonces, de todas formas lo tenemos aquí, ¿no? Vale, entonces, lo que me interesa es sobre todo este tipo de ejercicio, el 2. 00:03:25
Entonces, cuando, chavales, yo tengo, como es este ejercicio, una superficie esférica, que si os dais cuenta, ya os dan aquí la ecuación. 00:03:37
nosotros de aquí ya es fácil 00:03:49
no sé si sabéis así 00:03:51
¿alguien me sabe decir 00:03:53
de esta superficie esférica 00:03:54
cuál es el centro? 00:03:57
¿cuál es su centro? 00:03:59
¿eso lo veis todos? 00:04:01
que es 3 menos 2 es 1 00:04:02
¿por qué? 00:04:04
porque era x menos x sub c al cuadrado 00:04:06
más y menos y sub c al cuadrado 00:04:09
a z menos z sub z al cuadrado 00:04:11
igual al radio al cuadrado 00:04:14
¿lo veis? 00:04:15
¿sí? ¿todo el mundo entiende que eso lo sabe? 00:04:16
¿sí o no? 00:04:18
haciendo precisamente esto de aquí, fijaros, me lo voy a copiar, ¿vale? 00:04:19
Tengo esto de aquí, me lo llevo aquí y comparo, ¿vale? 00:04:27
Entonces, si yo comparo que tengo, chavales, x menos 3 al cuadrado más y más 2 al cuadrado 00:04:33
más z menos 1 al cuadrado igual a 25. 00:04:42
Entonces, ¿cuál es x sub c? 00:04:47
x sub c es igual a 3 00:04:49
¿Cuánto vale y sub c? 00:04:51
y sub c es menos 2 00:04:53
¿Cuánto vale z sub c? 00:04:54
es 1 00:04:56
Entonces, el centro es, como ha dicho Gallito 00:04:57
3 menos 2 00:05:00
¿Vale? 00:05:01
Todo el mundo 00:05:03
Everybody 00:05:03
¿Uno me lo comió? 00:05:04
Sí, me lo comió 00:05:07
Muy bien 00:05:08
Entonces, chavales 00:05:12
El radio 00:05:15
¿Cuánto vale el radio de esta esfera? 00:05:16
¿5? 00:05:20
¿Un premio? 00:05:20
¿Sí o no? 00:05:21
¿Vale? 00:05:23
¿Por qué? 00:05:23
Porque R al cuadrado es 25. 00:05:24
Entonces, R es la raíz cuadrada de 25, ¿vale? 00:05:27
Que es la raíz cuadrada de 25. 00:05:30
Entonces, ya tenemos definida ese centro y ese radio de aquí. 00:05:32
Entonces, ¿qué ocurre? 00:05:36
Que cuando yo tengo una circunferencia y la corta un plano, ¿vale? 00:05:37
La corta un plano. 00:05:43
Entonces lo que se forma es una circunferencia 00:05:44
Tenemos aquí el dibujo 00:05:47
Y este me interesa muchísimo 00:05:48
¿Lo veis? 00:05:49
Pues lo voy a dibujar yo y va a ser un mojón 00:05:51
¿Vale? 00:05:56
Entonces chavales, no sé si veis todo el mundo 00:05:57
Cuando tú tienes 00:05:59
Una esfera 00:06:01
Que es esta canica que tenemos aquí 00:06:03
Y la corta un plano 00:06:05
Pues lo que nos forma es esto que está 00:06:07
Encolorado, ¿de acuerdo? 00:06:09
Que es una 00:06:11
Circunferencia, ¿vale? 00:06:13
Entonces, lo que me piden de estas circunferencias, chavales, es precisamente, me pueden pedir, me piden en este caso, el radio de estas circunferencias, ¿vale? El radio de estas circunferencias. 00:06:15
Entonces, ¿qué es lo que vemos aquí? Pues aquí, precisamente, lo que tenemos que aplicar es a nuestro amigo Pitagorín, ¿vale? Es decir, ¿por qué aplicamos Pitagorín? 00:06:29
Porque si yo tengo este triángulo de aquí, veis que precisamente la hipotenusa, que es el radio de la esfera, ¿verdad? 00:06:41
Radio de la esfera. ¿Lo veis, todo el mundo? Es el radio de la esfera. 00:06:50
¿De acuerdo? Luego, este punto de aquí, es decir, si este es el punto Q, ¿verdad? Este es el punto Q. 00:06:57
esto de aquí es el plano 00:07:09
¿verdad chavales? no sé si veis aquí 00:07:13
que esto sería el plano 00:07:15
¿lo veis? 00:07:16
y entonces esto de aquí ¿qué es? 00:07:18
sería el centro de la circunferencia 00:07:20
¿no? CC ¿lo veis? 00:07:23
que es este punto de aquí 00:07:25
este es el CC 00:07:26
¿lo veis o no? 00:07:28
¿sí? 00:07:31
y luego precisamente el radio 00:07:32
es esto de aquí 00:07:35
¿lo entendéis 00:07:37
chavales, yo tengo aquí el radio de la esfera. Este R es el radio de la circunferencia. ¿Lo 00:07:39
veis todo el mundo? ¿No? A ver, ¿tú ves que cuando yo corto una esfera con un plano 00:07:53
se me forma esta circunferencia? ¿Sí? Vale. ¿Y tú ves que realmente este es el centro 00:08:00
de las circunferencias? Eso lo ves, ¿verdad? Entonces, si yo realmente hallo la proyección, 00:08:07
¿cuál sería ese cc? Ese sería la proyección ortogonal del centro de la esfera sobre el plano. 00:08:16
¿Lo veis o no? ¿Eso lo ves? Si yo proyecto ortogonalmente mi punto Q, que es el centro 00:08:23
