Saltar navegación

Activa JavaScript para disfrutar de los vídeos de la Mediateca.

Operaciones con fracciones - Contenido educativo

Ajuste de pantalla

El ajuste de pantalla se aprecia al ver el vídeo en pantalla completa. Elige la presentación que más te guste:

Subido el 2 de enero de 2026 por Jesús Pascual M.

19 visualizaciones

Descargar la transcripción

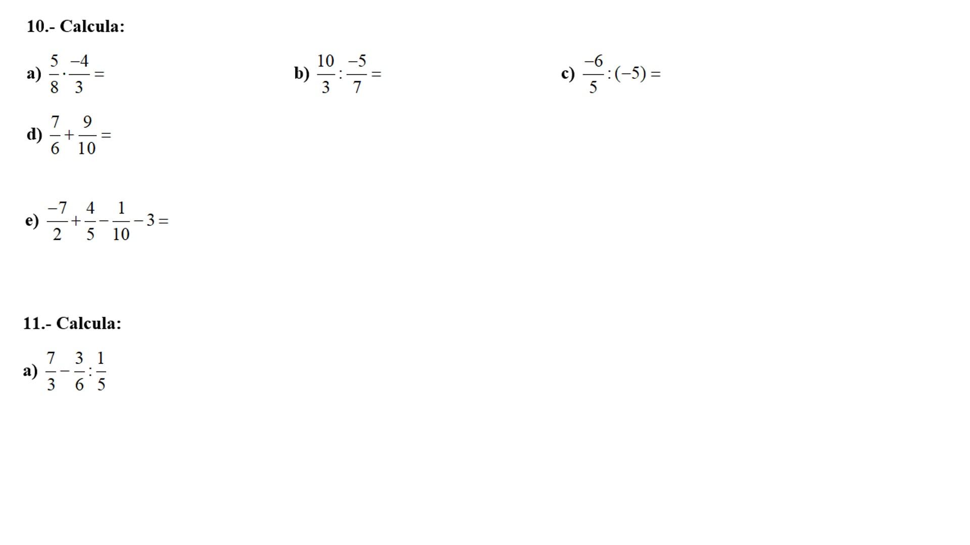
El ejercicio 10 no hay más que realizar las operaciones con fracciones. 00:00:00
Es una multiplicación que hacemos en línea. 00:00:06
Entonces, 5 por 4, 20, y dejamos el menos. 00:00:10
3 por 8, 24. 00:00:14
Después hay que identificar. 00:00:17
Lo podemos hacer por el método rápido. 00:00:19
Vemos que los dos son múltiples de 2, pero también de 4. 00:00:21
Entonces, dividimos arriba y abajo entre 4. 00:00:25
tendríamos menos 5 arriba y abajo 6. Otra opción sería hacer primero entre 2, sería menos 10 arriba, 00:00:27
2 abajo, luego otra vez entre 2, que tendríamos menos 5 arriba, 6 abajo. Tendríamos lo mismo. 00:00:42
Bien, el apartado B es una división, recordamos que la división se hacía siguiendo este orden de operaciones 00:00:52
Entonces teníamos 10 por 7 es 70, 3 por 5 es 15 y el signo es menos 00:01:03
Aunque recordamos que cuando lo tengamos abajo, tenemos que ponerlo enseguida arriba 00:01:11
Aún así no hemos terminado porque falta simplificar 00:01:17
Vemos que arriba y abajo es múltiplo de 5 00:01:22
Porque uno acaba en 0 y otro en 5 00:01:25
Pues dividimos 00:01:27
Y obtenemos 00:01:28
Menos 14 arriba y un 3 abajo 00:01:31
Y ya hemos terminado 00:01:34
Bien, en la 6 igual 00:01:36
Es una adhesión 00:01:40
Pero hay que recordar 00:01:43
Que cuando tenemos un número entero 00:01:44
Lo mismo dividido por 1 00:01:46
Y aplicamos pues lo mismo 00:01:47
6 por 1 es 6 00:01:50
Y menos por más es menos 00:01:53
Y luego cuando hacemos esta operación 00:01:56
Tenemos 5 por 5, 25 00:02:00
Y también, pues más por menos, menos 00:02:03
Ahora bien, no lo dejamos así porque hay que operar el signo 00:02:06
Y cuando tenemos dos menos, pues sabemos que menos y menos dan más 00:02:10
Entonces, porque estamos dividiendo 00:02:13
Esa es la opción 00:02:15
Y nos quedaría más 6 partido por 25 00:02:17
Con esto hemos terminado 00:02:20
Bien, sigamos 00:02:22
Para D es la suma de fracciones, entonces hay que hacer el mínimo como múltiplo 00:02:25
Sabemos que 6 es igual a 2 por 3 00:02:30
10 es igual a 2 por 5 00:02:33
El mínimo como múltiplo sería 2 por 3 por 5 00:02:36
Que es 30 00:02:42
De modo que esto sería 30 más 30 00:02:46
Bueno, algo partido por 30 más algo partido por 30 00:02:52
Y ahora ya, pues, ha habido dos métodos de hacerlo 00:02:55
Una es, ¿por qué no me lo hemos multiplicado al 6 para que me dé 30? 00:02:59
Por 5, pues, también es de arriba 00:03:03
Por 5 también 00:03:05
Entonces tendríamos 7 por 5, 35 00:03:07
Lo mismo 00:03:12
¿Por qué no me lo hemos multiplicado al 10 para que me dé 30? 00:03:15
Pues por 3 00:03:19
