Saltar navegación

Activa JavaScript para disfrutar de los vídeos de la Mediateca.

Derivadas de una función. Derivabilidad de una función. - Contenido educativo

Ajuste de pantalla

El ajuste de pantalla se aprecia al ver el vídeo en pantalla completa. Elige la presentación que más te guste:

Subido el 30 de enero de 2026 por Roberto A.

12 visualizaciones

Descargar la transcripción

Venga, los próximos ya no entran, eh. Ah, buenos días, hoy es 30 ya, ojo, 30 de enero, 00:00:00
madre de Dios. Venga, derivadas. Bueno, chavales, este fin de semana voy a subir bastantes cositas, 00:00:10
seguramente lo suba hoy, ¿vale? De ejercicios de lópita, de momentillo, ejercicios de derivadas 00:00:20
y lo que sí quiero... ¿Todo el mundo tiene libro? 00:00:28
¿Sí? ¿No? 00:00:31
Eso, te voy a decir. 00:00:34
En la última parte del tema... 00:00:36
Y ya, María, ya está. 00:00:39
Que le voy a hacer de cuentas la vida. 00:00:40
Vea, chavales, 00:00:43
ya se cierra, ¿eh? 00:00:44
Ya se cierra. 00:00:48
Hay unos problemas 00:00:52
que son muy interesantes 00:00:54
aplicación de la 00:00:56
venga, Jimena 00:00:59
de la aplicación de la 00:01:01
Noelia, ¿se puede venir antes? 00:01:04
La tutora me ha dicho que no 00:01:08
deje entrar a nadie después de 35 00:01:10
así que son en 37 ya 00:01:12
tenéis que acostumbrar 00:01:14
que el horario es a las 8 y media 00:01:16
¿No lo subió? 00:01:18
5 euros lo subo 00:01:25
Vale, sí, sí, sí 00:01:26
Y yo 00:01:30
La tutora me ha reñido 00:01:30
Eso es, ¿no? 00:01:33
¿Me ha dolado por culo o qué? 00:01:35
No, no, no 00:01:36
Chavales, acostumbraros 00:01:37
A venir muchos antes 00:01:40
No he subido el solucionario de mano 00:01:41
El subiré el del 9 también 00:01:43
Todo así, del 10 00:01:45
Joder, macho 00:01:46
Y ya, se puede, hace ya 10 minutos 00:01:49
Que estamos aquí 00:01:52
Así que por favor 00:01:54
Bueno 00:01:55
Venga, chavales 00:02:00
Puse un ejercicio para hacer 00:02:02
Y ya 00:02:04
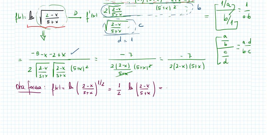
Que era logaritmo neperiano 00:02:05
Si no me lo invento, ¿no? 00:02:10
De la raíz 00:02:11
Uno menos X 00:02:12
Partido 00:02:14
Cinco más X, por ejemplo 00:02:15
Chavales 00:02:18
Primero que venís tarde 00:02:20
Pero si venís por lo menos callados 00:02:22
La tutora me ha dicho 00:02:24
que no deje a nadie entrar después de los 5 minutos 00:02:27
de rigor. Es que no deberían de dejar 00:02:29
ni 5 minutos de rigor. El próximo viernes 00:02:31
no entra nadie. En el momento que yo cierre esa puerta, 00:02:32
si la puerta está cerrada, que nadie 00:02:35
ni intente llamar. 00:02:36
¿Vale? Que ni intente llamar. 00:02:39
Bueno, chavales, aquí 00:02:41
¿qué ocurre? Que esto es un 00:02:42
ejercicio típico que se puede hacer 00:02:45
de dos formas y sobre todo aquí se aplica 00:02:46
muy bien la regla de la cadera. 00:02:48
¿Vale? Entonces, vamos a ir por parte. 00:02:50
Nosotros qué es lo que vemos aquí. 00:02:53
Nosotros siempre tenemos que ir, digamos, de fuera 00:02:54
hacia adentro. Nosotros lo primero que vemos 00:02:56
aquí es un logaritmo neperiano. 00:02:58
¿Sí o no? Y dentro del logaritmo 00:03:01
neperiano nosotros vemos una raíz. 00:03:02
Y después, dentro de 00:03:05
la raíz, vemos un 00:03:06
cociente. ¿Está vale? 00:03:08
No, la profe 00:03:11
no. 00:03:12
Entonces, nosotros 00:03:16
tenemos que ir, digamos, 00:03:18
desde fuera hacia adentro. 00:03:20
¿De acuerdo? Entonces, recordamos un poco. 00:03:22
Si mi f de x, chavales, es logaritmo de g de x, su derivada, ¿cuál es su derivada? 00:03:25
f' de x. 00:03:31
Eso lo sabéis todos, porque si no lo sabemos, esto es malagueña. 00:03:33
¿Cuál es la derivada de un logaritmo? 00:03:38
Es 1 partido de g de x, lo multiplico por la derivada de g de x. 00:03:40
¿Vale? 00:03:48
Eso si no lo sabemos, vamos mal. 00:03:49
Ahora, la derivada, si mi f de x es igual a la raíz de g de x, ¿cuál es su derivada, chavales? 00:03:51
Raíz de g de x por g' de x, ¿vale? 00:04:09
Esta, si no la recuerdo, ¿qué puedo hacer, chavales? 00:04:14
¿Qué puedo hacer? 00:04:17
Otra forma es que si yo tengo la raíz de g de x, 00:04:19
¿eso qué significa? 00:04:23
Que f de x es igual a g de x elevado a 1 medio. 00:04:24
¿Sí o no? 00:04:28
Y ahora, ¿cuál es la derivada de una función polinómica? 00:04:28
Pues f de x es igual. 00:04:38
Este exponente pasa aquí multiplicando. 00:04:41
mi función g de x pasaría a ser un medio menos 1 que es menos un medio 00:04:45
y luego la derivada de g de x ¿vale? 00:04:50
y esto a la postre ¿qué es? esto es menos un medio ¿verdad? 00:04:54
