Saltar navegación

Activa JavaScript para disfrutar de los vídeos de la Mediateca.

Tres ejercicios de dominio función polinómica y función racional - Contenido educativo

Ajuste de pantalla

El ajuste de pantalla se aprecia al ver el vídeo en pantalla completa. Elige la presentación que más te guste:

Subido el 20 de marzo de 2021 por Jose S.

19 visualizaciones

Descargar la transcripción

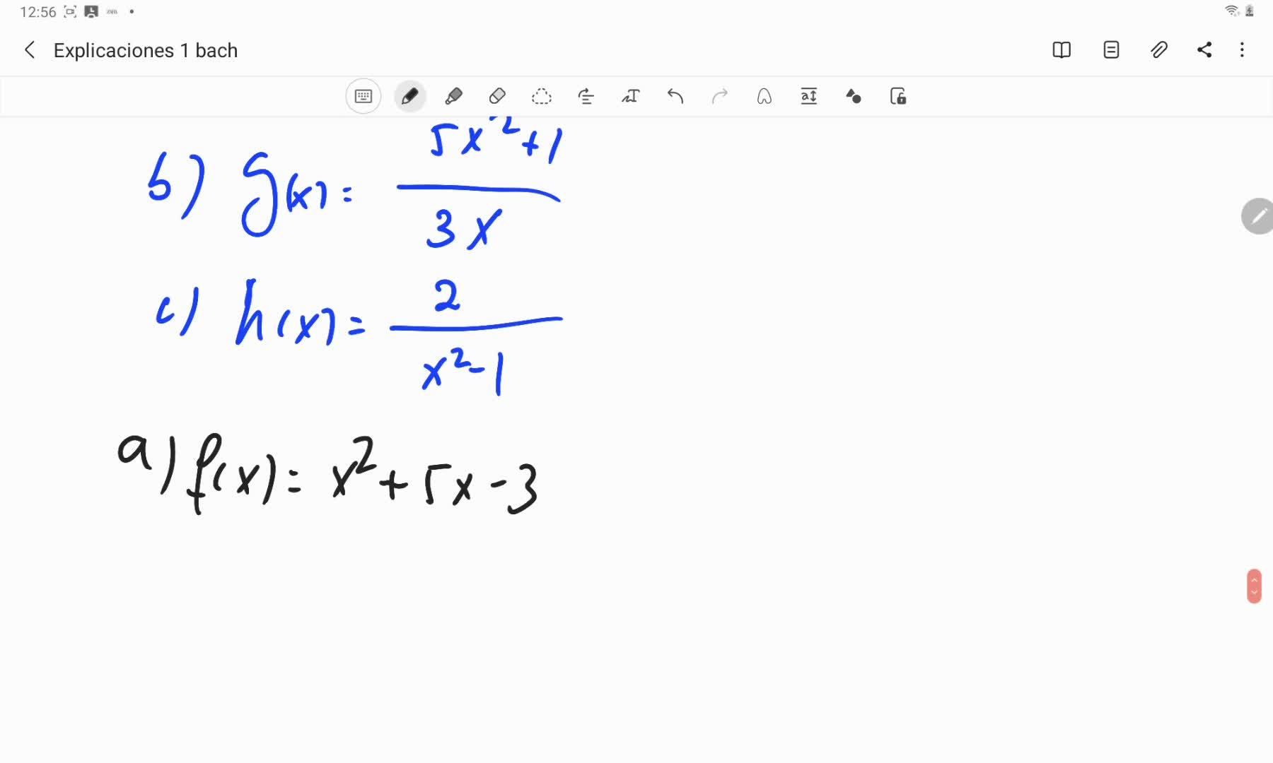
Estos ejercicios nos piden que calculemos el dominio de estas tres funciones, ¿de acuerdo? 00:00:00
Vamos a la primera función, f de x, apartado a, venga, f de x igual a x cuadrado más 5x menos 3. 00:00:07
¿Cuál será el dominio de esta función? Pues mirad, el dominio, volvamos otra vez a la idea, 00:00:17
Es todo elemento del conjunto inicial que tiene imagen, al que se le asigna una imagen, o sea, al que se le asigna un elemento del conjunto final asociado, ¿no? 00:00:24
Bien, cuando tenemos la función expresada algebraicamente, la imagen se calcula sustituyendo en x el valor y operando. 00:00:38
Entonces, esta función tendrá, así expuesta, tendrá como dominio todo aquel valor de x que al sustituir en la expresión, perdón, no, no, no, que al sustituir en la expresión me dé un valor. 00:00:50
Si me da un valor cualquiera, incluido el cero, tiene imagen. ¿Entendéis o no? ¿Se ve? Otra vez, no es resolver la ecuación. ¿Te acuerdas? Por eso me puse tan enfermo cuando... No, no, no, no es eso. 00:01:10
Sí, profesor, tenía otra pregunta. 00:01:27
Dime. O sea, el dominio de esta función f tiene que ser todo elemento del conjunto inicial que tiene imagen. 00:01:28
¿Sí o no? ¿Me podéis decir vosotros qué elementos tienen imagen? 00:01:47
Todos los números reales. 00:01:54
Porque a todo número real lo puedo elevar al cuadrado. Lo puedo multiplicar por 5 y puedo operar estas cosas. Y me va a dar un número. Y por tanto todos los reales tienen imagen. ¿Sí o no? 00:01:57
Bueno, alguno de ellos puede tener como imagen el cero, pero es que eso no es un problema. ¿Entiendes o no? En concreto no sé cuál es, pero ¿entiendes o no? Pues f de 5 vale cero. Vale, muy bien, la imagen de 5 es cero. ¿Y qué? Es una imagen, porque es un elemento del conjunto final. ¿Vale? Es clara la idea. 00:02:12
Por lo tanto, aquí no tengo, no tengo que resolver esta ecuación. Me serviría solo, oye, ¿para qué me serviría resolver esta ecuación? No. ¿Para qué me serviría a mí resolver esta ecuación? Pues para calcular la antiimagen del cero. ¿Sí o no? F a la menos uno de cero. ¿Me seguís o no? 00:02:39
¿Qué valor de X hay que introducir en la máquina para que me escupe, me escupa como imagen el cero? 00:03:19
Pues entonces hago esto. 00:03:27
¿Sí o no? 00:03:29
¿Y para qué me serviría esta ecuación? 00:03:30
De 1,5. 00:03:33
Esto me serviría para calcular F a la menos 1 de 1,5. 00:03:40
¿Esto se entiende? 00:03:45
Pero nada que ver tiene con el dominio. 00:03:46
¿De acuerdo? 00:03:49
¿De acuerdo? 00:03:50
¿Sí o no? 00:03:51
Bien. 00:03:53
Pues seguimos. Así que el dominio de esta función es todo r. Vamos a ver el siguiente ejemplo. Vamos a hacer el apartado b. g de x igual a 5x cuadrado más 1 dividido entre 3x. 00:03:54