de la esfera sobre el plano me da cc, ¿lo veis? Pues precisamente es la distancia que 00:08:31
hay desde el centro al plano, coincide. ¿Lo veis? ¿Sí o no? Entonces, ¿qué ocurre? 00:08:38
Que luego esta r pequeña de aquí, que es esta, que es la circunferencia, el radio de 00:08:43
la circunferencia, lo que forma aquí es 90 grados. Esto es 90 grados de aquí, ¿lo 00:08:49
¿Lo veis? 00:08:57
Y entonces, precisamente, la hipotenusa es el radio de la esfera. 00:08:58
Dime. 00:09:03
Ah, bueno, parece que no hace comprensión aquí, 00:09:06
pero estoy diciendo que el plano lo está poniendo por el medio. 00:09:08
No, por el medio no, sino que cuando tú tienes una esfera 00:09:12
y corta esa esfera un plano, 00:09:16
lo que te forma es una circunferencia. 00:09:21
¿Vale? 00:09:23
Es la característica que tiene la circunferencia 00:09:25
Que es 00:09:28
Cuando tú un plano cortas 00:09:29
A una 00:09:32
A una esfera 00:09:32
¿Vale? 00:09:35
¿Si o no? 00:09:37
Mira 00:09:39
A ver, es que yo dibujo muy mal 00:09:39
Pero no sé si aquí se ve 00:09:42
Si yo divido esto 00:09:44
Como esto son capas 00:09:46
Esto de aquí es una circunferencia 00:09:47
¿Lo veis? 00:09:50
Y entonces, claro, sí, sí, eso sí. 00:09:53
Entonces, si yo este en mi centro de la esfera, que es mi punto cubo, lo he llamado aquí, ¿no? 00:09:56
Y yo lo proyecto en el plano, ¿vale? 00:10:01
Justamente donde se proyecta. 00:10:05
Se proyecta en el centro de la circunferencia. 00:10:07
¿Lo veis? 00:10:10
Y ahora, este es el radio. 00:10:11
Lo voy a hacer en otro color, ¿vale? 00:10:13
Este es el radio de la circunferencia. 00:10:15
Pero es que este de aquí, en colorado, es el radio de la esfera. 00:10:18
¿Lo veis? ¿Sí o no? 00:10:23
Entonces este es el radio de la esfera, este de aquí es el radio de la circunferencia 00:10:25
y esto de aquí que es el otro cateto. 00:10:32
El otro cateto es realmente la distancia que hay desde el centro al plano. 00:10:35
¿Lo veis todo el mundo? ¿Sí? 00:10:40
Entonces esto de aquí es la distancia del centro de la esfera al plano. 00:10:42
¿Lo veis chavales? 00:10:57
Y entonces ya lo tengo todo. 00:11:00
Bueno, ya lo tengo todo. 00:11:02
¿Aquí qué tengo que aplicar? 00:11:03
A mi amigo Pitagorín. 00:11:05
¿Sí o no? 00:11:06
¿Vale? 00:11:08
Entonces. 00:11:08
Claro, mi amigo Pitagorín. 00:11:09
Entonces, ¿qué me decía el tema de Pitágoras, chavales? 00:11:11
Efectivamente, hipotenusa al cuadrado, ¿verdad? 00:11:20
Era igual a cateto 1 al cuadrado más cateto 2 al cuadrado. 00:11:23
¿Cuáles son los catetos en un triángulo, chavales? 00:11:29
¿Eh? 00:11:33
Yo soy también de pueblo. 00:11:37
¿Cuáles son los catetos en un triángulo rectángulo? 00:11:39
Los que forman el ángulo recto. 00:11:43
Muy bien, Andrés. 00:11:45
¿Vale? 00:11:46
Entonces, chavales, aquí en este caso, ¿qué ocurre? 00:11:46
Pues que yo, si vuelvo a dibujar mi triángulo rectángulo, 00:11:50
yo dibujo aquí mi triángulo rectángulo 00:11:57
¿cuál era la hipotenusa chavales? 00:12:00
¿cuánto era la hipotenusa? 00:12:06
esto de aquí es el radio ¿verdad? 00:12:09
de la hipotenusa 00:12:12
este es el radio 00:12:13
de la esfera 00:12:18
¿vale? que en nuestro caso 00:12:20
era 5 ¿os acordáis? 00:12:22
el punto Q 00:12:25
este es el centro 00:12:26
de la esfera. ¿Cuánto valía el centro de la esfera? 3 menos 2, 1. ¿Verdad? Esto de aquí, que es la distancia, 00:12:28
esto era la distancia de Q al plano pi, ¿no? Al plano pi. Precisamente esto de aquí es R, que es el radio, ¿vale? 00:12:41
el radio de la circunferencia 00:12:57
que es lo que me piden. 00:13:00
¿Vale? 00:13:03
Entonces, ¿cuánto vale pi? 00:13:04
Pues el plano es este de aquí, ¿vale? 00:13:08
Esto es el plano pi. 00:13:10
Entonces, chavales, recordamos ahora 00:13:14
cuánto es la distancia de q a pi. 00:13:17
¿Cómo se llama la distancia de q a pi? 00:13:21
Hay una fórmula, 00:13:23
que la verdad que está bastante bien, 00:13:25
donde hacemos el módulo 00:13:27
y sustituimos mi punto 3 menos 2, 1 en la fórmula del plano, ¿verdad? 00:13:28
Entonces, 2 por 3 menos 2 por menos 2, ¿verdad? 00:13:34
Más 1 menos 2, valor absoluto. 00:13:38
Y abajo, ¿qué era? 00:13:42
Era el módulo del vector normal del plano, ¿verdad? 00:13:44
3 al cuadrado más menos 2 al cuadrado más 1 al cuadrado. 00:13:47
¿Lo veis? 00:13:52
¿Y cuánto sale esto? 00:13:53
