Saltar navegación

Activa JavaScript para disfrutar de los vídeos de la Mediateca.

Ejercicios de aplicación de derivadas I - Contenido educativo

Ajuste de pantalla

El ajuste de pantalla se aprecia al ver el vídeo en pantalla completa. Elige la presentación que más te guste:

Subido el 10 de febrero de 2026 por Roberto A.

9 visualizaciones

Descargar la transcripción

Bueno, hoy es 9 con premio de febrero del 2026, ¿vale? 00:00:00
Entonces, bueno chavales, este ejercicio es de Pau, lo he cogido para hacerlo rápido 00:00:08
y bueno, nos dan dos funciones, f de x y g de x, una es 2 partido de x y la otra es seno de x 00:00:15
y nos pide calcular este límite, ¿no? 00:00:22
Entonces, bueno, fácil en el sentido de que nosotros lo que tenemos es esto de aquí, f de x que es 2 partido de x menos 2 partido de seno de x, ¿vale? 00:00:24
Entonces, si nosotros operamos esta función, aquí tendríamos infinito partido de infinito, 00:00:42
pero lo suyo sería operar el mínimo común múltiplo es x por seno de x 00:00:48
y nosotros lo que tenemos aquí, ahora sí, es la típica indeterminación 0 partido de 0, ¿vale? 00:00:54
Sí, pero como lo estamos operando, pues ya lo opero, ¿vale? 00:01:06
En teoría sí, aquí esto sería infinito menos infinito, ¿vale? 00:01:12
Entonces opero y me sale la indeterminación donde yo aquí puedo aplicar L'Hôpital, ¿vale? 00:01:15
Si yo aplico L'Hôpital, ¿qué ocurre? 00:01:23
Que yo tengo que derivar esto, pero el numerador y el denominador de forma independiente. 00:01:25
Que hay gente aquí que lo que me hace es la derivada de una fracción, ¿vale? 00:01:30
Entonces, ¿cuál es la derivada de 2 seno de x? Pues 2 coseno de x. 00:01:34
¿Y cuál es la derivada de menos 2x? Pues menos 2. 00:01:39
Y abajo, ¿cuál es la derivada de un producto? 00:01:42
Pues la derivada del primero por el segundo más la derivada del primero sin derivar por el segundo derivado. 00:01:45
Y entonces ahora sustituyo y ¿qué ocurre? 00:01:58
Coseno de 0 es 1, 2 menos 2 es 0 y abajo que me queda 0 más 0 que es 0 es otra indeterminación. 00:02:02
Con lo cual, ¿qué voy a hacer? Aplicar otra vez L'Hôpital. 00:02:15
No sé si me he equivocado. 00:02:22
Entonces, esto es menos 2 seno de x, ¿verdad? 00:02:27
Y abajo, ¿qué me queda? Coseno de x más menos seno de x... 00:02:30
No, perdón. Coseno de x menos x seno de x, ¿no? 00:02:39
arriba me queda 0 00:02:50
y abajo me queda 00:02:55
que esto es igual a 0 00:02:58
¿vale chavales? 00:03:00
hasta ahí bien 00:03:03
yo aplico l'hôpital hasta 00:03:04
que me deje de dar la indeterminación 00:03:06
¿vale? 00:03:09
lo que hago es derivar de forma independiente 00:03:10
numerador y de denominador 00:03:13
¿vale? 00:03:15
la derivada de 2 coseno de x es menos 2 seno de x 00:03:17
porque la derivada del coseno es menos seno 00:03:20
la derivada del seno es el coseno 00:03:22
y la derivada de este producto es la derivada del primero 00:03:24
que es 1 por coseno de x 00:03:27
más x por la derivada del coseno 00:03:29
lo que pasa es que la derivada del coseno es menos 0 00:03:32
con lo cual tengo esto de aquí, sustituyo 00:03:34
y me sale 0 00:03:37
¿vale? 00:03:38
y ahora 00:03:40
en principio no, pero bueno, que lo sepamos 00:03:41
¿vale? 00:03:47
y lo que sí tenemos que poner es que aplicamos L'Hôpital 00:03:48