entonces menos un medio pasa abajo como un medio y un medio es la raíz 00:04:59
por eso tenemos aquí dos raíz de g de x por g' de x 00:05:02
si no sabemos la tabla de derivada malagueña ¿eh? 00:05:07
Porque si no esto es ejercicio, nada, os mandé que hicierais un chorro de ejercicio. 00:05:10
Aria ha intentado hacer por lo menos dos, ¿sí? 00:05:15
Los que no lo hayáis hecho, vaya como un mojón. 00:05:19
Yo voy a subir entre esta tarde y mañana bastantes cositas. 00:05:23
Pero es que esto, si no lo practicáis, es un mundo. 00:05:28
Y luego, chavales, por último, si yo tengo G de X partido H de X, 00:05:33
Esto de aquí, ¿qué ocurre? 00:05:38
Si esto es igual a f de x, ¿cuál es su derivada? 00:05:42
Al ser un cociente es la derivada del primero, primero entiéndese en numerador, 00:05:47
por el segundo sin derivar, menos el primero sin derivar por la derivada del segundo. 00:05:54
Es como el de la multiplicación, pero aquí hay un menos. 00:06:02
Lo que pasa es que luego tenemos que dividir por el segundo al cuadrado sin derivar. 00:06:05
Esto es lo que tenemos que saber nosotros aquí. 00:06:12
Si no sabemos estas tres cosas, pues esto que es un ejercicio súper típico, 00:06:15
que no sé si os cayó ayer Noelia y Paula, este ejercicio, porque es muy típico. 00:06:20
¿No? Es que no me acuerdo. Yo puse el examen, pero no me acuerdo. 00:06:28
Bueno. 00:06:33
me lo he inventado ahora 00:06:33
pero bueno 00:06:36
aquí 5 menos más x 00:06:37
así, pues venga, ya lo hacemos 00:06:41
ya hacemos la gracia completa 00:06:43
2 menos x, ¿no? 00:06:44
venga, 2 menos x 00:06:47
perfecto 00:06:49
entonces chavales, si yo me llevo 00:06:50
esto de aquí 00:06:53
esto se puede hacer de dos formas y lo vamos a hacer 00:06:53
de dos formas, ¿vale? 00:06:56
venga 00:06:59
su derivada, porque esto vamos a 00:07:00
llamarlo f de x. Pues su derivada f' de x. Primero aplicamos la del logaritmo, es decir, 00:07:04
yo pongo abajo mi función tal cual está, ¿vale? Y arriba tengo que poner la derivada 00:07:12
de mi función. Daros cuenta que mi g de x es todo esto de aquí, ¿lo veis? Y la derivada 00:07:23
de g de x, que date cuenta 00:07:29
que g de x es 00:07:31
una raíz, entonces 00:07:32
1 partido 2 00:07:34
la raíz, 2 menos 00:07:36
x partido de 5 00:07:38
más x, ¿verdad? 00:07:41
por 00:07:43
la derivada de la raíz 00:07:44
¿sí? y la derivada de la 00:07:46
raíz 00:07:48
de lo de dentro de la raíz, perdón 00:07:49
1 partido de 2 la raíz 00:07:52
por la derivada de lo de dentro 00:07:54
y la derivada de lo de dentro es un cociente 00:07:56
Entonces, ¿cuál es la derivada del numerador de 2 menos x? 00:07:59
¿Veis? 00:08:03
Menos 1. 00:08:04
Y el de abajo lo copio tal cual. 00:08:07
¿Vale? 00:08:09
Y ahora le pongo un menos. 00:08:10
¿Y cuál es la derivada de lo de abajo? 00:08:12
Un 1, ¿no? 00:08:15
Y el de arriba, gracias, padre, lo dejo igual. 00:08:16
¿Vale? 00:08:20
¿Sí o no? 00:08:21
O esto sería al revés. 00:08:22
¿Vale? 00:08:23
Pero me da igual. 00:08:23
El orden del producto no altera... 00:08:24
El orden de los factores no altera el producto. 00:08:26
Y abajo tengo 5 más x al cuadrado. 00:08:28
¿Alguien se me ha perdido? 00:08:32
No entiendo por qué la raíz no se pone abajo. 00:08:34
Es que luego va abajo. 00:08:38
O sea, no se pondría la multiplicando. 00:08:42
Sí, pero que es lo mismo. 00:08:43
Es lo mismo, ¿vale? 00:08:45
Entonces, chavales, esto al final, ¿qué me queda arriba? 00:08:48
Arriba lo que me queda es esto de aquí, ¿vale? 00:08:52
Y abajo, ¿qué es lo que me queda? Me queda esto multiplicado por esto, porque fijaros, yo tengo aquí un 1 partido de A, digamos, Jesús y A, partido de B, el B intrínsecamente partido de 1. 00:08:56
¿Y cómo se divide esto? Es los extremos arriba, ¿verdad? Y después los medios abajo. 00:09:11
Entonces arriba, ¿qué es lo que me queda, chavales? Me queda menos 5 menos x menos 2 más x, ¿verdad? 00:09:20
Y abajo, fijaros, me queda un 2 y me queda la raíz de 2 menos x por 5 más x por la raíz de 2 menos x por 5 más x, 00:09:29
que lo bueno de esto es que se me va la raíz, ¿vale? 00:09:40
Por 5 más x al cuadrado, ¿vale? 00:09:43
Ahora, ¿qué me queda arriba? 00:09:47
Un menos 7, ¿lo veis? 00:09:49
Y abajo, ¿esto qué es lo que me queda, chavales? 00:09:51
2 que multiplica a 2 menos x partido 5 más x, ¿verdad? 00:09:55
Y aquí 5 más x al cuadrado. 00:10:01
Este se me va con este y me queda, si no me he equivocado, 00:10:04
menos 7 partido de 2 00:10:08
por 2 menos x 00:10:10
por 5 más x. ¿Os daba eso? 00:10:12