Esto es 6 más 4, 10, 10, 11, 9, ¿no? 00:13:55
Esto es 9 y esto que es raíz de 14, ¿no? 00:14:01
Que esto, racionalizando, 9 catorceavos raíz de 14. 00:14:08
No sé si me he equivocado, ¿no? 00:14:15
La fórmula de distancia de un punto en plano. 00:14:19
¡Ah, que me he equivocado! 00:14:24
Calla. 00:14:26
Vale. 00:14:27
Es el vector normal. 00:14:27
Lo he dicho bien, pero lo he 00:14:28
copiado mal. Vale, perdona. 00:14:30
El vector normal del plano 00:14:37
n sub pi 00:14:38
es 2 menos 2, 1, ¿verdad? 00:14:39
Vale, entonces 00:14:44
2 al cuadrado más 00:14:44
menos 2 al cuadrado más 1 al cuadrado. 00:14:46
Que es precisamente raíz de 9, ¿no? 00:14:49
¿Sí o no? 00:14:52
O sea, que es 9 tercios, 00:14:53
que esto vale 3, ¿no? 00:14:55
Me he equivocado. 00:14:56
La raíz sería 8. 00:14:57
esto es 6 00:15:04
más 4, 12 00:15:10
¿no? más 1, 13 00:15:12
a ver, 6 00:15:14
2 por 3, 6 00:15:20
y 4, 10, 11 menos 2, 9 00:15:21
¿está bien? 00:15:24
¿no? ¿sí? venga 00:15:25
Entonces, la distancia es 3. ¿Lo veis? ¿Sí o no? Y precisamente eso es una terna pitagórica. La terna pitagórica 3, 4, 5 es la más básica. 00:15:27
¿Vale? Entonces, precisamente, la r es, bueno, el teorema de Pitágoras, ¿qué me dice el teorema de Pitágoras? 00:15:40
En este caso, es la r grande es igual a d mayúscula más r minúscula, ¿verdad? 00:15:51
Entonces, la r mayúscula menos la distancia al cuadrado es igual al radio al cuadrado. 00:16:01
r es igual a la raíz 00:16:08
de r al cuadrado. ¿Me he equivocado o qué? 00:16:10
Porque en la 00:16:12
fórmula, en la parte de arriba 00:16:14
donde va el absoluto, porque es 1 por menos 00:16:16
Estoy sustituyendo 00:16:21
aquí el punto 3 00:16:22
menos 2, 1. Estoy 00:16:24
sustituyendo en el plano el punto 00:16:28
3 menos 2, 1. 00:16:30
Vale. ¿Y el menos 2 00:16:32
el otro de dónde viene? Aquí, del plano. 00:16:34
Ah, vale, vale. 00:16:36
¿Vale? Estoy sustituyendo en la ecuación del plano el punto. 00:16:38
Dime, hija. 00:16:44
Esto es una terna pitagórica. 00:16:49
Terna pitagórica. 00:16:51
Son números que cumplen el teorema de Pitágoras con números enteros. 00:16:55
¿Vale? 3, 4, 5. 00:16:59
Si te das cuenta, siempre la hipotenusa es el mayor, ¿verdad? 00:17:00
Entonces la hipotenusa está. 00:17:04
Entonces, ¿cuánto es 3 al cuadrado? 00:17:05
9 y 4 al cuadrado, 16 00:17:06
y 16 más 9, 25 00:17:09
porque si tú ya sabes 00:17:11
que uno es 3 y el otro es 4 00:17:13
si uno es 3 y el otro es 5 00:17:14
entonces tiene que salir 4 00:17:17
¿vale? entonces otra terna pitagórica 00:17:18
serían múltiplos aquí, ¿vale? 00:17:21
6, 8 y 10 también 00:17:23
cumple la terna pitagórica, ¿vale? 00:17:25
no, esto va a haber 00:17:29
no, no, esto es escultura 00:17:30
¿vale? esto es 00:17:32
escultura matemática 00:17:34
es lo que te digo, que es que precisamente 00:17:35
voy a aplicar el teorema de Pitágora 00:17:38
donde tengo que la hipotenusa 00:17:41
vale 5 y uno de los catetos 00:17:43
vale 3, entonces me va a salir 00:17:45
el otro que vale 4 00:17:47
porque precisamente una de las ternas pitagóricas 00:17:48
más importantes es el 00:17:51
3, 4, 5 00:17:53
que vamos, que si no lo hago 00:17:53
y te lo demuestro, ¿vale? 00:17:56
¿Cuánto vale el radio de la esfera? 00:17:58
5 al cuadrado 00:18:01
¿Cuánto vale la distancia que hemos calculado? 00:18:03
3 al cuadrado. ¿Esto cuánto es? 00:18:05
25 menos 9 es la raíz 00:18:08
de 16. ¿Cuánto es la raíz de 16? 00:18:09
Pues 4 unidades. 00:18:12
¿Lo veis cómo me va a salir 00:18:15
4? Es una de las 00:18:15
ternas pitagóricas por excelencia. 00:18:17
El 3, 4, 5. 00:18:19
¿Vale? 00:18:21
Si me pidieran, por ejemplo, 00:18:24
me lo estoy inventando, y si me piden 00:18:25
¿cuál es el centro de la 00:18:27
circunferencia? 00:18:28
¿Cuál es el centro de la circunferencia? 00:18:31
¿Hola? 00:18:36
el punto Q 00:18:42
no, el punto Q es el centro de la esfera 00:18:46
¿cuál es el punto de la circunferencia? 00:18:47
la proyección ortogonal 00:18:54
¿y cómo se hacía eso? 00:18:56
ya de paso 00:18:57
a una recta perpendicular 00:18:58
al plano 00:19:08
que pase por el punto Q 00:19:08
la intersección 00:19:12
es la recta, os lo dejo para ustedes 00:19:13
Hacerlo en casa 00:19:16
Hallar el centro de la circunferencia 00:19:19
El centro de la circunferencia 00:19:25
Lo voy a llamar aquí 00:19:28