¿vale? eso tenemos que decir 00:03:51
lo pita 00:03:52
y ahora chavales 00:03:55
esto de aquí 00:03:57
me interesa mucho 00:03:58
si, si 00:04:00
estoy copiando esto 00:04:02
me dice calcular la ecuación 00:04:04
de la recta tangente a y igual a 00:04:07
f de x en el punto 00:04:09
1, 2, 4 00:04:10
¿vale? 00:04:12
¿puedo pasar? 00:04:15
hostia, claro Guilla 00:04:18
tú no necesitas gafa, ¿no? 00:04:19
es lunes 00:04:21
por favor 00:04:24
el paladín del humor 00:04:27
ha llegado a su localidad 00:04:32
todo 00:04:35
ese ejercicio 00:04:43
me pone 00:04:47
me pone. Los que vamos a hacer hoy son curiosos. Fijadme, repasad lo de la función de valor 00:04:50
absoluto, ¿vale? Sí, sí, sí. Sí, sí, de los que me quedan por explicar, ¿vale? De 00:04:57
rol y del valor medio, ¿vale? Venga, chavales, el B. Entonces, me dice, calcular la ecuación 00:05:11
de la recta tangente, la curva es igual a f de x en el punto 1, 2, 4. 00:05:20
Entonces, aquí lo que tenemos que saber es si el punto 1, 2, 4 00:05:24
pertenece a la función o no. 00:05:28
Entonces, ¿cómo sé yo si el punto 1, 2, 4 00:05:31
pertenece a la función o no? 00:05:34
Pues yo lo que hago es hallar f de 1 medio. 00:05:35
Si f de 1 medio me sale 4, 00:05:39
es que ese punto pertenece a la función. 00:05:42
Si f de 1 medio me sale distinto de 4, 00:05:44
es que ese punto es un punto exterior que se llama. 00:05:46
vale, pues nada, yo aquí 00:05:49
sustituyo donde haya x un medio 00:05:51
y que veo que es 4 00:05:53
¿lo veis? 00:05:55
entre el 1 medio y el 4 00:05:57
es que no veo 00:05:59
si, si, si 00:06:02
es que es el punto, el x y 00:06:03
vale, el x y la x 00:06:05
vale 00:06:08
un medio y la y vale 4 00:06:08
¿de acuerdo? entonces que ocurre 00:06:11
que este punto 00:06:13
pertenece 00:06:14
a f de x, ¿vale? 00:06:18
Pertenece 00:06:20
a f de x. 00:06:20
Sustituir. 00:06:24
En la x, date cuenta que 00:06:25
f de x es igual a 2 00:06:28
partido de x. Entonces f de 1 medio 00:06:29
sustituye la x por 1 medio 00:06:32
2 entre 1 medio es 4. 00:06:34
¿Vale? Entonces este no es 00:06:36
un punto externo. 00:06:38
¿Vale? Entonces, ¿cómo hallo la 00:06:39
ecuación de la recta tangente a la curva 00:06:41
en el punto 1, 2, 4? 00:06:44
Pues siempre esto me lo tengo que saber 00:06:45
Sí o sí, la ecuación de la recta tangente, ¿vale? 00:06:47
Recta tangente. 00:06:51
Y la recta tangente siempre es la misma. 00:06:53
Y menos f de x sub cero es igual a f' de x sub cero, x menos x sub cero. 00:06:56
¿Cuánto vale aquí, chavales, x sub cero? 00:07:04
¿Cuánto vale aquí x sub cero? 00:07:07
Un medio. 00:07:09
¿Y f de x sub cero? 00:07:11
Cuatro. 00:07:14
Muy bien. 00:07:15
¿Vale? 00:07:16
Y entonces, la f' ¿cuánto vale la derivada de 2 partido de x, chavales? 00:07:16
¡Guau! 00:07:24
¿La derivada de 2 partido de x? 00:07:26
¿Menos 2 partido de x cuadrado, sí o no? 00:07:34
¿Sí? ¿Seguro? 00:07:38
Entonces, ¿cuánto vale f' de 1 medio? 00:07:41
pues menos 2 partido de 1 medio al cuadrado 00:07:44
¿verdad? y esto ¿cuánto es? 00:07:50
menos 2 partido de 1 cuarto 00:07:52
y esto ¿qué es lo que es? 00:07:54
ya vale, menos 8 00:07:56
rima con la vida 00:07:58
entonces la recta tangente es 00:08:00
1 y menos 4 es igual a menos 8 00:08:03
por x menos 1 medio 00:08:06
entonces y menos 4 es igual a menos 8x 00:08:08