¿Sí? A los que lo habéis hecho. 00:10:15
Hostia, la Jimena, la cara que me has puesto. 00:10:16
Recapacitando, 00:10:20
tronca. 00:10:21
Venga, ¿y qué 00:10:23
donde recapacitamos juntos? 00:10:24
¿Esto de aquí? 00:10:30
¿Esto de aquí? 00:10:31
Mira, yo aquí lo que tengo, fíjate. 00:10:33
Cuando yo tengo 1 00:10:35
partido de A, o me da igual, mira 00:10:36
yo tengo A partido 00:10:38
de B, todo ello partido de 00:10:40
C partido de D 00:10:42
esto al final es 00:10:43
los extremos A por D 00:10:46
y abajo B por C 00:10:48
entonces si te das cuenta 00:10:50
yo aquí lo que tengo, yo tengo 00:10:52
aquí esta sería toda mía 00:10:54
lo voy a poner en colorado, todo esto 00:10:56
sería mía, ¿verdad? 00:10:58
¿si o no? esto sería mía 00:11:00
en azulito 00:11:02
Todo esto sería mi b, ¿sí? 00:11:04
Todo esto sería mi c y mi d en este caso sería 1, ¿vale? 00:11:09
Entonces, si yo hago a por d, me queda todo esto chaco, este de aquí, por 1. 00:11:17
Y ahora ya lo he desarrollado. 00:11:22
El menos 1 menos 5 menos x menos 2 más x, ¿vale? 00:11:24
Y ahora lo que tengo que multiplicar es mi b por c, ¿vale? 00:11:28
y como el orden de los factores 00:11:32
no altera el producto, pues lo pongo 00:11:34
ordenadito, monísimo 00:11:36
entonces chavales 00:11:38
fijaros 00:11:40
aquí que es un ejercicio 00:11:42
Petre, deja el móvil, anda por favor 00:11:44
como que no, o mírame aquí 00:11:46
en vez de los apuntes, eso 00:11:48
entonces, que es lo que quiero que hagáis 00:11:49
esto es 00:11:52
un ejercicio muy típico 00:11:54
muy completo de la regla de la cadena 00:11:56
porque al final es el logaritmo 00:11:58
la derivada de un logaritmo, pero es que 00:12:00
dentro del logaritmo, de la derivada del logaritmo 00:12:02
tengo la derivada de una raíz, 00:12:04
pero es que dentro de la raíz tengo la derivada, 00:12:06
¿verdad, chavales?, de un 00:12:08
cociente. Entonces, esto es 00:12:10
un ejercicio muy complejo. 00:12:12
¿Cómo se puede hacer 00:12:14
esto de otra forma? ¿Alguien se le 00:12:15
ocurre? ¿Natillas? 00:12:18
¿Natillas? 00:12:23
Lo llamas un medio, 00:12:25
todo eso, 00:12:27
y luego por propiedades, eso es un medio, pasamos 00:12:29
triplicando el logaritmo, 00:12:31
y... 00:12:33
Este chico promete, ¿eh? 00:12:35
Realmente es aplicar propiedades de logaritmo, ¿vale? 00:12:39
Entonces, mi función f de x, ¿vale? 00:12:42
Es logaritmo de la raíz, lo puedo poner como un medio, ¿no? 00:12:45
Entonces, esto es 2 menos x partido 5 más x elevado a un medio. 00:12:51
No sé si recordáis las propiedades de los logaritmos, 00:12:57
que cuando yo tenía el logaritmo de una potencia, 00:13:00
Esto era igual al exponente, ¿verdad?, por el logaritmo neperiano de la base. 00:13:02
Esto os acordáis, ¿verdad? 00:13:10
Y ahora, ¿qué ocurre? 00:13:11
Hay otras propiedades de los logaritmos, que es el logaritmo de una división a que era igual. 00:13:13
Entonces, esto es un medio que multiplica a la resta de logaritmo. 00:13:23
¿Vale? 00:13:34
Y entonces, ¿qué ocurre? 00:13:35
Pues que yo ahora, ¿cuál es la derivada de un número por una función? 00:13:36
Es el número por la derivada de la función, ¿vale? 00:13:41
Por lo tanto, el 1 medio yo lo dejo aquí. 00:13:45
¿Y cuánto vale la derivada de esto, chavales? 00:13:47
Pues 1 partido 2 menos x. 00:13:50
¿Y cuánto es la derivada de 2 menos x? 00:13:53
Menos 1. 00:13:56
Menos, ¿cuánto es la derivada del logaritmo neperiano de 5 más x? 00:14:02
1 partido 5 más x por 1. 00:14:07
¿Lo veis? 00:14:10
Y entonces, ¿qué es? Un medio, esto es el mínimo común múltiplo, es la multiplicación de los dos, entonces esto es menos 1 por 5 más x, ¿vale? Partido de 2 menos x, lo voy a hacer despacito por si alguien se me pierde, ¿vale? 00:14:11
Menos, esto es 1 por 2x, no, 2 menos 1, a ver, perdón, voy a ir despacito, pero esto lo deberíais de ver todos, ¿eh? 00:14:31
Esto es 2 menos x partido de 2 menos x por 5 más x, ¿vale? 00:14:46
Y esto aquí es igual a un medio, ya desarrollo aquí, ¿qué me queda? 00:14:55
menos 5 menos x menos 2 más x, con lo cual me queda el menos 7 famoso 00:15:00
y aquí abajo me queda esto de aquí. 00:15:06
Por lo tanto, ¿esto cuánto es, chavales? 00:15:12
Pues esto es menos 7, ¿verdad? 00:15:14
Menos 7 arriba, partido, lo voy a hacer aquí para que me quepa, 00:15:19
2 por 2 menos x por 5 más x. 00:15:23
¿Lo veis? 00:15:27
Que me sale exactamente igual que aquí. 00:15:28
Me sale exactamente igual aquí. 00:15:31
Entonces, ¿qué forma podéis coger? 00:15:35
La que queráis. 00:15:37