Pues arriba también por 3 00:03:19
9 por 3, 27 00:03:22
El otro método sería hacer 00:03:25
30 entre 6 a 5 por 7, 35 00:03:28
Y lo mismo 00:03:34
30 entre 10 a 3 por 9, 27 00:03:35
Y ahora seguimos 00:03:40
Sumamos los numeradores 00:03:45
Dejamos el 30 igual 00:03:47
Y ahora como 35 más 27 00:03:50
nos da 62 00:03:53
pues tendríamos 62 partido por 30 00:03:56
voy a borrar este número 00:03:58
bien 00:04:02
y ahora 00:04:04
simplificamos, para ello dividimos entre 2 00:04:06
y nos quedaría 00:04:09
partido por 15 00:04:13
y ya habríamos terminado 00:04:14
bien, vamos con lo de abajo 00:04:16
tenemos un número entero, 2 con 3 00:04:19
pues ponemos partido por 1 00:04:22
ya tenemos todas fracciones 00:04:24
Y ahora hacemos el mínimo común múltiplo de 2, de 5 y de 10 00:04:26
Pero recordemos un truco 00:04:30
Tenemos que el 2 es un divisor de 5 y el 5 es un divisor de 10 00:04:32
Es decir, 10 es múltiplo de todos los demás denominadores 00:04:38
Cuando un número es un múltiplo de los demás, este es el mínimo común múltiplo 00:04:42
Entonces el mínimo común múltiplo es 10 00:04:47
Por ejemplo, si queréis hacerlo, tenéis 2, 5 y 10, que es 2 por 5. 00:04:50
Comunes y no comunes, la mayoría exponente es 10. 00:04:57
Bueno, pues ponemos partido por 10, partido por 10, partido por 10 y partido por 10. 00:05:00
Igual que antes, ¿por qué no ponemos multiplicado al 2? 00:05:08
Para que nos de 10 por 5, pues también, arriba por 5. 00:05:13
7 por 5, 35 y dejamos el menos. 00:05:17
Bueno, voy a poner los signos que faltan 00:05:19
Más, menos y menos 00:05:21
Digamos 00:05:23
¿Por qué no me lo he multiplicado al 5 para que me dé 10 por 2? 00:05:25
Pues el 4 también por 2 00:05:29
Digamos 00:05:30
¿Por qué no me lo he multiplicado al 10 para que me dé 10 por 1? 00:05:33
Por sí mismo 00:05:36
Entonces arriba lo dejamos igual 00:05:36
Y por último 00:05:38
¿Por qué no me lo he multiplicado al 1 para que me dé 10? 00:05:42
Pues por 10 00:05:44
Pues arriba también por 10 00:05:45
Pero ya operamos 00:05:47
Tenemos aquí 00:05:50
Menos 35 00:05:51
Más 8 00:05:54
Menos 1 00:05:55
Menos 30 00:05:55
A ver, lo podemos hacerlo bien con todos los negativos 00:05:56
Esto sería menos 35, menos 1, menos 30 00:05:59
Que es menos 66 00:06:03
Y luego más 8 00:06:07
Y esto nos da menos 58 00:06:09
Esto sería menos 58 partido por 10 00:06:14
También está bien hacerlo así 00:06:19
Aquí cogemos 2 00:06:21
menos 35 más 8 00:06:23
menos 23 00:06:26
perdón, quería decir 00:06:29
menos 27 00:06:31
y ahora hacemos esto 00:06:33
pero sabiendo que el signo delante 00:06:35
entonces el 1 tiene un menos delante y el 3 no tiene un menos delante 00:06:37
entonces sería menos 31 00:06:39
y ahora ya 00:06:42
la suma de estos dos 00:06:43
que es menos 58 00:06:45
ambas cosas son correctas 00:06:47
vamos a 00:06:50
borrar esto para que no haya líos y dejamos aquí la línea para que no haya líos 00:06:51
bueno, por último simplificamos que es posible, aquí lo ves 00:07:01
