Mario C. documentos
1ESO_4_Simplificación de fracciones y fracción irreducible
2ESO_UD3_17_Ecuaciones de segundo grado incompletas
1ESO_3_Número mixto y amplificación de fracciones
4ESO_ACAD_UD5_8_Ejercicios de sistemas de inecuaciones
2ESO_UD3_16_Ejercicios de ecuaciones de segundo grado por raíces y concepto de discriminante
2ESO_UD3_15_Ejercicios de ecuaciones de segundo grado por Cardano Vieta y Ecuaciones por raíces
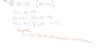
4ESO_ACAD_UD5_7_Sistemas de inecuaciones con una incógnita
1ESO_2_Ejercicios de maneras de escribir fracciones y concepto de fracción propia e impropia
1ESO_1_Concepto de fracción y maneras de representar una relación
4ESO_ACAD_UD5_6_Ejercicios de sistemas de ecuaciones con radicales
2ESO_UD3_14_Ecuaciones de segundo grado por Cardano Vieta
2ESO_UD3_13_Ecuaciones de segundo grado y factorización de polinomios
4ESO_ACAD_UD5_5_Ejercicios de sistemas de ecuaciones polinómicas
2ESO_UD3_12_Ejercicios de ecuaciones de segundo grado completando cuadrados
4ESO_ACAD_UD5_4_Sistemas de ecuaciones no lineales ni polinómicas de grado mayor que 1
1ESO_UD5_6_Operaciones combinadas con decimales
2ESO_UD3_11_Ecuaciones de segundo grado completando cuadrados
1ESO_UD5_5_Problemas con decimales
4ESO_ACAD_UD5_2_Tipos de sistemas según sus soluciones
2ESO_UD3_9_Simulacro de examen de ecuaciones y lenguaje algebraico
2ESO_UD3_10_Concepto de ecuación de 2º grado y completar cuadrados - Contenido educativo
4ESO_ACAD_UD5_1_Concepto de sistema y tipos de sistemas según sus ecuaciones
1ESO_UD5_4_Ejercicios de decimales
1ESO_UD5_3_Producto y división de decimales