Esto de aquí 00:19:29
Hacerlo en casa 00:19:31
Y es lo de siempre 00:19:32
Es proyectar sobre este plano 00:19:34
El punto Q 00:19:36
Una recta perpendicular al plano 00:19:37
Que pase por Q 00:19:45
y luego la intersecas con el 00:19:46
con el 00:19:49
con el plano 00:19:51
¿sí o no? 00:19:55
y yo esto es entrar 00:19:58
de esa vez de la semana que viene 00:19:59
¿pero estás viendo lo que estoy diciendo? 00:20:00
¿qué pasa con el CC? 00:20:06
el CC es lo que yo quiero hallar 00:20:09
el CC es la proyección de Q sobre el plano 00:20:11
claro, no ves que forma 00:20:17
un ángulo recto aquí 00:20:19
yo tengo aquí mi plano 00:20:20
este es mi plano 00:20:24
y este es mi punto Q 00:20:25
precisamente para tener 00:20:30
el teorema de Pitágoras 00:20:31
es la proyección de Q sobre el plano 00:20:35
¿y yo? 00:20:36
a ver, vamos a ver 00:20:46
¿cómo se halla, chavales 00:20:47
la proyección ortogonal de un punto sobre un plano? 00:20:51
¿Cómo se halla? 00:20:55
Ya está. 00:21:00
Ya está. 00:21:01
¿Y qué estamos hablando? ¿Qué hemos dicho? 00:21:02
¿Pero qué es eso? 00:21:07
¿Y qué me has dicho? 00:21:10
Tienes que pasar por el punto CC. 00:21:10
Si el CC lo tienes que hallar. 00:21:12
¿Cómo? 00:21:19
En el dibujo está como tijado. 00:21:20
Claro, pero porque está 00:21:23
como la madre del rey, pero vamos 00:21:24
que es lo mismo, por eso te he hecho yo 00:21:26
el dibujo este 00:21:28
por eso te he hecho yo el dibujo ese 00:21:30
¿vale? ¿sí o no? 00:21:32
Paula, anda 00:21:35
deja de hacer otra cosa, mi arma 00:21:36
¿te parece? 00:21:38
venga 00:21:42
es que esto va a caer 00:21:42
pero bueno 00:21:45
¿sabéis allá la base, el punto 00:21:45
ortogonal de un punto sobre un plano? 00:21:49
una pollada 00:21:51
Irving Power Ranger 00:21:52
¿Vale? Let's go 00:21:54
Venga 00:21:56
Venga chavales, aquí 00:21:57
este ejercicio hacedlo ustedes, tenéis el solucionario 00:22:00
pero si tenéis alguna duda me preguntáis 00:22:03
¿Vale? ¿Sí o no? 00:22:05
Esto es súper fácil 00:22:07
¿Vale? Entonces chavales 00:22:08
esto de aquí me interesa 00:22:10
pero a lo mejor lo que hacemos lo vemos 00:22:12
cuando terminemos 00:22:14
todo ¿Vale? De elipsoides 00:22:16
de tal 00:22:18
si nos da tiempo sí, pero si no, no 00:22:19
¿vale? 00:22:24
esto, sí 00:22:27
sí, se llama 00:22:28
el huevo malo, vamos 00:22:30
el elixir del huevo malo 00:22:31
¿vale? está la hipérbola 00:22:33
no es complicado, ¿vale? lo que pasa que 00:22:35
es lo que más me interesa, chavales 00:22:37
fijaros, esta parte de aquí 00:22:39
súper importante para el examen 00:22:41
todos estos que estén aquí 00:22:43
de ejercicios y problemas resueltos 00:22:46
y de los guiados 00:22:48
echarle un vistazo 00:22:48
porque son bastantes, tanto del 5, del 6 00:22:50
como del 7, ¿vale? 00:22:53
Dime 00:22:54
Sí, dime 00:22:55
Ah, no, aquí está el tema 7 solo, dime 00:22:59
Sí, es que quiero hacer 00:23:02
esto que me interesa mucho 00:23:06
Venga, chavales, simétrico de un punto 00:23:07
respecto a una recta, ya lo vimos 00:23:10
la otra vez 00:23:12
La simétrica, por favor 00:23:14
La simétrica de una recta 00:23:16
respecto a un plano, está en los ejercicios 00:23:21
tipo que os di en el otro examen. 00:23:23
¿Vale? Igual, súper fácil 00:23:25
también. ¿Vale? Esto, 00:23:26
hacerlo. 00:23:29
La distancia entre rectas paralelas, la hemos 00:23:30
visto ahora. La distancia entre rectas 00:23:33
que se crucen... 00:23:35
¿Cómo? 00:23:36
Ya lo hemos hecho 00:23:42
también, ¿no? 00:23:44
¿Vale? 00:23:51
Entonces, chavales, este tipo de ejercicio, por ejemplo, este tipo de ejercicio lo intentaremos hacer el viernes, ¿vale? Pero no es complicado. 00:23:52
Este de aquí, a ver, esta es la página 198. Este de aquí me interesa muchísimo, ¿vale? Este de aquí prepararlo para el viernes, ¿vale? 00:24:08
¿De acuerdo? 00:24:32
Realmente dice, comprueba que las rectas R y S se cruzan 00:24:38
¿Vale? Eso lo hacemos con el 00:24:41
con el, vemos que los vectores y directores no son 00:24:44
proporcionales, hacemos el determinante, vemos que el determinante 00:24:47
es distinto de cero porque no son coplanarios 00:24:50
¿De acuerdo? Y luego dice la ecuación 00:24:53
de los planos paralelos a R y S 00:24:56
lo que dicta raíz 14u unidades, ¿vale?, de S, ¿vale? 00:24:58