porque ambos son múltiples de 2 al ser pares 00:07:07
dividimos arriba entre 2 y tenemos menos 29 y abajo pues divide entre 2 que es 5 00:07:09
y ya hemos terminado 00:07:22
bueno, ejercicio 11 00:07:24
Aquí se hace igual que con los números enteros, pero con el orden de operaciones. 00:07:28
Es decir, si tenemos aquí un entre, eso se hace primero y luego lo demás. 00:07:37
Primero potencias de raíces, bueno antes paréntesis, después potencias de raíces, multiplicaciones. 00:07:45
Pues nada, podemos hacer por aquí abajo, 3 sextos entre 1 quinto, bueno, aquí esto se podría ser indicado antes, ¿vale? 00:08:00
Esto es igual a 1 medio, con lo cual esto sería 1 medio entre 1 quinto, que sería 5 arriba y 2 abajo. 00:08:18
Si no os dais cuenta, es igual. 3 sextos entre 1 quinto, que es partido por 6, pero luego al simplificar, entre 3 y entre 3, os tiene que dar lo mismo. 00:08:29
Bueno, pues esto sería 7 tercios menos 5 medios, y ahora ya operamos. 00:08:44
Partido por el mínimo y el múltiplo, pues como son primos entre sí, o sea, no tienen el mismo control en común, son 2 y 3, 00:08:52
elimino como múltiplo ese producto 00:08:58
es 6 00:09:00
ahora, ¿por qué no lo he multiplicado al 3 para que me dé 6? 00:09:01
por 2, pues al 7 también por 2 00:09:07
¿por qué no lo he multiplicado al 2 para que me dé 6? 00:09:09
por 3 00:09:14
pues al 5 también por 3 00:09:14
ahora, 14 menos 15 menos 1 00:09:16
menos 1 sexto 00:09:22
y ya hemos terminado 00:09:23
bien, siguiente apartado 00:09:25
recordamos nuevamente la jerarquía de operaciones 00:09:29
paréntesis, ponentes y raíces 00:09:32
multiplicaciones y divisiones, sumas y restas 00:09:34
sabiendo que 00:09:36
cuando tenemos un paréntesis en las secciones 00:09:38
la barra indica que hay un paréntesis arriba y abajo 00:09:41
de modo que si tenemos por ejemplo un tercio menos un quinto 00:09:46
y aquí un octavo más siete, pues hasta que no hagamos 00:09:51
esta parte y esta parte no podemos efectuar 00:09:56
la división que indica la raíz. Bueno, sigamos 00:10:00
Empezamos con el primero, aquí tenemos paréntesis 00:10:07
los hacemos antes que nada en la A y en B 00:10:12
y no podemos hacer nada más porque 00:10:20
antes de hacer esta resta hay que hacer esta división y este producto 00:10:23
y esta división no se puede hacer hasta que se haya hecho este paréntesis 00:10:27
y lo mismo que el producto no se puede hacer hasta que tengamos este paréntesis 00:10:31
por lo tanto ponemos A 00:10:36
que es menos 1,5 más 1 y B 00:10:39
que es 1 tercio más menos 5 sextos 00:10:44
Empezamos con el de arriba 00:10:48
1 es 1 partido por 1 00:10:53
el mínimo múltiplo es 5 00:10:55
el menos 1 quinto lo dejamos igual 00:10:58
y ahora, ¿por qué el 1 multiplicado por 1 00:11:03
para que me de 5 por 5? 00:11:05
Pues arriba también por 5 00:11:07
Entonces, menos 1 más 5 es 4 00:11:08
y tenemos entonces 5 cuartos 00:11:12
Vamos con el apartado B 00:11:14
Lo primero que hacemos es quitar este signo 00:11:16