A mí esta segunda me parece más completa. 00:15:39
Dime, más fácil. 00:15:41
En este caso, déjalo así. 00:15:44
En este caso, déjalo así. 00:15:49
¿Vale? 00:15:52
¿Circing? 00:15:53
¿Cómo lo veis? 00:15:54
Este es un ejercicio típico de aplicar las propiedades de la cadena y demás. 00:15:56
chavales, voy a subir 00:16:01
todos los ejercicios de la página 00:16:04
233 00:16:06
¿vale? de la página 00:16:07
233 00:16:10
lo tengo hecho ya pero no lo tengo subido 00:16:13
¿vale? entonces, una cosa que me interesa 00:16:18
bueno, hasta aquí alguna duda o algo 00:16:20
de los que habéis hecho 00:16:22
que mandemos gollón de ejercicios 00:16:24
¿tenéis alguno en concreto que queréis que lo haga 00:16:26
yo aquí con ustedes? 00:16:28
pero arriba que lo que tiene es un número o una función un número 00:16:29
Es que, a ver, si tú tienes f de x igual a g de x elevado a n, ¿vale? 00:16:52
n es un número, ¿de acuerdo? 00:17:01
Entonces, su derivada de f' de x es, esta n pasa multiplicando, g de x es de un grado, ¿vale? 00:17:04
Y luego tengo que multiplicar por la derivada de g de x. 00:17:16
¿Vale? Es decir, si yo tengo, imagínate, f de x es igual a lo que hemos hecho con la raíz 00:17:22
Mira, fíjate, te voy a hacer una raíz triste, ¿vale? 00:17:29
Te voy a hacer una raíz triste, o una raíz cúbica, por ejemplo 00:17:32
O una raíz quinta, venga, una raíz quinta, tú sin miseria, ¿vale? 00:17:34
Sin miseria más que nada porque quiero, chavales, repasar también con ustedes la racionalización, ¿vale? 00:17:39
Aquí voy a poner una cosa, venga, seno de 4x al cubo menos 5x cuadrado más 2, ¿vale? 00:17:45
Eso me lo estoy inventando por la cara. 00:17:55
¿Vale, chavales? ¿Sí o no? 00:17:57
Entonces, igual, chaval, chavales, igual. 00:17:59
Yo aquí que estoy viendo desde fuera hacia adentro. 00:18:03
De fuera hacia adentro, ¿qué es lo que veo primero? 00:18:06
Una raíz quinta, ¿verdad? 00:18:08
De g de x. 00:18:11
Pues entonces, ¿esto cómo se pone? 00:18:12
Esto realmente es igual a g de x elevado a un quinto. 00:18:14
¿Sí o no? 00:18:19
¿Eso lo veis todos? 00:18:21
Y ahora resulta que ¿cuánto es la derivada de g de x elevado a un quinto? 00:18:22
Es un quinto por g de x elevado a un quinto menos uno, ¿de acuerdo? 00:18:27
Por g' de x. 00:18:34
¿Lo veis? 00:18:37
Y lo que estoy aplicando es esta propiedad. 00:18:38
¿Tenéis la hojita ahí monísima que yo os di? 00:18:41
¿Vale? Pues esto aquí, en la compuesta, aparece f de x elevado a n. 00:18:44
La derivada de f de x elevado a n es n por f de x elevado a n menos 1 por la derivada de, en este caso, f de x o g de x. 00:18:50
¿Vale? Pero luego, chavales, ¿qué es lo que tengo? 00:19:01
Tengo un seno. ¿Vale? ¿Y cuál es la derivada del seno? 00:19:05
El coseno. 00:19:10
Pero es que además dentro del seno yo tengo otra función, ¿vale? Porque esto es, chavales, realmente esto de aquí que es seno de h de x, ¿cuál es su derivada? Es coseno de h de x por la derivada de h, ¿vale? 00:19:11
Lo tenéis ahí también en la hojita, monísimo. La derivada de seno de f es igual a coseno de f por f'. ¿Vale? 00:19:31
Y luego, ¿qué es lo que ocurre? Que esto es una función polinómica, y una función polinómica al final no deja de ser esto de aquí, ¿vale? 00:19:43
No deja de ser esto de aquí. ¿De acuerdo? Entonces, ¿cómo se haría esta derivada? f' de x. 00:19:52
Pues yo aquí lo que pondría, chavales, es seno de 4x al cubo menos 5x cuadrado más 2, 00:19:59
todo ello elevado a un quinto, como Carlos. 00:20:08
Y entonces, chavales, ¿qué ocurre? 00:20:12
Que su derivada, ¿vale? 00:20:14
Esto no es f' ¿eh? Esto aquí me he equivocado. 00:20:16
Esto es f. Un poco de historia, ¿no? 00:20:20
F' es un quinto por el seno de 4x al cubo menos 5x cuadrado más 2. 00:20:26
Y aquí, chavales, ¿qué número pondría? 00:20:37
Un quinto menos 1. 00:20:40
¿Y eso cuánto es? 00:20:42
Un quinto menos 1, menos 4 quintos. 00:20:44
¿Vale? Menos 4 quintos. 00:20:49
¿De acuerdo? 00:20:51
¿Circin? 00:20:52
Oh, yeah. 00:20:53
Y ahora tengo que hacer la derivada de todo esto de aquí. 00:20:54
Y la derivada de todo esto de aquí, ¿qué es? 00:20:58
Es coseno de todo esto de aquí, ¿vale? 00:21:01
Por la derivada de todo esto de aquí. 00:21:09
Y aquí fíjate, Noah, estoy en este ejemplito. 00:21:13
4x al cubo, ¿cuál es su derivada? 00:21:20
12x al cuadrado, lo que estamos haciendo es esto. 00:21:27
el 4 se multiplica, perdona, el 3 se multiplica por el 4 es 12 y bajamos un grado al 3, ¿vale? 00:21:29
Menos 10x, ¿no? Todo el mundo ve lo de menos 10x, el 2 pasa aquí multiplicando y se baja un grado, ¿vale? 00:21:38
