Saltar navegación

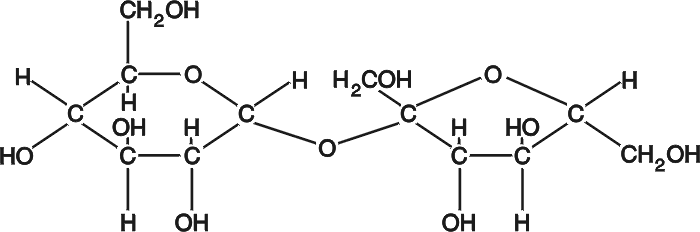
Sacarosa

Sacarosa

Subido el 28 de febrero de 2007 por Ministerio C.

2676 visualizaciones

Más información

Valoración:
  • 1
  • 2
  • 3
  • 4
  • 5
Eres el primero. Inicia sesión para valorar el vídeo.
Idioma/s:
es
Etiquetas:
Señales
Autor/es:
Banco de imágenes del CNICE. Pag. Web
Subido por:
Ministerio C.
Licencia:
Reconocimiento - No comercial - Compartir igual
Visualizaciones:
2676
Fecha:
28 de febrero de 2007 - 11:54
Visibilidad:
Público
Enlace Relacionado:
Consultar la web de créditos del CNICE
Extensión:
gif
Resolución:
700x232 píxeles
Tamaño:
11.32 KBytes

Del mismo autor…

Ver más del mismo autor


EducaMadrid, Plataforma Educativa de la Comunidad de Madrid

Plataforma Educativa EducaMadrid