podríamos calcularlo directamente 00:11:19
pero para poner todos los pasos lo voy a hacer 00:11:21
aquí mismo 00:11:23
menos por más 00:11:25
menos 00:11:27
y ahora ya sacamos el mínimo como múltiplo 00:11:28
recordamos 00:11:31
que como el 6 es múltiplo de 3 00:11:33
el mínimo como múltiplo 00:11:35
va a ser 6 00:11:37
entonces esto es igual a 00:11:39
6 menos partido por 6 00:11:42
el 5 sexto 00:11:44
lo dejamos igual y ahora 00:11:46
¿Por qué no lo hemos multiplicado al 3 para que me de 6? 00:11:47
Por 2, pues al 1 también lo multiplicamos por 2 00:11:51
Y ahora ya operamos 00:11:54
2 menos 5 es menos 3 00:11:57
Tenemos menos 3 sextos 00:11:59
Vemos que arriba abajo es múltiplo de 3 00:12:01
Así que se puede simplificar 00:12:03
Dividimos arriba abajo entre 3 00:12:05
Y nos queda menos 1 y medio 00:12:08
Y ya con eso hemos terminado los A y B 00:12:12
Ya solo queda dejarlo 00:12:16
El a era cuatro quintos entre un sexto menos cuatro por... y el b era menos un medio. 00:12:18
Recordamos que este interés es invisible. 00:12:32
Bien, ahora tenemos que operar lo siguiente. 00:12:39
Primero hacemos la división y la multiplicación. 00:12:42
Podemos llamar a esto c y d. 00:12:49
En el C tenemos 4 quintos entre un sexto, 6 por 4 es 24, 5 por 1 es 5, y tenemos 24 quintos que no se puede simplificar. 00:12:50
Ahora vamos con el d, tenemos 4 por menos 1 medio, como tenemos estos 4 partido por 1, y arriba tenemos 4 por menos 1 que es menos 4, y abajo 2, dividiendo, 40 de 2 nos da menos 2. 00:13:06
Y ahora ponemos el resultado. La c era 24 quintos, el menos, y el resultado de la d que es menos 2. 00:13:25
¿Qué lo ponemos entre paréntesis? 00:13:36
Había un paréntesis invisible que es el que estaba encima del menos 1. 00:13:39
Este paréntesis se mantiene ahora. 00:13:44
Bien. 00:13:48
Esto es igual a 24 quintos. 00:13:50
Quitamos el signo menos. 00:13:53
menos 1 menos más, más 2 00:13:54
ahora bien, recordemos que 2 es 2 partido por 1 00:13:58
de modo que esto es 00:14:01
24 quintos 00:14:03
más 00:14:05
y lo partido por 5 00:14:06
¿por qué no lo hemos dedicado al 1 para que me dé 5? 00:14:08
por 5, pues el 2 también por 5 00:14:10
y 24 más 10 es 34 00:14:12
tenemos 34 quintos 00:14:16
seguimos con el C 00:14:18
recordemos que hay unos paréntesis 00:14:22
con la línea 00:14:24
de modo que hasta que no acabemos el numerador y el denominador no podemos operar entre ellas, 00:14:26
con lo cual vamos a circular primero ambos. Bueno, empezamos con el numerador y el denominador. 00:14:32
Dentro de cada uno lo primero son los paréntesis. Aquí tenemos un paréntesis y aquí otro. 00:14:39
Vamos a llamarle este a y este b. En el paréntesis a tenemos 00:14:47
tenemos un quinto más 3 00:14:55
pues empezamos con el de arriba 00:15:02
recordemos que ese 3 significa 3 partido por 1 00:15:05
así que tenemos que coger el otro denominador 00:15:08
partido por 5 y partido por 5 00:15:13
3 quintos y tiene igual 00:15:15