Pero ahora ¿qué ocurre? Esto lo puedo dejar así, natillas, ¿vale? Natillas. 00:21:46
Esto de aquí, ¿qué es? Arriba, pues tengo coseno de 4x al cubo menos 5x cuadrado más 2 por 12x cuadrado menos 10x y abajo, ¿qué es lo que tengo, chavales? 00:21:51
Es lo que tengo abajo. El menos 4 quinto pasa arriba como 4 quintos, ¿vale? Y 4 quinto, ¿qué significa? Pues que es la raíz quinta de seno de 4x al cubo menos 5x cuadrado más 2 elevado a 4. 00:22:06
¿Lo veis? 00:22:27
El menos 4 quinto pasa a ser 00:22:31
Cuando yo tengo 00:22:34
Lo voy a poner aquí en colorado 00:22:34
Si yo tengo a elevado a menos 4 quinto 00:22:36
Esto es lo mismo que 1 partido de a elevado a 4 quinto 00:22:40
¿Vale? 00:22:45
Y esto es igual a 1 partido la raíz quinta de a al cuadrado 00:22:46
La cuarta, perdón 00:22:52
Girsing, Paula Diz 00:22:54
¿Eres feliz? 00:22:57
¿Estás dormida? 00:22:59
Mamijita 00:23:01
Mamijita 00:23:02
¿Eh? 00:23:03
¿Eh? 00:23:05
¿Sorry? 00:23:07
¿Te salió también partido de 5? 00:23:09
Ah, sí, sí, sí 00:23:11
Hay que pensar 00:23:13
que era aquí, sí, sí, sí 00:23:15
Emperatriz 00:23:17
Un 5 por todo esto, ¿vale? 00:23:17
Vale, esto lo puedo dejar así 00:23:21
La primera que me traduce 00:23:23
Entonces, chavales, ¿esto lo puedo dejar así? 00:23:28
¿Por qué? 00:23:32
Porque tengo una raíz abajo 00:23:34
¿Y cómo me puedo quitar esta raíz? 00:23:36
¿Por qué? 00:23:40
Por el mismo arreglo 00:23:41
¿Y ese mismo qué es? 00:23:42
¡Guau! 00:23:45
¡Guau! 00:23:47
¿Cuál es el conjugado de una raíz? 00:23:48
¿Cuándo utilizamos el conjugado? 00:23:52
wow 00:23:56
infinito menos infinito 00:24:00
pero 00:24:03
¿en qué caso? 00:24:04
pues en el que 00:24:09
por ejemplo raíz 00:24:10
menos raíz 00:24:11
vale 00:24:13
o sin raíz también 00:24:13
con que haya una sola raíz 00:24:15
vale 00:24:16
¿y cuál es el conjugado 00:24:16
del ejemplo que tú 00:24:18
que tú me has dicho? 00:24:19
pues sería 00:24:22
dos raíces 00:24:23
pero también 00:24:24
dos raíces 00:24:24
vale 00:24:25
muy bien 00:24:26
por lo tanto 00:24:27
las dos raíces 00:24:28
O una raíz menos algo, ¿no? 00:24:29
Aquí tú ves una raíz menos algo. 00:24:31
Matillas, ¿vale? 00:24:34
No sé si habéis escuchado a Hugo. 00:24:36
¿La habéis escuchado? 00:24:39
Pues era digno de escuchar, el hombre, ¿eh? 00:24:40
Ese razonamiento que me ha hecho es buenísimo. 00:24:42
Entonces, Hugo, aquí no podemos tener eso que me dice, ¿vale? 00:24:45
Porque no tenemos una raíz restándose con otra cosa, sea raíz o no, ¿vale? 00:24:48
Siempre yo tengo una raíz restando con otra. 00:24:52
Y efectivamente me dé el infinito menos infinito. 00:24:54
yo tenga aquí abajo 00:24:58
una 00:24:59
una resta 00:25:01
donde implique una raíz, entonces 00:25:03
sí que lo multiplico arriba y abajo por su 00:25:06
conjugado, aquí no da lugar 00:25:08
entonces aquí la única forma 00:25:10
que hacemos es 00:25:12
¿por cuánto tengo que multiplicar yo esto 00:25:13
de aquí para que se me vaya 00:25:16
la raíz? 00:25:18
efectivamente 00:25:21
es ¿cuánto me queda 00:25:21
de 4 a 5? 00:25:24
1 ¿verdad? pues entonces yo tengo 00:25:25
que multiplica aquí por la raíz quinta es decir chavales si esto fuese un cuadrado multiplicaría 00:25:28
por la raíz quinta de todo esto al cubo vale si esto hubiese sido un cubo por la raíz cuadrada 00:25:35
como es un cuarto pues entonces yo multiplico arriba y abajo por un 1 vale que no se pone y 00:25:42
Y aquí también, la raíz quinta de seno. 00:25:52
¿Cuánto vale la fracción colorada? 00:25:57
Chavales, ¿cuánto vale? 00:26:00
Uno. 00:26:02
Efectivamente, si yo multiplico algo por uno, ¿cómo se queda? 00:26:03
Igual. 00:26:07
Igual. 00:26:07
Como yo me he quedado con lo del u, ¿no? 00:26:08
Entonces, ¿qué me queda aquí, chavales? 00:26:10
¿Qué es lo que me queda? 00:26:13
Me queda al final aquí lo más grande, el arrocío jurado, ¿vale? 00:26:14
4x al cubo menos 5x cuadrado más 2. 00:26:18
Por 12x cuadrado menos 10x por la raíz quinta de seno de 4x al cubo menos 5x cuadrado más 2. 00:26:22
¿Por qué he puesto este ejemplo? 00:26:35
Pues por dos cosas. 00:26:37
Primero, para putear. 00:26:38
Y segundo, porque es súper completo, sobre todo, aplicar aquí la regla de la cadena. 00:26:39
¿Vale? 00:26:46
Entonces, chavales, cuando yo tengo, fijaros aquí. 00:26:47
¿Qué es lo que me queda aquí, chavales? 00:26:51
Voy a poner que todo el seno es a. 00:26:52
Esto yo tengo aquí que es a elevado a 4 quintos, ¿verdad? 00:26:55
¿Lo veis? 00:26:58
Y esto lo multiplico por a elevado a 1 quinto. 00:27:00