más 4 00:08:13
Y la recta es igual a menos 8x más 8. 00:08:14
Esta es la recta tangente a esta función en el punto 1 medio. 00:08:21
De hecho, aquí lo bueno sería que probarais, ¿no? 00:08:31
Porque si es el punto de tangencia entre una recta y una función, es un punto común. 00:08:34
¿Sí o no? 00:08:40
entonces cuando tú halles la recta tangente en un punto 00:08:41
en un punto que además es común 00:08:45
lo suyo es que probéis 00:08:47
si yo aquí sustituyo la x por un medio me sale 4 00:08:49
sí, ¿verdad? 00:08:53
menos 8 por un medio es menos 4 00:08:55
menos 4 más 8 es 4 00:08:57
entonces el punto de tangencia 00:08:58
es precisamente este punto de aquí de un medio 4 00:09:00
lo digo porque a lo mejor es fácil equivocarme 00:09:04
¿vale? 00:09:06
Si este es un punto que pertenece a la función, el punto de tangencia es común, tanto a la tangente como a la función. 00:09:07
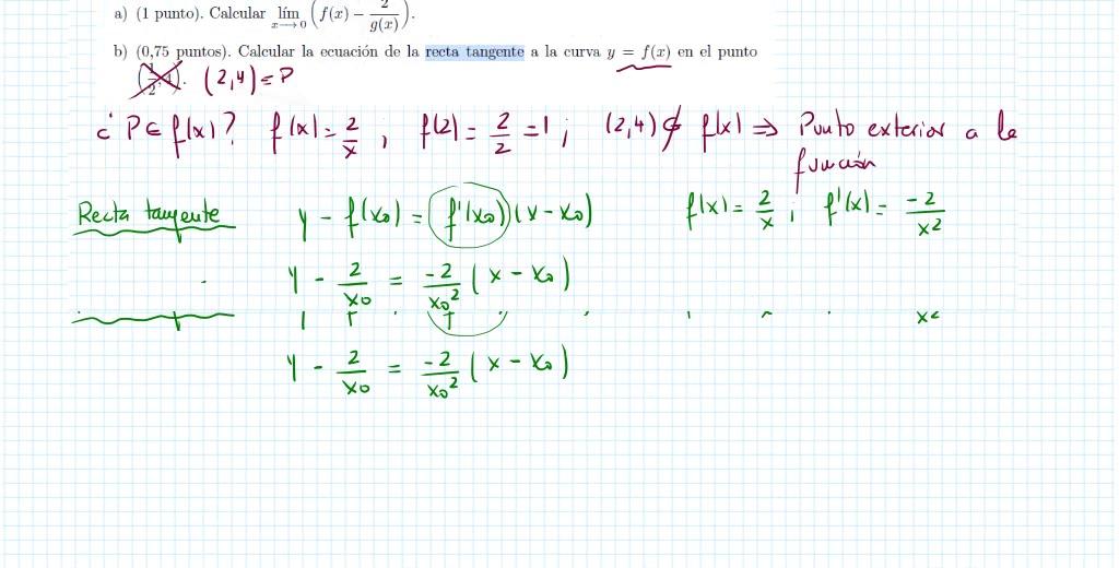
Otra cosa que me digan, que es lo que tenemos pendiente, es hallar la ecuación de la recta tangente, por ejemplo, a esta curva, que pase por el punto, yo qué sé, que lo podemos hacer ahora sin problema. 00:09:20
es lo que estábamos ahora intentando hacer 00:09:35
esto me lo estoy inventando 00:09:45
no sé cómo me va a salir 00:09:47
pero una posibilidad 00:09:49
en vez de pedirme esto 00:09:51
me digan yo que sé 00:10:00
por el punto 00:10:02
yo que sé, 2, 4 00:10:03
la ecuación de la recta 00:10:05
la tangente que pasa por el punto 00:10:09
2, 4 00:10:11
¿Vale? Entonces, ¿qué ocurre? 00:10:12
Este es el punto P, por ejemplo, ¿no? 00:10:15
Entonces, lo primero es preguntarnos, ¿P pertenece a f de x? 00:10:18
Pues si te das cuenta, como f de x es igual a 2 partido de x, 00:10:23
f de 2, ¿cuánto vale? 00:10:27
Pues 2 partido de 2, que es 1. 00:10:29
Es decir, el punto 2, 4 no pertenece a f de x. 00:10:32
Por lo tanto, se trata de que es de un punto exterior. 00:10:37
a la función 00:10:42
y entonces lo que me piden a mí es 00:10:44
la ecuación de la recta tangente 00:10:48
a esta curva, pero que pasa 00:10:50
por un punto exterior 00:10:52
¿vale? entonces, como siempre 00:10:53
yo tengo que hacer la recta tangente 00:10:56
¿vale? 00:10:58
la recta tangente, lo que pasa es que 00:11:00
¿qué diferencia hay ahora? 00:11:02
yo no sé cuánto vale 00:11:04
x sub 0 00:11:06
¿vale? yo no sé cuánto vale x sub 0 00:11:07
entonces, lo que yo sí sé 00:11:10
Es que mi ecuación de la recta tangente siempre va a ser la misma, ¿vale? 00:11:12
Entonces, si yo aquí sustituyo, pues fijaros, f de x, ¿cuánto vale? 00:11:26
2 partido de x. 00:11:32
f' de x, ¿cuánto valía? 00:11:34
Menos 2 partido de x cuadrado. 00:11:37
Entonces, ¿cuánto vale f de x sub 0? 00:11:40
Pues menos 2 partido de x sub 0. 00:11:44
¿Cuánto vale f' de x sub 0? 00:11:48
Pues menos 2 partido de x sub 0 al cuadrado. 00:11:50
Y aquí yo tengo x menos x sub 0. 00:11:54
De las rectas tangentes, de las rectas normales, tenemos tres tipos de ejercicio. 00:11:58
Uno, el que acabamos de hacer, donde me dicen que haya la recta tangente que pase por un punto x sub 0, 00:12:02
que además pertenece a la recta. 00:12:09
Otro, que haya la recta tangente a f de x, pero que sea paralela, ¿de acuerdo? 00:12:11
que sea paralela a una recta con lo cual yo lo que sé es esto de aquí 00:12:16