y ahora ¿por qué no lo multiplicamos por 1 para que nos dé 5? 00:15:17
pues por 5, pues el 3 también lo multiplicamos por 5 00:15:21
y 3 por 5 tiene 00:15:24
Tenemos entonces arriba 3 menos 15, que sería menos 12. 00:15:30
Esto es menos 12 quintos, que no se puede significar. 00:15:37
Llegamos con el b. 00:15:44
Recordamos que ese 3 significa 3 partido por 1. 00:15:45
Y hacemos lo mismo. 00:15:49
Partido por 5 más partido por 5, que es el otro denominador. 00:15:50
El 1 quinto lo dejamos igual. 00:15:55
Y ahora, ¿por qué no me lo hemos duplicado al 1 para que me dé 5? 00:15:56
Pues por 5. 00:16:01
pues al 3, también lo multiplicamos por 5, obteniendo 15. 00:16:02
Ahora tenemos que 1 más 15 es 16, 00:16:08
entonces tendríamos 16 quintos. 00:16:12
Y bueno, pues lo ponemos ahí arriba. 00:16:15
Tenemos 1 quinto menos 5 sextos, 00:16:18
por el resultado de A, que es menos 12 partido por 5. 00:16:21
Y abajo tenemos 16 quintos entre 1 medio. 00:16:25
Nuevamente, ¿por dónde hay que empezar? 00:16:34
Pues aquí tenemos una multiplicación y aquí una resta, pues primero hay que hacer la multiplicación. 00:16:37
De modo que habría que empezar por acá, ese sería el C, y en el denominador tenemos la división, pues ese es el D. 00:16:45
Entonces en el C tenemos 5 sextos por menos 12 quintos, 00:16:55
Y en el D tenemos 16 quintos entre un medio. 00:17:04
Bueno, pues empezamos con el C, multiplicamos el D, 12 por 5. 00:17:18
Entonces sería menos 60, y abajo tendríamos 6.5 por 5. 00:17:26
Y en el D, tenemos 6.5 por 5, y abajo tendríamos 6.5 por 5, y abajo tendríamos 6.5 por 5. 00:17:33
También podríamos haber hecho una cosa, que es hacer 5 por menos 12 entre 6 por 5, simplificar los 5, y luego hacer 2 entre 6, que me duele menos, 2 por menos 2. 00:17:47
Pero bueno, voy a borrar esto. Seguimos con el D. Tenemos, simplificamos así, y así, tenemos 16 por 2 es 32, y 5 por 1 es 5. 00:18:03
Tenemos 32 quintos. Ponemos entonces el resultado de C y D, que por cierto no se pueden centricar más. 00:18:20
Tenemos en el C un quinto menos y el centero es un menos dos. De modo que hay que ponerlo entre paréntesis. 00:18:30
Ahora en el D es 32 quintos. Pues nada, nos queda únicamente resolver el de arriba. 00:18:40
Podemos llamarle a este e, y tenemos un quinto menos menos dos. 00:18:49
Lo primero que hacemos es quitar el signo. Esto es un quinto más dos, menos por menos más. 00:19:06
Observemos que el dos es dos partido por uno, de modo que esto es un punto más algo partido por cinco. 00:19:11
Y decimos, ¿por qué no hemos multiplicado el uno por el cinco? Pues por cinco. Se multiplica por cinco. 00:19:19
Nos da la suma 1 más 10, 11, 11 quintos. 00:19:27
Lo ponemos aquí y tendríamos arriba 11 quintos, abajo 32 quintos. 00:19:32
Bien, esto se puede realizar de dos formas. 00:19:47
Una opción es poner estos 11 quintos entre 32 partido por 5. 00:19:49
Lo de arriba entre lo de abajo sería 11 por 5, 55. 00:19:57
5 por 32 es 160. Otra opción abre el filo. Multiplicar directamente el de arriba con el de abajo. 00:20:03