Esto es un ejercicio súper típico, esto de aquí, ¿vale? 00:25:05
La ecuación de los planos paralelos a R y S, es decir, tú tienes que hallar un plano que contenga tanto a R y a S, ¿sí o no? 00:25:10
Un plano que contenga a R y a S, ¿vale?, ¿sí o no? 00:25:18
Sí. 00:25:27
Que contenga las dos. 00:25:29
perdona, son independientes 00:25:32
perdona, se me ha ido la olla 00:25:38
que voy con un tapo 00:25:40
que quiero hacer otro ejercicio 00:25:43
que dictan 00:25:44
raíz 14 00:25:46
raíz 14 de 00:25:47
son dos planos 00:25:54
son dos planos distintos 00:25:56
si es la distancia raíz 14 00:25:58
vale 00:26:03
vale, espérate que yo es el que quiero hacer 00:26:03
el viernes, vale 00:26:07
intentarlo hacer 00:26:10
de acuerdo, puntos equidistantes 00:26:12
este también está bastante bien 00:26:15
la recta perpendicular común 00:26:16
que ya la hemos visto a dos rectas que se cruzan 00:26:18
este también 00:26:21
¿sabes lo que es equidistante? 00:26:22
¿sabes qué significa aquí distante? 00:26:30
está a la misma distancia 00:26:34
¿vale? 00:26:36
¿sí? 00:26:37
bueno, si queréis vemos este 00:26:40
venga, ¿este de qué página es? 00:26:41
ah, pues yo me he pasado el que yo quiero 00:26:44
vale, este de aquí 00:26:45
¿cuál es el que yo quiero? 00:26:49
ah, vale, aquí 00:26:57
este, vale 00:26:58
este es el que me interesa 00:26:59
¿vale, chavales? 00:27:01
sí, por fin 00:27:02
estos dos de aquí, ¿vale? 00:27:03
Dice, mira, hay uno que está hecho 00:27:10
y el que me interesa mucho es este de aquí. 00:27:13
Dice, dada la recta R y el punto Q, ¿vale? 00:27:15
Allá un punto P de la recta que aquí diste una unidad, ¿vale? 00:27:19
Es decir, nosotros hasta ahora todos los ejercicios 00:27:24
que hemos hecho es hallar distancia, ¿vale? 00:27:26
¿Sí o no? 00:27:29
Entonces, nosotros ahora lo que tenemos es una recta R, ¿vale? 00:27:30
Una recta R que nos la dan en implícita, ¿verdad? 00:27:35
Y es igual a 1 y Z es igual a 0. 00:27:38
¿Alguien me la sabe pasar para la métrica del tirón? 00:27:41
Sí, sí. 00:27:44
X es igual a 0. 00:27:46
¿Qué es X es igual a 0? 00:27:50
No, no me dicen nada. 00:27:52
Claro. 00:27:54
¿Vale? 00:27:55
X es igual a lambda, ¿vale? 00:27:56
Y es igual a 1 y Z es igual a 0, ¿vale? 00:27:58
Esta es la ecuación R en paramétrica. 00:28:02
Porque precisamente la X puede tomar cualquier valor en mi grado de libertad, ¿vale? 00:28:08
Entonces, ¿cuál es un punto de R, chavales? 00:28:14
El 0, 1, 0, ¿verdad? 00:28:17
¿Y cuál es el vector director de R? 00:28:19
El 1, 0, 0, ¿vale? 00:28:23
Que no caigo en esto, ¿cómo lo haría, chavales? 00:28:25
Haría el producto vectorial, ¿verdad? 00:28:30
¿De qué? 00:28:33
Haría el producto vectorial de 0, 1, 0 y de 0, 0, 1, ¿verdad? 00:28:34
Yo no. 00:28:40
Me saldría al final el 1, 0, 0, ¿de acuerdo? 00:28:41
Y luego, pues, le doy a X, ahora sí, le puedo dar el valor que yo quiera, ¿vale? 00:28:45
Es decir, le puedo dar 0, 1, 0, pues ya sabes que ahí vale 1 y que Z vale 0. 00:28:51
Le puedo dar el 1, 1, 0, el 2, 1, 0, el menos 800, 1, 0, ¿de acuerdo? 00:28:56
¿Sí? Venga, estupendo. Vale. Entonces, chavales, ¿qué ocurre? Lo que me dicen es que hay un punto P, pero no un punto P cualquiera. Es un punto P que pertenece a esta recta. ¿Vale? Un punto P que pertenece a esta recta. 00:29:02
Si el punto P pertenece a esta recta, ¿cuál va a ser un punto genérico que pertenezca a R? 00:29:21
Un punto genérico de R, ¿cuál va a ser? 00:29:30
Lambda 1, 0. 00:29:33
¿Eso lo entiende todo el mundo? 00:29:36
No. 00:29:38
Cuando yo tengo una ecuación en paramétricas y yo quiero un punto en concreto, 00:29:39
lo que hago es a lambda le doy mi número favorito. 00:29:46
Normalmente yo a lambda le doy el 0. 00:29:50
Si yo a lambda le doy 0, ¿qué tengo? El 0, 1, 0, ¿lo veis? 00:29:52
Si yo a lambda le doy un 10, que es la nota que vais a sacar, es 10, 1, 0. 00:29:56
Si yo a lambda le doy menos 5, es menos 5, 1, 0. Cualquier punto. 00:30:03
Pero si yo quiero un punto genérico, lo que hago es cojo la x de la paramétrica, 00:30:08
la y de la paramétrica y la z de la paramétrica. 00:30:15
había un método 00:30:18
que precisamente lo hacíamos 00:30:20
con los puntos genéricos, ¿os acordáis? 00:30:22
¿Sí? Entonces, en este caso 00:30:24
un punto genérico de mi recta 00:30:26