y como hallo el x sub 0 pues lo que hago es hago la derivada 00:12:20
y como la derivada es la pendiente de la recta tangente 00:12:25
esa derivada la igualo a la pendiente de la recta que es paralela 00:12:29
porque dos rectas son paralelas y tienen la misma pendiente 00:12:34
entonces yo hago la primera derivada de la función 00:12:37
lo igualo a la pendiente de la recta que es paralela 00:12:41
y de ahí saco el x sub cero y ya actúo como en el caso en el cual he hecho antes. 00:12:44
Yo aquí, en este ejercicio... 00:12:51
¡Guau! ¡Guau! ¡Guau! 00:12:53
¡Guau! Es que le he dado 800 veces, ¿no? 00:12:56
Sí. Bueno, luego lo cepillo, ¿vale? 00:12:58
El caso es que yo aquí sé el x sub cero. 00:13:00
Yo aquí el x sub cero es un medio, ¿de acuerdo? 00:13:04
¿Lo veis? 00:13:07
Cuando es paralela a otra recta, lo que hago es hago la primera derivada, 00:13:08
lo igualo a la pendiente y ahí obtengo 00:13:12
los x sub 0, pero ahora 00:13:14
lo que me dice 00:13:16
ahora lo que 00:13:16
me dice es que 00:13:20
es la ecuación de la 00:13:21
recta tangente a la curva, por lo cual 00:13:24
tiene que tener un punto de tangencia 00:13:26
que ese punto de tangencia no es el 2,4 00:13:27
porque este punto 2,4 es 00:13:30
exterior a la recta 00:13:32
lo que yo estoy haciendo es 00:13:34
forzar que esa recta tangente 00:13:35
pase por el punto 2,4 00:13:38
¿de acuerdo? pues nada 00:13:39
Yo aquí tengo mi ecuación de la recta tangente general, que claro, si a mí me dicen, chavales, que x sub cero vale un medio, pues lo que hago como antes, pues yo aquí el x sub cero lo sustituyo por un medio y ya tengo mi recta tangente. 00:13:41
Pero, sin embargo, ahora lo que me dicen es que pasa por el punto 2, 4. Entonces, ¿esto es una recta? ¿Sí o no? ¿Sí o no? Entonces, ¿qué hago? Pues yo, aquí en la y, sustituyo por el 4, ¿vale? Porque esto no deja de ser un punto x y. 00:13:56
4 menos 2 partido 00:14:13
de x sub 0 es 00:14:16
menos 2 partido de x sub 0 00:14:17
al cuadrado, aquí la x 00:14:20
sustituyo por el 2 00:14:22
¿lo veis? aquí lo sustituyo 00:14:23
por el 2 y aquí lo sustituyo 00:14:26
por el 4, que me hubiesen dicho 00:14:28
si me hubiesen dicho el punto yo que sé 00:14:30
3, 10 00:14:32
pues la y vale 10 y la x 00:14:33
vale 3, dime 00:14:36
la x sub 0 00:14:37
y siempre teníamos la y 00:14:40
¿Y ahora qué es lo que ocurre? 00:14:42
Que yo ahora aquí, date cuenta que yo antes siempre tenía la x sub cero. 00:14:43
Si me dicen un punto de la función, yo tenía la x sub cero. 00:14:48
Si me dicen la recta tangente paralela a otra, 00:14:51
yo hallo ese x sub cero igualando la primera derivada 00:14:55
a la pendiente de la recta que es paralela. 00:14:58
Y ahora lo que me dicen es que yo hallo la recta tangente 00:15:01
pero a un punto externo de la función. 00:15:04
Entonces, yo hallo, yo no sé, el x sub cero 00:15:06
y el x sub cero lo voy a hallar yo forzando que esa recta pase por el punto 2, 4, 00:15:08
que es lo que me dice el enunciado. 00:15:13
Porque al sustituirlo, yo sustituyo y si aquí me sale un 4, es que pertenece, 00:15:17
pero yo he sustituido el 2 en mi función y me sale un 1. 00:15:23
Entonces ese punto no pertenece a f de x, ¿lo ves? 00:15:26
No pertenece, punto exterior. 00:15:31
Pues nada, yo aquí lo que hago es operar, ¿vale? 00:15:33