Bien, la pregunta es, o sea, queremos calcular el dominio de G. 00:04:07
Y la pregunta es, ¿qué valores de X, o sea, un número pertenece al dominio, sí tiene imagen? 00:04:14
¿Sí o no? ¿Sí o no? 00:04:30
Es decir, si puedes calcular su imagen a través de G. 00:04:32
Y la pregunta es, ¿todo número real puedo sustituir aquí y obtener una imagen? No. El cero no. El cero no tiene imagen. ¿El resto? Sí. 00:04:36
Es decir, si calculas g de 0, 5 por 0 cuadrado más 1 partido 3 por 0, esto es 1 entre 0, esto no existe. ¿Se ve la idea o no? Por tanto, g de 0 no existe. Así que el dominio es todos los números reales excepto el 0. 00:04:52
Y, si quiero hallar directamente ese valor, ¿qué haces? 00:05:19
Igualo a cero el denominador. 00:05:27
¿Sí o no? 00:05:30
¿Sí o no? 00:05:32
¿Entiendes? 00:05:34
Es que la pregunta que tú me has hecho, ¿cuándo hago la ecuación? 00:05:37
Pues ahora, lo que acabamos de hacer. 00:05:40
En realidad, la pregunta es, todo esto falla cuando el denominador es cero, ¿no? 00:05:43
Pues coges el denominador que es 3x, lo igualas a 0 y despejas. 00:05:50
Y te sale que x es 0. 00:05:54
¿Entendéis o no? 00:05:56
¿Se ve? 00:05:58
Bien, pues si tengo que hacer ahora el apartado c, lo vemos. 00:05:59
¿Cuál es el dominio de esta función? 00:06:06
Pues mira, no sé, pero donde no puedo calcular la imagen es cuando tenga, en este caso, que dividir entre 0. 00:06:08
¿Sí o no? 00:06:14
Entonces, me pregunto, ¿por qué valores de x? 00:06:18
me llevan a que al sustituir tenga que dividir entre cero. 00:06:22
O lo que es lo mismo, para que valores de x, x al cuadrado menos uno es igual a cero. 00:06:27
Y ahora despejamos x. 00:06:37
¿Vale? 00:06:40
¿Alguien ve esto como producto notable, suma por diferencia, diferencia de cuadrados, no? 00:06:42
Y haces esto, ¿no? 00:06:47
¿Sí o no? 00:06:49
¿Haces esto? ¿A esto te refieres? 00:06:52
Bien, es que, mira, mira de dónde te viene. 00:06:54
Esta ecuación es de grado 2, la puedo resolver, ¿no? 00:06:57
La puedo resolver así. 00:07:00
¿Estamos de acuerdo? 00:07:06
Sí. 00:07:08
Pero es que, los que lo habéis hecho de esta manera es porque habéis aprendido en la primera evaluación 00:07:09
que yo puedo factorizar el polinomio 00:07:14
y una vez factorizado, resolver la ecuación es muy sencillo. 00:07:17
Y, por tanto, para x igual a 1 y x igual a menos 1, x al cuadrado menos 1 es 0. 00:07:22
Y, por tanto, te lleva a dividir entre 0. 00:07:33
¿Cuál es el dominio de h? 00:07:37
Que todos los números reales menos 1 y 0. 00:07:39
No. 00:07:43
Más menos 1. 00:07:44
Entre menos 1 y menos 1. 00:07:45
f de 0 existe. 00:07:50
¿Cuánto vale f de 0? 00:07:53
Menos 2. 00:07:54
Vale 2. 00:07:55
Menos 2. 00:07:56
sustituye 00:07:57
f de 0, donde pone x pone 0 00:07:58
¿si o no? 00:08:02
Subido por:
Jose S.
Licencia:
Reconocimiento - Compartir igual
Visualizaciones:
19
Fecha:
20 de marzo de 2021 - 16:43
Visibilidad:
Público
Centro:
IES BARRIO SIMANCAS
Duración:
08′ 07″
Relación de aspecto:
1.67:1
Resolución:
1800x1080 píxeles
Tamaño:
50.84 MBytes

Del mismo autor…

Ver más del mismo autor


EducaMadrid, Plataforma Educativa de la Comunidad de Madrid

Plataforma Educativa EducaMadrid