¿Qué ocurría cuando yo multiplico potencia de la misma base? 00:27:05
¿Qué hacíamos con los exponentes? 00:27:08
Se sumaban 4 quintos más 1 quinto. 00:27:10
5 quintos, que es 1. 00:27:14
Me queda a. 00:27:16
¿Lo veis? 00:27:18
¿Sí o no? 00:27:18
Entonces me queda aquí el seno de 4x al cubo menos 5x al cuadrado más. 00:27:19
¿Cómo os habéis quedado? 00:27:27
¿Muerto? 00:27:29
¿Vale? Entonces este ejercicio es un tostón. 00:27:31
Lo es. 00:27:34
Es un ejercicio un tostón. 00:27:35
Súper completo. 00:27:36
También os habituéis a este tipo de ejercicios. 00:27:38
Sería un puntazo, ¿eh? 00:27:42
Sobre todo para la pau. 00:27:43
¿Vale, chavales? 00:27:44
¿Hirving? 00:27:46
¿Puedo continuar? 00:27:48
¿Te puedo pasar, chavales? 00:27:49
¿Sí, Zing? 00:27:59
¿Qué grito? 00:28:00
¿Cómo estás hoy? 00:28:02
Ojo, a noche, ¿qué? 00:28:03
Raíz cúbica. 00:28:10
¿Raíz cúbica? 00:28:14
¿Raíz cúbica? 00:28:15
¿Raíz cúbica, perdona? 00:28:17
5x menos 3 00:28:18
¿qué dice? 00:28:22
¡ah! 00:28:25
5x menos 3 al cuadrado 00:28:28
¿no? 00:28:30
la he hecho raíz quinta ¿no? 00:28:32
hostia no me entero ni de 00:28:34
venga 00:28:35
gracias 00:28:37
¿eh? 00:28:40
¿por qué no lo tienes que multiplicar arriba? 00:28:40
sorry 00:28:45
Esto de aquí 00:28:45
Lo que os recomiendo 00:28:47
Es que tú pongas esto como 5x 00:28:49
Menos 3 elevado a 2 tercios 00:28:52
Solo siempre así 00:28:53
Porque tú sabes la derivada de la raíz cúbica 00:28:56
De raíz cúbica 00:28:58
En la hoja que yo te he dado no aparece raíz cúbica 00:29:07
Pero la pregunta es 00:29:10
¿Puedes hacer igual? 00:29:11
Pones el 2 arriba, lo divides entre 3 00:29:13
la raíz sería 3 00:29:15
y la resta es 1 00:29:17
al final lo que estás haciendo es esto de aquí 00:29:19
fórmula como tal 00:29:22
cualquier número 00:29:23
en teoría 00:29:27
¿se apunta? 00:29:30
ah, vale, dime hijo 00:29:31
en vez de 1, en vez de 2 00:29:34
yo que sé, podría 2 entre 3 00:29:37
ah, claro, claro 00:29:39
pero es que al final lo que te digo, yo creo que es mejor 00:29:41
en este caso tú lo pones así 00:29:44
así lo ves rápido 00:29:46
es que fíjate, si yo derivo 00:29:47
esto que es 2 tercios 00:29:50
¿verdad? por 00:29:52
5x menos 3 00:29:53
elevado a menos 1 tercio ¿verdad? 00:29:55
y por 5 00:29:59
¿y esto qué es? 00:30:00
esto es un 10, que es la nota 00:30:02
que vais a sacar ¿verdad? por la 00:30:04
raíz cúbica, dime, ¿me he equivocado? 00:30:06
porque 00:30:09
es la derivada de 5x menos 3 00:30:10
vale, vale 00:30:12
¿Vale? Esto es 5x menos 3 y ahora ¿qué ocurre? Que yo aquí tengo que multiplicar ¿por cuánto? 00:30:12
Por raíz cúbica de 5x menos 3 al cuadrado. ¿Vale? ¿Veis todo el mundo por qué tengo que multiplicar por la raíz cúbica de 5x menos 3 al cuadrado? 00:30:20
para precisamente quitarme 00:30:33
entonces esto que es 00:30:36
10 por 00:30:37
raíz cúbica 00:30:39
de 5x 00:30:41
menos 3, ¿ha ido a la pantalla? 00:30:43
y esto que es 3 por 00:30:47
5x menos 3 00:30:50
entonces tú que me dices 00:30:51
que ese 2 tienes que multiplicarlo 00:30:56
arriba así 00:31:00
yo prefiero que lo 00:31:01
hagas así, porque 00:31:06
en el resultado 00:31:07
el consejo de irse no de eso 00:31:11
por ponerlo como cotangente 00:31:13
muy bien, me gusta 00:31:14
me gusta 00:31:17
uff, orgánico este 00:31:18
si, si 00:31:21
me gusta, me gusta 00:31:22
queda mucho más limpio 00:31:24
esto es maravilloso 00:31:28
venga 00:31:31
luego habláis del José 00:31:38
Es verdad, aquí sería tangente 00:31:39
Aquí sería tangente 00:31:46
¿Vale? O con tangente arriba 00:31:50
Muy bien visto 00:31:52
Muy bien 00:31:53
¿Sí? 00:31:55
Para hacer esto 00:32:02
¿Vale? 00:32:04
Si aquí hubiese sido un 2 00:32:07
¿Vale? Aquí yo tendría que poner un 3 00:32:08
Siempre tengo que poner la diferencia 00:32:11
De este menos este 00:32:13
Lo que estoy haciendo es racionalizar 00:32:15
¿Vale? 00:32:19
¡Wow! 00:32:28
Pues no está hecho el examen 00:32:30
Seguramente aplicada va a haber bastante 00:32:31
Que es lo que quiero hacer de restas tangentes 00:32:33
Y demás ¿Vale? 00:32:35
¿Y alguien tiene el libro aquí por cierto? 00:32:37
Gracias padre 00:32:39
Y alguna derivada 00:32:44
De estas personas a mí me gusta 00:32:46
No sé si me dejarán o no 00:32:48
Yo lo voy a 00:32:50
Hombre 00:32:51
Porque aquí derivas al máximo 00:32:54
Ahí pa pa pa pa 00:32:57
El libro 00:32:58
Hostia 00:33:01
Bueno, a ver 00:33:09
Chavales, venga 00:33:23
Chavales 00:33:39
Vamos a ver cómo canta Manuel 00:33:48
¿Vale? Entonces, dime 00:33:50
Esta es la 248 00:33:52