es lambda 1,0. ¿Eso qué significa? 00:30:27
Que todas, todas, 00:30:30
todos los puntos de la 00:30:32
recta R 00:30:34
van a cumplir esta propiedad. 00:30:36
Es decir, la i 00:30:38
siempre va a valer 1, la z va a valer 00:30:40
0, y lambda puede valer cualquier 00:30:42
cosa. ¿Vale? 00:30:44
Lambda pertenece a los números reales. 00:30:46
Y ahora, ¿cómo hallo la distancia de un punto a una recta? ¿Os acordáis? ¿Cómo hallo la distancia de un punto a una recta? ¿Cómo hallo la distancia? 00:30:48
Ah, no, perdona 00:31:05
Dice, haya un punto P de la recta R 00:31:14
tal que la distancia, ¿no? 00:31:17
Esto es mucho más fácil, ¿vale? 00:31:18
¿Cuál es la distancia entre P y G? 00:31:20
Entre P y Q, que el Q me lo dan aquí 00:31:22
Pues entonces 00:31:24
PG sub RQ, ¿vale? 00:31:25
El vector 00:31:28
Es decir, joder 00:31:29
La distancia 00:31:32
entre P y Q 00:31:35
era precisamente el módulo del vector PQ, ¿verdad? 00:31:36
¿Sí o no? 00:31:41
¿Sí o no? 00:31:42
Esto me dice que es una unidad. 00:31:43
¿Sí o no? 00:31:46
Pero ese P es... 00:31:46
Es un punto P que yo tengo que buscar. 00:31:48
Pero ese es P genérico. 00:31:50
No, es un punto P que yo tengo que buscar, ¿vale? 00:31:51
Entonces, ¿qué ocurre? 00:31:55
Que yo lo que voy a hacer, voy a forzar, 00:31:56
voy a forzar que cualquier punto de la recta, 00:31:59
es decir, con el punto P genérico, 00:32:03
lo que yo voy a forzar es que la distancia entre Pg y Q sea 1, ¿para qué? 00:32:05
Para hallar el único lambda que me va a dar que ese punto está a esa distancia. 00:32:13
¿Lo entendéis lo que voy a hacer? Vale, entonces, ahora sí, ¿cuánto vale PgRQ? 00:32:19
El vector PgRQ es 1 menos lambda, 0, 1. ¿Sí o no? 00:32:26
¿alguien se me ha perdido aquí? 00:32:32
lo que he restado es 00:32:36
1 menos lambda 00:32:37
1 menos lambda, 1 menos 1, 0 00:32:38
1 menos 0 00:32:41
1, ¿vale? 00:32:44
entonces, ¿cuál es el 00:32:47
vector, cuál es el módulo 00:32:49
del PSURQ? 00:32:51
¿cuál es el módulo? 00:32:53
pues 00:32:55
dime hija 00:32:55
esto es lo que tengo que hallar 00:32:57
lo que tengo que hallar, ¿vale? 00:33:01
Entonces, la componente primera al cuadrado 00:33:04
más la componente segunda al cuadrado 00:33:07
más la componente segunda al cuadrado, 00:33:08
su raíz, ¿verdad? 00:33:10
¿Sí o no? 00:33:12
Todo esto, ¿qué ocurre? 00:33:13
¿Cuánto tiene que ser, chavales? 00:33:15
Uno, ¿vale? 00:33:17
Entonces, ¿qué ocurre? 00:33:19
Que yo tengo al final aquí 00:33:20
uno menos lambda al cuadrado más uno, 00:33:22
es igual a uno al cuadrado, 00:33:25
es decir, lo que he hecho aquí 00:33:27
le va todo al cuadrado, ¿vale? 00:33:28
¿para qué? para hacer picarme la raíz 00:33:29
¿vale? entonces 00:33:34
¿qué es lo que me queda aquí chavales? 00:33:36
de aquí me queda 00:33:39
que 1 menos lambda al cuadrado 00:33:39
es igual a 0 00:33:42
¿estáis de acuerdo conmigo o no? 00:33:43
¿sí o no? entonces ¿qué ocurre? 00:33:46
que 1 menos lambda es igual a 0 00:33:48
lambda es igual a 1 00:33:50
¿vale? entonces 00:33:52
¿cuál es el procedimiento aquí? que parece 00:33:55
un chocho pero es muy fácil 00:33:57
hoy el gallito 00:33:58
no está. 00:34:01
Sí, sí, está disperso, está disperso. 00:34:04
Le falta su amor. 00:34:06
¿Iba a repetir todo? 00:34:09
¿Te importa que lo repito? 00:34:13
Chavales, me dan una 00:34:16
resta, ¿vale? Y me dan 00:34:17
un punto. Y me dice que hay 00:34:19
un punto de esa resta, 00:34:21
¿vale? Que hay un punto de esa resta 00:34:23
que el equidista, 00:34:26
bueno, el equidista no, cuya distancia al 00:34:27
punto P es 1. 00:34:29
¿Vale? Es un 1. 00:34:31
Realmente, si yo dibujo esto de aquí, chavales, 00:34:33
yo tengo aquí, por ejemplo, esta recta, ¿vale? 00:34:37
Esta recta, y yo tengo aquí, un momentillo, que ahora lo subo, ¿vale? 00:34:41
Y tengo aquí el punto Q. 00:34:45
Vaya mojo. 00:34:49
Este es el punto Q, y esta es mi recta R, ¿vale? 00:34:50
Lo que me están diciendo es que de todos los puntos de la recta 00:34:53
habrá uno, ¿vale? 00:34:57
que puede ser cualquiera de aquí 00:34:59
por ejemplo este, ¿vale? 00:35:02
cuya distancia aquí 00:35:04
¿vale? sea 1 00:35:05
¿vale? 00:35:08
la distancia del punto a la recta 00:35:10
no sé cuánto es 00:35:12
la distancia del punto a la recta no lo sé 00:35:13
y en este caso ni me interesa 00:35:16