Entonces esto que es 4x sub cero menos 2 partido de x sub cero, esto aquí es igual a menos 4 más 2x sub cero partido x sub cero al cuadrado. 00:15:37
Aquí me voy a cepillar un x sub cero, ¿lo veis? 00:15:50
Y entonces ¿qué es lo que me queda, chavales? 00:15:55
Pues me queda este x sub cero pasa al otro miembro y me queda 4x sub cero al cuadrado menos 2x sub cero. 00:15:57
No sé lo que me va a salir porque me he inventado el punto, ¿vale? 00:16:07
Aquí lo suyo es que esta ecuación de segundo grado tenga solución, si no la hemos liado, ¿vale? 00:16:10
Más 2x sub cero. 00:16:15
¿Estáis de acuerdo con lo que he hecho? 00:16:17
¿Sí o no? 00:16:19
Entonces, ¿qué me queda? 4x sub 0 al cuadrado menos 4x sub 0 más 4 es igual a 0, ¿verdad? 00:16:20
¿De dónde? x sub 0 al cuadrado menos x sub 0 más 1 es igual a 0, que no sé ahora mismo si esto tiene solución real o no. 00:16:31
No me da solución real, no existe, es que como me lo acabo de inventar, ¿vale? 00:16:41
la Y lo que he hecho yo es precisamente 00:16:44
sustituir forzando que pase por el 00:16:48
punto 2, 4, entonces la Y 00:16:50
vale 4 00:16:52
la X vale 2, ahora lo que estoy haciendo 00:16:54
es el paso previo 00:16:56
el paso previo para 00:16:59
hallar la ecuación de la recta tangente 00:17:00
de mi recta tangente 00:17:02
no, no, no, no, nos queda aquí mili 00:17:03
nos queda aquí mili, ¿vale? 00:17:06
lo que hago es 00:17:09
claro, forzar a que mi recta tangente 00:17:10
pase por el 2, 4 00:17:12
que es lo que me dice el enunciado 00:17:14
entonces yo hago yo mi resta tangente 00:17:15
de forma general 00:17:18
lo sustituyo por el 2, 4 00:17:19
y entonces yo ahí voy a obtener 00:17:21
los famosos x sub 0 00:17:23
¿vale? 00:17:25
entonces ya te digo, esto no sé si alguien lo ha hecho 00:17:27
¿os da solución real o no da solución? 00:17:29
ah, vale, pues venga 00:17:32
x sub 0 al cuadrado 00:17:33
es que me lo acabo de inventar 00:17:37
esto da negativa 00:17:39
¿no? la raíz, ¿no? 00:17:42
pues una jodienda porque no tiene 00:17:43
es que como me lo acabo de inventar 00:17:45
x sub 0 es igual a 00:17:47
menos b más menos 00:17:50
b al cuadrado menos 4 00:17:51
o sea que natillas partido de 2 00:17:54
¿vale? pues no hay ninguna 00:17:56
no hay 00:17:58
ninguna 00:17:59
resta tangente 00:18:00
a f de x 00:18:04
igual a 2 partido de x 00:18:08
que pase por el punto ¿no? 00:18:11
por el punto 00:18:18
¿Qué era? ¿2,4 no? 00:18:19
Sí, sí. 00:18:22
¿2,4? 00:18:23
Sí. 00:18:24
No, 2,4 no. 00:18:27
Sí, sí. 00:18:28
Base por el punto 2,4. 00:18:30
Si me saliese un valor, ¿vale, chavales? 00:18:32
Si me saliese un valor, pues entonces lo sustituimos y ya está. 00:18:35
¿Vale? 00:18:43
Carla, ¿tú tienes ahí el ejercicio que me preguntaste a mano? 00:18:44
Pero si lo tienes a mano, no lo tienes a mano ahí. 00:18:49
Si me salen dos valores, pues entonces yo hallo ya la ecuación de la recta. 00:18:58
Imaginaros, ¿vale? 00:19:02
Imaginaros. 00:19:04
Imaginaros que sale x sub 0 igual a 3 y x sub 0 igual a menos 1. 00:19:05
¿Sí o no? 00:19:14
Imaginaros que no es el caso, ¿no? 00:19:16
Entonces, ¿cómo hallo las ecuaciones aquí? 00:19:18
Pues yo ya sé el punto de tangencia. Entonces mi ecuación siempre es f de x sub 0, f' de x sub 0, x menos x sub 0. 00:19:21