Dime 00:33:55
No tiene 00:34:10
Sí, sale con senos 00:34:11
Del hospital 00:34:16
Sí, también 00:34:22
También, de hecho 00:34:24
Es que creo que no lo subí 00:34:26
Pero de lo que yo subía del hospital aparecen senos 00:34:27
Y cosenos 00:34:30
Y tangentes también, ¿eh? 00:34:30
Eh... 00:34:35
Hostia, a ver, esto me interesa 00:34:35
Y lo otro que iba a darse 00:34:37
Me ha ido la olla 00:34:39
Bueno, a ver, chavales, ¿os acordáis la definición f' de x en un punto x sub cero? 00:34:39
Era el límite cuando h tiende a cero de f de x más x sub cero menos f de x sub cero partido de h. 00:34:51
¿Sí o no? 00:35:04
¿Sí o no? 00:35:06
Aquí era la h, perdón. Aquí era la h. Más h, más h partido de x sub 0. Vale, pues igual que si los límites laterales, como la derivada no deja de ser un límite, ¿vale? Pues nosotros también tenemos los límites, las derivadas laterales, ¿vale? 00:35:09
Entonces, f' de x sub 0 por la izquierda es igual al límite cuando h tiende a 0 por la izquierda de f de x más h menos f de x sub 0 partido de h, ¿de acuerdo? 00:35:34
Igualmente, f' de x sub 0 por la derecha es igual al límite de f de x más h menos f de x sub 0 partido de h cuando h tiende a 0 por la derecha, ¿vale? 00:35:53
Es decir, existen los límites laterales, ¿vale? Entonces, ¿qué es lo que quiero que veamos aquí? Pues que nosotros, por ejemplo, si tenemos la función esta de aquí, f de x es igual a valor absoluto de x, ¿vale? 00:36:10
Si yo tengo esta función f de x igual a valor absoluto, no sé si habéis visto los ejercicios que yo os he hecho, que hemos hecho aquí unos cuantos, x es igual a cero, yo precisamente ponía aquí desde el menos infinito al más infinito, aquí está el cero, y aquí yo sé que son todos positivos y todos negativos, ¿verdad? 00:36:35
¿Sí o no? Entonces, ¿cómo divido yo mi f de x? Pues f de x yo la defino a trozos como menos x si x es menor que cero y x si x es mayor que cero. 00:36:56
¿Hasta ahí estamos de acuerdo? 00:37:10
¿Sí o no? 00:37:12
¿Estas funciones continuas? 00:37:12
¿Estas funciones continuas? 00:37:15
Sí, ¿verdad? 00:37:17
¿Sí o no? 00:37:19
Lo hacía haciendo, aquí en este caso, los límites laterales. 00:37:21
¿Cuándo es el límite lateral por la izquierda? 00:37:26
¿Cuánto vale el límite por la izquierda? 00:37:28
¿Cero? 00:37:31
¿Y por la derecha? 00:37:31
¿Cero? 00:37:33
¿Es lo mismo, por ejemplo, que f de cero? 00:37:34
Sí, pues es continuo. 00:37:37
¿Qué ocurre con la derivabilidad? Pues que nosotros también nos van a pedir que estudiemos la derivabilidad, es decir, estudia la derivabilidad, igual que la continuidad, la derivabilidad, ¿vale? De f de x, en este caso, por ejemplo, en x igual a 0. ¿Vale, chavales? 00:37:38
Entonces, claro, es lo que quiero ver. En este caso, normalmente cuando hay un punto anguloso que se llama, no hay derivada, porque esta función gráficamente como es, es esta de aquí, ¿verdad? 00:38:01
Entonces, supongo que son 45 grados, ¿vale? Más o menos a ojo, ¿vale? Esta es la función f de x igual a valor absoluto de x. 00:38:18
Es continua, yo lo puedo pintar así, ¿verdad? 00:38:35
Es continua. 00:38:38
Pero aquí precisamente, ¿qué era la primera derivada, chavales? 00:38:39
¿Qué era la derivada? 00:38:43
La pendiente de la recta tangente a la curva en ese punto. 00:38:49
¿Cuánto es la pendiente aquí a la izquierda? 00:38:54
Esa pendiente que es positiva o negativa. 00:38:57
Negativa. 00:39:00
¿Y esta pendiente cómo es? 00:39:00
Positiva. 00:39:02
Por lo tanto, ya no pueden ser igual. 00:39:02
De hecho, ¿cómo se estudiaría aquí? 00:39:04
Y como yo tengo al final una función definida a trozos, pues sería f' de x, ¿no? 00:39:06
f' de x, si os fijáis, que es menos 1 si x es menor que 0, ¿verdad? 00:39:14
¿Sí o no? 00:39:21
Y 1 si x es mayor que 0. 00:39:22
¿Sí o no? 00:39:25
Entonces, ¿qué ocurre? 00:39:27
Es f' de 0 a la izquierda, f' de 0 a la izquierda es distinto que f' de 0 a la derecha, ¿verdad? 00:39:28
¿Lo veis? Por lo tanto, no existe f' de 0. 00:39:43
Por lo tanto, f de x no es derivable en x igual a 0. 00:39:50
¿Lo veis, chavales, o no? 00:40:01
¿Sin sin o no sin? ¿Sí? Entonces, ¿vale? Recordáis la definición de derivada, ¿verdad? Es esto. ¿Qué implicaba esta definición? ¿Qué implicaba esta definición? Súper importante. 00:40:02
Para que una función sea derivable tiene que ser continua, ¿vale? Para poder yo aplicar esto de aquí, ¿vale? 00:40:41
para casi todo 00:41:05
para el teorema de Bolzano 00:41:12
para los teoremas de continuidad, sí 00:41:20
porque son teoremas asociados a la continuidad 00:41:22