11 por 5 y luego los de en medio. 5 por 32. Hubiéramos obtenido también 55 partido por 160. 00:20:19
Aunque, os acuerdáis que tenemos aquí un 5 y otro un 5. Podríamos simplificar y obtener directamente también 11 partido por 32. 00:20:28
También podríamos ser simplificados y hubiéramos puesto esto como ese producto. 00:20:38
11 por 5 partido por 5 por 32, que es 11 partido por 32. 00:20:43
Bueno, no solo voy a seguir con esto, esto sería entre 5 y entre 5, que es 11 partido por 32. 00:20:50
Y ya habríamos terminado. 00:21:05
Regresemos al programa FD, recordemos la jerarquía de operación. Empezamos con el paréntesis, vamos a llamarles A, B y C. 00:21:07
Y antes de nada, una observación. Esta operación no se puede hacer. ¿Por qué? 00:21:22
Porque antes de solucionar este menos, hay que hacer este entre, porque las multiplicaciones, ilusiones... 00:21:30
De modo que, puesto que este ente está ligando ese 3 quintos al resultado que tenga en el paréntesis, 00:21:38
hasta no tener todo esto completo, esto no se puede hacer. 00:21:48
Bueno, voy a borrar esto y continuamos. 00:21:53
Tenemos entonces las operaciones A, B y C. 00:21:57
A sería 3 partido por 14 menos 3 partido por 10. 00:22:06
B es un quinto. 00:22:12
más 3, y C es 1 cuarto menos 2. Empezamos con la A, 14 es igual a 2 por 7, 10 es igual 00:22:13
a 2 por 5, por lo tanto el mínimo común múltiplo sería 2 por 5 por 7, 2 por 5 es 00:22:29
10 por 7, 70. Ponemos entonces partido por 70 menos partido por 70. ¿Por qué no ponemos 00:22:41
el 14 para que me dé 70? Pues por 5. Arriba también por 5. 3 por 5, 15. También podéis 00:22:51
Vamos a ver, 70 entre 14 es igual a 5, una flecha, y ahora 3 por 5 es igual a 15, pero es lo que hemos hecho antes. 00:23:00
Ahora mismo, ¿por qué número multiplicado al 10 para que me dé 70 por 7? Pues al 3 también por 7. 00:23:22
7 por 3 es 21 00:23:30
Tenemos entonces 00:23:32
15 menos 21 que es menos 6 00:23:33
Entre 70 00:23:37
Miramos si se puede simplificar 00:23:38
Y en efecto se puede simplificar porque ambos son pares 00:23:42
Y podemos dividir arriba y abajo entre 2 00:23:45
6 entre 2 es 3 00:23:47
Dejamos el menos 3 00:23:51
7 entre 2 es 35 00:23:52
Bien, sigamos 00:23:54
Ponemos aquí partido por 1 00:23:58
Y aquí partido por 5 00:24:01
Más partido por 5 00:24:04
un quinto que dejamos igual, ahora el 1 lo hemos multiplicado por 5, pues el 3 también lo hemos multiplicado más por 5. 00:24:06
Tenemos entonces que la suma y el número de veces es 1 más 15 que es 16, que no se puede simplificar. 00:24:13
Bueno, será cuando tenéis una fracción que ya sea simplificada y un número entero, luego no se va a poder simplificar. 00:24:22
Tanto se está sumando como restando. De hecho la C no se la puede simplificar. 00:24:30
Este 2 es 2 partido por 1 00:24:34
Tenemos aquí 00:24:36
Partido por 4 00:24:38
Menos partido por 4 00:24:40
De 1 cuarto 00:24:42
El 1 lo hemos multiplicado por 4 00:24:43