Sustituyo para el x sub 0 igual a 3, ¿vale? Es decir, yo tengo que hallar x sub 0 es igual a 3. 00:19:32
f de x sub 0, que creo que en este caso era 2 tercios, ¿no? Y f' de x, ¿cuál era la función? 00:19:40
2 partido de x, ¿no? Y f' que era menos 2 partido de x al cuadrado, pues menos 2 partido de 9. 00:19:49
Sustituyo y tengo ya mi resta. ¿Lo veis? 00:19:59
¿Para x igual a menos 1? Pues igual. 00:20:02
¿x sub 0 es igual a menos qué? 00:20:05
Claro, porque me salen dos soluciones. 00:20:11
Y f' de x sub 0 es menos 2 también, ¿no? 00:20:14
¿Vale? Entonces ya tengo ahí dos rectas. 00:20:19
¿Vale, chavales? ¿Sí? 00:20:22
Venga. 00:20:25
Chavales, esta de aquí. 00:20:26
A ver, me dice, se considera la función f de x elevado a menos x partido de x cuadrado más 1 00:20:28
y se pide obtener la ecuación de la recta tangente a la curva y es igual a f de x en el punto de asisa x igual a 0. 00:20:34
¿Vale? 00:20:43
Entonces, el a como siempre, ¿no? 00:20:45
y menos f de x sub cero es igual a f' de x sub cero x menos x sub cero. 00:20:47
¿Cuánto vale mi x sub cero, chavales? 00:20:57
¿Cuánto vale? 00:21:00
Terapio. 00:21:02
¿Vale? 00:21:04
¿Puedo comprobar si pertenece o no? 00:21:04
No. 00:21:06
Porque a mí me dicen que es x sub cero. 00:21:07
¿Cuánto vale f de x sub cero? 00:21:10
Es decir, f de cero. 00:21:12
Pues esto es elevado a menos cero partido de cero al cuadrado más uno 00:21:14
¿Cuánto vale elevado a menos cero, chavales? 00:21:20
Uno, partido de uno es uno 00:21:23
f' de x sub cero 00:21:26
¿Cómo se deriva esto, chavales? 00:21:29
¿Esto qué es? Una función que es una división, un cociente, ¿vale? 00:21:31
Entonces, la derivada del primero, que es menos e elevado a menos x, por el segundo sin derivar, menos el primero sin derivar, por la derivada del segundo, que es 2x, y todo ello ya vale partido de cuánto? 00:21:37
Del denominador al cuadrado. 00:21:58
Entonces... 00:22:02
¿Eh? 00:22:03
Ya te lo expliqué, copetín. A ver, yo tengo mi función g de x es igual a e elevado a menos x, ¿vale? 00:22:09
Entonces, ¿cuál es la derivada de, vamos a hacerlo en general, h de x? h de x es igual a e elevado a f de x, ¿no? 00:22:18
¿Cuál es la derivada de e elevado a f de x? 00:22:31
La derivada es ella misma por la derivada de f de x. 00:22:34
¿Sí o no? 00:22:43
¿Y cuánto es la derivada de menos x? 00:22:44
¿Cuánto es la derivada de menos x? 00:22:51
Callito, la derivada de menos x es a. 00:22:56
Ah, que no me he enterado. 00:23:00
Por eso le pones el menos delante, si ya vas fuera de Madrid. 00:23:02
¿Sí o no? 00:23:05
F' de 0. 00:23:08
¿Esto qué es? 00:23:10
Es un elevado a 0, es un 1, ¿verdad? 00:23:11
Menos 1. 00:23:17
Esto es menos 1. 00:23:19
Elevado a 0 es 1 por 0. 00:23:21
Ya está. 00:23:26
¿Y esto qué es? 00:23:27
1, es decir, menos 1. 00:23:28
¿Sí o no, chavales? 00:23:31
Es sustituir. 00:23:32
Es la primera derivada del de este. 00:23:33
Pues entonces, ¿cuál es ya mi resta tangente? 00:23:35
Muy fácil, ¿no? 00:23:37
Y menos 1 es igual a menos 1 por x menos 0. 00:23:39
Es decir, y menos 1 es igual a menos x. 00:23:45
Y es igual a menos x más 1. 00:23:50
¿Sorry? 00:23:55
Sí, sí, sí, de forma explícita, ¿eh? 00:23:58
Sí. 00:24:01
¿Cómo veis esto, chavales? 00:24:06
Fácil, difícil, porque siempre es lo mismo, ¿eh? 00:24:07
Y ahora, chavales, me dicen, te cagas. 00:24:11