¿vale? pero la distancia 00:35:17
del punto 00:35:19
del punto Q 00:35:21
aquí 00:35:24
a este punto 00:35:25
a este punto 00:35:27
P es 1 00:35:31
¿lo veis? 00:35:34
¿ya vale? 00:35:37
yo haré toda la recta 00:35:39
yo no sé la distancia que hay entre Q y la recta 00:35:40
porque la distancia entre Q y la recta 00:35:43
yo tengo que hacer aquí el ortogonal 00:35:45
que es la base ortogonal 00:35:47
de la proyección 00:35:49
ortogonal de Q aquí 00:35:51
y esa sería la distancia de Q a la recta 00:35:52
a mí lo que me está pidiendo es 00:35:56
de los infinitos puntos de la 00:35:57
recta, ¿cuál es el que está 00:35:59
a una distancia 1 de Q? 00:36:01
¿Vale? ¿Lo veis o no? 00:36:03
¿Sí? Vale. Entonces, 00:36:05
¿qué ocurre? Que yo lo que hago, 00:36:07
chavales, es me cojo 00:36:09
un punto genérico de mi 00:36:11
recta, porque yo precisamente 00:36:13
de los infinitos, yo tan solo 00:36:15
quiero tener uno, y 00:36:17
hallo la distancia de un punto 00:36:19
genérico de la recta a Q. 00:36:21
Esfuerzo que sea 1. 00:36:23
Esfuerzo que sea 1. 00:36:25
¿Vale? Entonces, ¿qué es lo que hago? Pues hallo el vector genérico de RQ, ¿de acuerdo? 00:36:27
Que va a ser en función de lambda, que es este de aquí, y ahora hallo, yo esfuerzo que esa distancia sea 1. 00:36:38
¿Lo veis? ¿Sí o no? Y entonces, ¿qué hago? Pues nada, elevo al cuadrado y obtengo que lambda vale 1. 00:36:46
¿Cuál es mi punto P? 00:36:53
Pues el punto P es el punto genérico para lambda igual a 1. 00:36:56
Es decir, ¿cuánto vale P? 00:37:02
1, 1, 0. 00:37:04
¿Lo entendéis o no? 00:37:07
Sí. 00:37:10
1 menos lambda. 00:37:13
Si yo tengo 1 menos lambda igual a 0, ¿qué significa? 00:37:15
Que 1 menos lambda es igual a 0. 00:37:18
y tú tienes que una menos landa al cuadrado es igual a cero eso qué significa que uno menos 00:37:23
landa es igual a cero este claro cuál es el único número cuyo cuadrado de cero 00:37:35
cuál es el único número cada llevarlo al cuadrado de acero 00:37:44
cero 00:37:52
entonces lo que hay dentro del cuadrado 00:37:54
tiene que valer cero 00:37:57
¿sí? 00:37:59
vamos a hacer el mismo pero con distancia 00:38:01
cuatro, ¿queréis hacerlo con distancia 00:38:03
cuatro? 00:38:05
pero 00:38:06
¿de dónde sale? 00:38:06
porque vale 00:38:15
uno, uno, uno 00:38:18
¿vale? 00:38:20
El punto Q es 1, 1, 1. 00:38:22
¿Vale? 00:38:24
Claro, no, hombre, no me lo he inventado. 00:38:25
¿Vale, chavales? 00:38:28
¿Hacemos este mismo ejercicio con distancia 4, por ejemplo? 00:38:29
¿Sí? 00:38:33
Dime. 00:38:34
Venga, vamos a hacer otro. 00:38:41
Venga, venga, no te preocupes. 00:38:42
Dime. 00:38:45
sustituyo 00:38:52
1, 1, 0 00:38:54
aquí, hoy no veo 00:38:55
cola de esta 00:38:57
ahora me vas a decir tú un ejemplo del que tú quieras 00:38:58
¿vale? venga 00:39:01
venga 00:39:02
send on example 00:39:05
dime una resta 00:39:09
send on, all you want 00:39:13
r es 1 más lambda 00:39:14
x es 1 más lambda 00:39:17
y el 2 00:39:19
x es igual a 1 más lambda 00:39:20
2 más lambda 00:39:25
4 menos lambda 00:39:26
¿vale? 00:39:30
¿y qué punto quieres que sea q? 00:39:32
2, 8 00:39:37
2, 8 00:39:38
necesito silencio chavales 00:39:39
2, 8 00:39:41
y ¿qué distancia quieres que sea? 00:39:42
la distancia es 2 también 00:39:48
¿te gusta el 2 verdad mi arma? 00:39:49
estupendo 00:39:51
Entonces, chavales, ¿cómo hago esto? Pues yo primero, el primer paso, tengo que hallar el vector P genérico RQ. 00:39:51
Voy a hallar punto DR que dista dos unidades al punto Q282, ¿vale? Este es mi enunciado, ¿vale? 00:40:04
Entonces, buena pregunta porque si no, no sabemos qué estamos haciendo. 00:40:26
Entonces, yo tengo que hallar primero el vector P de un punto genérico de R con Q, ¿verdad? 00:40:29
Entonces, ¿esto qué sería? 2 menos 1 más lambda, ¿verdad? 00:40:40
Ahora lo calculamos. 8 menos 2 más lambda, ¿verdad? 00:40:44
Y 2 menos 4 menos lambda. 00:40:49
¿Estamos de acuerdo? 00:40:52
Es decir, ¿eso qué es? Es 1 menos lambda, ¿verdad? 6 menos lambda y menos 2 más lambda. 00:40:52
¿Todo el mundo hasta aquí sabe allá el vector P, el punto genérico Q? ¿Sí o no? 00:41:01
Entonces, ¿qué es lo que me dicen? Que la distancia de P a Q es igual a 2, pero es que P pertenece a R. 00:41:10
Entonces, como P pertenece a R, tiene que ser un punto, primero, un punto genérico. 00:41:22