Arriba también por 4 00:24:48
Entonces tenemos 00:24:49
1 menos 8 que es menos 7 cuartos 00:24:51
Y después los resultados arriba 00:24:54
Tenemos el 1 quinto 00:24:58
Menos 3 quintos 00:25:01
Entre el resultado que hemos obtenido en A 00:25:03
Que es menos 3 00:25:05
Partido por 35 00:25:07
Y ahora el menos 1. En el B que tenemos 16 quintos y en el C que tenemos menos 7 cuartos. 00:25:09
Y luego el menos 1. Y ahora ya operamos. 00:25:21
Nuevamente aquí tenemos un entre que se hace antes que ninguna otra cosa. 00:25:26
Esos menos tienen que esperar. Y también hacemos antes esto. 00:25:32
Llamamos a esto D y a esto E. Borramos las flechas. 00:25:39
Bueno, pues suponemos, vamos a poner aquí, el de tres quintos entre menos tres partido por treinta y cinco, 00:25:47
3,5 por menos 7,4. Voy a hacer esto de forma... 00:26:00
... 00:26:11
... 00:26:13
... 00:26:15
... 00:26:19
... 00:26:21
... 00:26:32
... 00:26:34
... 00:26:43
... 00:26:45
y de hecho mejor, bueno, y podemos volver a simplificar 00:26:47
21 entre 3 es 7 y dejamos el menos 00:26:51
bien, ahora bien 00:26:54
podemos ir a ver esto con el partido, si hubiéramos puesto 35 00:26:59
partido por 5, tendríamos que tener 6 partido por 35 00:27:04
y hubiéramos puesto 3 por 35, como yo aquí 00:27:07
bueno, el 5 por 3 es 5 00:27:11
porque podemos atacar aquí el 3 y el 6 00:27:15
Y tendríamos directamente 35 entre 5 que es 7. 00:27:18
Nos haríamos ahorrar algunos puntos. 00:27:23
Vamos a darle deprima. 00:27:26
La E es una multiplicación. Multiplicamos en línea recta. 00:27:31
16 por 7 es 112, con un menos. 00:27:34
5 por 4 es 20. 00:27:41
Podemos multiplicar. 00:27:44
en pares entre 2, lo que nos da 56 y abajo 10, pues vamos a hacer pares entre 2, que 00:27:46
nos da menos 28 partido por 5. Normalmente esto se puede hacer de manera rápida, voy 00:27:56
a hacerlo con un E', porque si yo pongo 16 pinos por menos 7 cuartos, voy a poner todo, 00:28:01
Vamos a dejar aquí al menos 00:28:09
15 por 7, de aquí 5 por 4 00:28:10
Podemos hacer aquí 00:28:13
Entre 4 es 4 00:28:15
Y ponemos directamente 00:28:17
4 por 7, 28 00:28:19
Y aquí un 5 00:28:21
Y nos habremos cerrado varios cálculos 00:28:23
Bueno, vamos a pasar 00:28:26
Arriba la información 00:28:27
Tenemos aquí un 5 00:28:28
Menos 00:28:31
El resultado de D 00:28:33
Que es un menos 7 00:28:35
Y ahora hay que poner un paréntesis porque es un número entero 00:28:36
Así que cuando tenemos esto 00:28:39
Luego va a haber que ponerlo con paréntesis 00:28:41
Y aquí tenemos el resultado de 00:28:45
Que es menos 28 partido por 5 menos 1 00:28:51
Bueno, operamos 00:28:56
Lo podemos hacer ya aquí y lo abajo, no es tampoco igual 00:28:59
Podemos hacerlo abajo, no pasa nada 00:29:05
Vamos a llamar esto F y esto G 00:29:07
El F 00:29:12
Tenemos un quinto menos menos siete menos uno. 00:29:18
Esto cuánto vale? Esto vale más siete. 00:29:24
Entonces tenemos más siete menos uno y esto es más seis. 00:29:27
Podemos poner directamente un quinto más seis. 00:29:32
