Saltar navegación

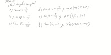
4ESO_UD6_11_Ejercicios tipo ángulos que cumplen cierta razón - Contenido educativo

Subido el 19 de marzo de 2025 por Mario C.

270 visualizaciones

Más información

Materias:
Matemáticas
Niveles educativos:
▼ Mostrar / ocultar niveles
  • Educación Secundaria Obligatoria
    • Ordinaria
      • Primer Ciclo
        • Primer Curso
        • Segundo Curso
      • Segundo Ciclo
        • Tercer Curso
        • Cuarto Curso
        • Diversificacion Curricular 1
        • Diversificacion Curricular 2
    • Compensatoria
Subido por:
Mario C.
Licencia:
Reconocimiento - No comercial - Compartir igual
Visualizaciones:
270
Fecha:
19 de marzo de 2025 - 13:38
Visibilidad:
Público
Centro:
CP INF-PRI-SEC SANTO ANGEL DE LA GUARDA
Tamaño:
1.85 MBytes

Del mismo autor…

Ver más del mismo autor


EducaMadrid, Plataforma Educativa de la Comunidad de Madrid

Plataforma Educativa EducaMadrid