Allá los intervalos de crecimiento y decrecimiento de la función y sus... 00:24:14
¿Usted en este tema ya quiere saber si los máximos mínimos de la gratificación? 00:24:19
No. 00:24:23
Ah, bueno. 00:24:24
Es que en los apuntes que subiste, alguien nos dice en el que sí que los hayas. 00:24:25
Sí, pero lo hago más que nada para anticipar un poco. 00:24:29
Es que, ¿sabes? 00:24:33
se supone que cuando tú estudias 00:24:33
crecimiento de crecimiento con la primera 00:24:35
derivada, tú siempre tienes que poner 00:24:37
que esto es mínimo. De hecho, hay algunos exámenes 00:24:39
de BAU que a mí 00:24:41
particularmente no me gusta porque dicen 00:24:43
la corrección que son mínimos 00:24:45
y máximos relativos, porque 00:24:47
lo haces con esto, y tú estudias 00:24:49
la función realmente y eso es máximo 00:24:51
y mínimo absoluto. Entonces, 00:24:53
de primera hora, cuando tú 00:24:55
estudias así los máximos y los 00:24:57
mínimos con la primera derivada, 00:24:59
siempre tienes que decir que son máximos 00:25:01
mi mínimo relativo. Pero a mí eso no me 00:25:03
gusta, porque no tiene por 00:25:05
qué. Evidentemente, en un intervalo 00:25:07
sí que va a ser a lo mejor 00:25:09
relativo, pero tú estudias toda la función 00:25:10
y resulta que son absolutos. 00:25:13
¿De acuerdo? 00:25:16
Es lo que te digo, tú tienes 00:25:17
una función que es 00:25:18
una parábola. Una parábola, tú 00:25:21
sabes que el menos b partido de 2a, 00:25:23
eso es el vértice 00:25:26
y eso va a ser siempre. O el 00:25:27
mínimo 00:25:29
absoluto. Si los cuernos son 00:25:30
para arriba o el máximo absoluto si los 00:25:33
cuernos son para abajo. ¿Lo ves? 00:25:35
Pero si tú estudias según lo que te dice aquí, te dice 00:25:37
que va a ser un mínimo relativo. Y es mentira. 00:25:39
Es un mínimo o un máximo 00:25:42
absoluto. ¿Vale? Entonces, 00:25:43
eso no hay que hacerlo todavía. Cuando hagamos 00:25:45
ya el tema 10, representación de funciones, 00:25:47
sí. ¿Vale? 00:25:49
Y chavales, lo de la asíntota 00:25:51
que me habéis preguntado algunos de ustedes, 00:25:53
aunque yo cuando vimos 00:25:56
los límites y vimos la 00:25:57
continuidad, yo también decía, hay una asíntota 00:25:59
vertical, eso tampoco te lo vamos 00:26:01
a preguntar, te lo voy a preguntar ya 00:26:03
a partir del tema 10 00:26:05
¿vale? lo que pasa es que como el estudio es el mismo 00:26:07
pues yo hice un 2x1 ahí 00:26:09
asíntota como tal no entra 00:26:11
¿vale? 00:26:13
crecimiento y crecimiento con cabida 00:26:19
y con obesidad también 00:26:21
sí, entonces chavales 00:26:22
¿cómo hago los intervalos de crecimiento 00:26:25
de crecimiento? pues 00:26:27
entonces, si yo 00:26:29
tengo que f de x, y recordarme un poco, es elevado a menos x, ¿no? Partido de x cuadrado 00:26:31
más 1 es x cuadrado más 1. Entonces, chavales, yo tengo que hacer la primera derivada, que 00:26:39
bueno, ya la había hecho, ¿verdad? Era elevado a menos tal más elevado a menos x por x cuadrado 00:26:46
más 1 partido 00:26:55
de x cuadrado 00:26:56
más 1 al cuadrado. 00:26:59
Y entonces, ¿qué hago? Fijaros, yo hago 00:27:01
mi primera derivada. 00:27:02
Hago mi primera derivada. 00:27:04
Si yo saco factor común, 00:27:06
¿me he equivocado? 00:27:08
Vale. 00:27:12
Aquí era 2x, ¿no? 00:27:13