Y lo de siempre, este seis es un seis partido por uno. 00:29:40
Tenemos un quinto más algo partido por 5. 00:29:45
Hemos llegado a 1 por 5, pues arriba cae por 5. 00:29:51
5 por 5, 30. 00:29:53
Y obtenemos 31 partido por 5. 00:29:54
Vamos con el 6. 00:29:59
Tenemos menos 28 quintos menos 1. 00:30:04
Este 1 es un 1 partido por 1. 00:30:09
De modo que tenemos menos 28 quintos menos algo partido por 5. 00:30:11
Abajo hemos realizado con 5. 00:30:16
arriba también, 1 por 5 es 5 00:30:18
y menos 28 menos 5 es menos 33 00:30:20
entre 5 00:30:23
y lo ponemos, arriba tenemos 00:30:26
31 partido por 5 00:30:29
y abajo 00:30:31
menos 33 partido por 5 00:30:33
aquí tenemos dos formas de resolverlo 00:30:36
además hay una cosa que nos podría sinredijar mucho 00:30:39
los cálculos 00:30:42
vale, voy a hacer las dos formas 00:30:43
Método 1, esto es 31 partido por 5 entre menos 33 partido por 5. Esto nos da, bueno, aquí no he metido las formas de hacerlo, voy a hacerlo por el método largo. 00:30:47
31 por 3, 155, 33 por 5, 165, sumul, bueno, dejamos el menos, lo podemos dejar en cualquier sitio que sea por lo menos, ¿eh? 00:31:11
Y vimos arriba y abajo, entre 5, y tenemos 31, menos 31, entre 33. 00:31:25
El otro método era de hacer esto, hacer directamente aquí, 31 por 5, un menos aquí, 00:31:33
Abajo el 5 por 33, observamos que se pueden quitar los 5, y ahora ponemos 31 entre 33, dejando el signo lejos. 00:31:41
que método es? pues este es el método de las aves, este es el método de las aves 00:31:57
aquí le ponemos 31 por 5 y abajo dejamos el signo menos, el 5 por 33 00:32:07
borro lo que está en rojo por no liar y voy multiplicando y luego simplificando como antes o directamente 00:32:15
Tendríamos 31 partido por 33 y dejamos arriba el signo menos. 00:32:27
Y con esto habremos terminado. 00:32:41
El resultado sería finalmente menos 31 partido por 33. 00:32:42
Valoración:
  • 1
  • 2
  • 3
  • 4
  • 5
Eres el primero. Inicia sesión para valorar el vídeo.
Materias:
Matemáticas
Niveles educativos:
▼ Mostrar / ocultar niveles
  • Educación Secundaria Obligatoria
    • Ordinaria
      • Primer Ciclo
        • Primer Curso
        • Segundo Curso
      • Segundo Ciclo
        • Tercer Curso
        • Cuarto Curso
        • Diversificacion Curricular 1
        • Diversificacion Curricular 2
    • Compensatoria
Autor/es:
Jesús P Moreno
Subido por:
Jesús Pascual M.
Licencia:
Todos los derechos reservados
Visualizaciones:
19
Fecha:
2 de enero de 2026 - 16:24
Visibilidad:
Público
Centro:
IES MARÍA GOYRI GOYRI
Duración:
32′ 51″
Relación de aspecto:
1.78:1
Resolución:
1920x1080 píxeles
Tamaño:
243.93 MBytes

Del mismo autor…

Ver más del mismo autor

Comentarios

Para publicar comentarios debes entrar con tu nombre de usuario de EducaMadrid.

Comentarios

Este vídeo todavía no tiene comentarios. Sé el primero en comentar.



EducaMadrid, Plataforma Educativa de la Comunidad de Madrid

Plataforma Educativa EducaMadrid