Lo que yo quiero hallar es qué lambda hace que precisamente el módulo de este vector sea cuánto. 00:41:27
Yo lo que voy a hallar es el lambda que hace que el módulo de este vector de aquí sea cuánto. 00:41:38
2. Muy bien. 00:41:43
Entonces, ¿qué es lo que hago? 00:41:46
Que la distancia de punto genérico a Q tiene que ser 2. 00:41:48
¿Y eso qué implica? Que la raíz de 1 menos lambda al cuadrado más 6 menos lambda al cuadrado... 00:41:53
Hostia, vamos fatal de tiempo. 00:42:01
Tiene que ser igual a 2. ¿Lo veis, chavales? ¿Sí o no? 00:42:06
Que me puede salir un valor o dos o ninguno, ¿vale? 00:42:10
Entonces, ¿esto qué ocurre? 00:42:14
Ahora esto es 1 menos 2 lambda más lambda al cuadrado más 36 menos 12 lambda más lambda al cuadrado más 4 más lambda al cuadrado menos 4 lambda sea igual a 4, ¿lo veis? 00:42:15
¿Por qué? Porque elevo al cuadrado todo, ¿sí o no? 00:42:37
Entonces, chavales, ¿esto qué me queda? 00:42:42
Me queda 3 lambda al cuadrado, ¿verdad? 00:42:45
Esto que me queda 00:42:47
Menos 14, menos 16 00:42:52
¿No? 00:42:54
Sí, menos 18, ¿no? 00:43:01
Gracias, Hugo 00:43:02
Leo, padre 00:43:03
Y lo otro que me queda 00:43:06
Igual a 4 00:43:13
Esto no sé si va a salir un número bonito 00:43:16
Que seguramente no, porque nos acabamos de inventar 00:43:17
Entonces, 3 lambda al cuadrado 00:43:19
Menos 18 lambda 00:43:22
Más 27 00:43:23
Es 41, ¿no? 00:43:25
Vamos a hacerlo ustedes 00:43:28
Más 41 igual a 4 00:43:32
Y esto ya sería más 37 00:43:35
Esto va a salir números horrorosos 00:43:37
Va a salir en función de una raíz 00:43:39
¿De acuerdo? 00:43:42
Me va a salir una raíz 00:43:44
Como nos lo acabamos de inventar 00:43:45
Pero a mí más que resulta 00:43:47
Lo que me interesa que sepáis 00:43:49
El método 00:43:51
Esto va a salir números feísimos 00:43:52
Lo sustituye 00:43:55
Imagínate 00:43:58
Esto no es verdad, ¿eh? 00:43:58
No es verdad 00:44:01
Puede que de dos puntos, puede ser 00:44:02
¿Vale? Es que fíjate 00:44:05
Fíjate, chavales 00:44:07
Cuando sale uno, cuando sale dos 00:44:10
Si yo tengo aquí mi recta 00:44:13
¿Qué es aquí? Coño 00:44:15
Yo tengo aquí mi recta, ¿vale? 00:44:17
Si yo tengo aquí un punto 00:44:21
Tengo el punto 00:44:23
Y esta es mi recta R, ¿vale? 00:44:29
¿Qué es lo que ocurre, chavales? 00:44:31
Que si yo tengo aquí esto 00:44:33
y ahora esto de aquí es lo mismo que esto, ¿verdad? 00:44:35
¿Sí o no? 00:44:40
¿Sí o no? 00:44:41
Entonces, estos ejercicios normalmente suelen salir dos puntos. 00:44:42
Dos puntos, ¿vale? 00:44:50
¿Cuándo me sale uno? 00:44:52
Pues cuando coincide con la proyección ortogonal. 00:44:53
Cuando es perpendicular. 00:44:57
¿Vale? 00:45:00
Es lo que nos salía antes. 00:45:01
¿Lo veis, chavales, o no? 00:45:04
Yo al final, tú ves aquí la red y ves aquí el punto, ¿no? 00:45:06
Entonces, la distancia, si yo elijo, yo hago la proyección, ¿vale? 00:45:10
Y no sé cuánto vale, ¿vale? No sé cuánto vale. 00:45:15
Pero tú ves que a partir de la proyección ya hay puntos simétricos, digamos. 00:45:18
Entonces, ¿qué ocurre? 00:45:23
Que esta distancia de aquí a este punto es la misma que este de aquí. 00:45:25
Claro, claro. De estos ejercicios la mayoría de las veces salen dos puntos. 00:45:31
¿Cuándo no sale uno? Cuando coincide con la proyección ortogonal. 00:45:38
A mí este es súper importante, ¿eh? Este lo quiero hacer. Es que nos falta poquísimo tiempo. 00:45:43
Gracias por ver el video. 00:45:51
Valoración:
  • 1
  • 2
  • 3
  • 4
  • 5
Eres el primero. Inicia sesión para valorar el vídeo.
Idioma/s:
es
Idioma/s subtítulos:
es
Materias:
Matemáticas
Niveles educativos:
▼ Mostrar / ocultar niveles
  • Bachillerato
    • Segundo Curso
Autor/es:
Roberto Aznar
Subido por:
Roberto A.
Licencia:
Reconocimiento - No comercial - Compartir igual
Visualizaciones:
19
Fecha:
10 de diciembre de 2025 - 17:19
Visibilidad:
Público
Centro:
IES JIMENA MENÉNDEZ PIDAL
Duración:
46′ 20″
Relación de aspecto:
1.97:1
Resolución:
1024x520 píxeles
Tamaño:
96.35 MBytes

Del mismo autor…

Ver más del mismo autor

Comentarios

Para publicar comentarios debes entrar con tu nombre de usuario de EducaMadrid.

Comentarios

Este vídeo todavía no tiene comentarios. Sé el primero en comentar.



EducaMadrid, Plataforma Educativa de la Comunidad de Madrid

Plataforma Educativa EducaMadrid