¿qué es lo que implica 00:41:24
esto, chavales? 00:41:26
¿toda función continua es derivable? 00:41:28
no, es decir, que sea 00:41:32
continua es una condición 00:41:34
para que sea derivable 00:41:36
¿de acuerdo? 00:41:40
Ahora, una cosa, si una función es derivable, ¿es continua? Sí. ¿Vale? Si una función yo sé que es derivable, ya sé que es continua, pero por el simple hecho de ser continua no es derivable. ¿Vale? 00:41:41
Entonces, chavales, vamos a ver. Me dicen que este ejercicio me gusta también, ¿vale? Esto es el 5 de la página 251, que me dice calcular m y n para que la siguiente función sea derivable en x igual a 1, ¿vale? 00:41:55
Donde f de x es igual a x cuadrado menos 5x más m, si x es menor o igual que 1, y menos x cuadrado más nx, si x es mayor que 1. 00:42:35
¿Vale? ¿Se ve bien? Regulera. 00:42:54
Entonces, chavales, ¿qué ocurre aquí? 00:42:56
Que me dice que estudie los valores de m y n para que la función sea derivable en ese punto 00:42:59
Entonces, ¿qué es lo que ocurre? 00:43:06
Que para que sea derivable, para que f de x sea derivable en x igual a 1 00:43:09
Tiene que ser continua 00:43:22
Y entonces, ¿cómo estudio yo la continuidad? ¿Os acordáis? Entonces, límite de f de x cuando x tiende a 1 por la izquierda, yo utilizo la de arriba, ¿verdad? Y esto, ¿qué es? Es 1 menos 5 más m, ¿verdad? 00:43:25
Y ahora el límite de f de x cuando x tiende a 1 por la derecha, ¿qué es? Límite cuando x tiende a 1 por la derecha de menos x cuadrado más nx, es decir, menos 1 más n. 00:43:50
¿Sí o no? Entonces, para que exista el límite de f de x cuando x tiende a 1, esto implica que menos 4 más m tiene que ser igual a menos 1 más n. 00:44:07
Es decir, que m es igual a 3 más n, ¿sí o no? 00:44:29
Entonces, eso es lo primero, ¿vale? 00:44:34
Porque si no, no puede ser derivable. 00:44:38
Y ahora, para que sea derivable, pues fijaros, chavales, a vuestro nivel se puede hacer esto de aquí. 00:44:41
A niveles más de universidad, aquí sería 2x menos 5, ¿verdad? 00:44:47
Y aquí sería menos 2x, ¿verdad? 00:44:54
menos 2x más n 00:44:59
¿estamos de acuerdo? 00:45:01
¿si o no? 00:45:03
derivo esto 00:45:05
2x menos 5 y derivo esto 00:45:06
que es menos 2x más n 00:45:09
¿lo veis chavales? ¿si o no? 00:45:10
entonces, ¿qué ocurre? 00:45:13
¿cuánto vale f' 00:45:14
de 1 por la izquierda 00:45:16
porque esto es x menor 00:45:20
igual que aquí 00:45:22
cuando derivemos quitamos el igual 00:45:23
¿de qué? ¿aquí? 00:45:25
esto es más 00:45:31
Entonces, f' de x es menos 1 00:45:31
¿Esto cuánto vale? 00:45:38
De 1 por la izquierda, ¿cuánto vale? 00:45:40
2 menos 5, que es igual a menos 3, ¿verdad? 00:45:42
Y f' de 1 por la derecha, ¿cuánto vale? 00:45:45
Esto vale menos 2 más n 00:45:49
Para que exista f' de 1 00:45:51
¿Qué ocurre? 00:45:56
Que f' por la izquierda 00:45:58
Tiene que ser igual que f' por la derecha, ¿verdad? 00:46:01
Y entonces, ¿qué ocurre? 00:46:04
Que menos 3 es igual a menos 2 más n. 00:46:05
¿n cuánto vale, chavales? 00:46:09
Menos 1. 00:46:11
¿Sí o no? 00:46:13
Entonces, f de x es derivable. 00:46:14
Y esto ponérmelo en el examen siempre en una oración, ¿eh? 00:46:18
Es derivable en x igual a 1. 00:46:22
Si, solo si, n es igual a menos 1. 00:46:25
y m es igual 00:46:29
a cuánto? A 2. 00:46:31
¿Lo veis, chavales? Este es un ejercicio 00:46:35
súper típico. Entonces, 00:46:37
¿qué quiero que me hagáis, 00:46:39
chavales? 00:46:41
Sí, para que sea 00:46:46
derivable en ese punto, sí. 00:46:47
Chavales, miradme 00:46:50
por favor 00:46:51
la página 00:46:52
es del tema 10 ya, ¿vale? 00:46:54
las páginas 292 y 293 00:47:00
mirarse las páginas 00:47:07
Valoración:
  • 1
  • 2
  • 3
  • 4
  • 5
Eres el primero. Inicia sesión para valorar el vídeo.
Idioma/s:
es
Idioma/s subtítulos:
es
Materias:
Matemáticas
Niveles educativos:
▼ Mostrar / ocultar niveles
  • Bachillerato
    • Segundo Curso
Autor/es:
Roberto Aznar
Subido por:
Roberto A.
Licencia:
Reconocimiento - No comercial - Compartir igual
Visualizaciones:
12
Fecha:
30 de enero de 2026 - 20:02
Visibilidad:
Público
Centro:
IES JIMENA MENÉNDEZ PIDAL
Duración:
47′ 17″
Relación de aspecto:
1.97:1
Resolución:
1024x520 píxeles
Tamaño:
86.94 MBytes

Del mismo autor…

Ver más del mismo autor

Comentarios

Para publicar comentarios debes entrar con tu nombre de usuario de EducaMadrid.

Comentarios

Este vídeo todavía no tiene comentarios. Sé el primero en comentar.



EducaMadrid, Plataforma Educativa de la Comunidad de Madrid

Plataforma Educativa EducaMadrid