Sí, todos. Bueno, esto es fatal. 00:27:16
Pero es rápido 00:27:21
y no puede ser. 00:27:22
La derivada del primero 00:27:25
por el segundo sin derivar 00:27:26
menos 00:27:29
el primero sin derivar 00:27:30
por la derivada del segundo. 00:27:33
¿Vale? Eso sí. 00:27:35
El apartado B, ¿vale? 00:27:39
Los integrados de crecimiento 00:27:43
y de decrecimiento, ¿vale? 00:27:45
Si yo saco factor común 00:27:47
a elevado a menos x, 00:27:49
¿qué es lo que tengo, chavales? 00:27:51
x cuadrado 00:27:53
más 2x 00:27:54
más 1, ¿verdad? 00:27:57
y ahora una cosilla chavales 00:27:58
y esto es súper importante 00:28:08
yo hago aquí la primera derivada 00:28:10
¿vale? y hay mucha gente que pone aquí 00:28:12
la igual a cero, no, no, no 00:28:15
la primera derivada es esto 00:28:16
y ahora tú haces 00:28:19
si f' de x es igual a cero 00:28:20
entonces esto que implica 00:28:23
ahora sí, menos g elevado a menos x 00:28:25
por x cuadrado 00:28:27
más 2x más 1 00:28:29
partido de x al cuadrado más 1, todo ello al cuadrado es igual a 0. 00:28:30
Y eso que implica que elevado a menos x por x al cuadrado más 2x más 1 es igual a 0. 00:28:37
Y chavales, ¿tenéis en mente cómo es la función exponencial? 00:28:47
¿Es alguna vez 0? 00:28:51
Porque según esto que tenemos, menos 1 es igual a 0, que es nativa, 00:28:55
tenemos que e elevado a menos x 00:29:00
es igual a 0 00:29:02
en atillas 00:29:03
si tenemos dudas que hacemos 00:29:05
e elevado a menos x es igual a 0 00:29:07
¿cómo se resuelve esta ecuación? 00:29:10
aplicando logaritmo 00:29:12
¿vale? entonces tenemos 00:29:14
menos x por logaritmo neperiano 00:29:16
de e es igual a logaritmo 00:29:18
neperiano de 0 ¿cuánto vale logaritmo neperiano? 00:29:20
no, no 00:29:23
lo que he hecho es aplicar logaritmo 00:29:24
aplicar logaritmo 00:29:26
¿Cuánto vale el logaritmo neperiano de 0? 00:29:29
Menos infinito. 00:29:33
Y esto es un 1. 00:29:35
Entonces no tiene solución. 00:29:36
Nunca la exponencial, ¿vale? 00:29:40
Nunca la exponencial es 0. 00:29:43
Por lo tanto, la única posibilidad es que x cuadrado más 2x más 1 es igual a 0. 00:29:44
¿Lo veis? 00:29:50
¿Sí o no? 00:29:51
Y entonces, si yo hago x cuadrado más 2x más 1 igual a 0. 00:29:52
no sé si esto lo ha hecho alguien 00:29:58
es menos 2 00:30:00
más menos 00:30:02
4 menos 00:30:03
tienes que ver crecimiento de crecimiento 00:30:06
el crecimiento de crecimiento te lo da 00:30:13
la primera derivada, hago la primera 00:30:15
derivada y me sale todo esto de aquí 00:30:17
¿vale? entonces 00:30:19
yo siempre que lo que 00:30:20
son los crecimientos 00:30:22
de crecimiento lo que tengo que ver es 00:30:25
el signo de esa derivada 00:30:26
¿por qué? porque cuando la primera derivada 00:30:28
es positiva, la función ¿cómo es? 00:30:30
¿Eh? 00:30:37
Crece. Y si es negativa, 00:30:39
decrece. Entonces, cuando yo 00:30:41
lo igualo a cero, lo que estoy 00:30:42
hallando realmente son los valores 00:30:44
de las raíces, a partir de los cuales 00:30:47
puede cambiar el signo de la 00:30:48
función, ¿de acuerdo? Entonces, 00:30:50
lo igualo a cero, y yo aquí ¿qué tengo? 00:30:53
Yo aquí tengo ABC 00:30:54
igual a cero. Si yo tengo 00:30:56
un producto y es igual a 0, y esto por favor solamente me ocurre con el 0, puede ser que 00:30:58
a sea 0, el a es menos 1, menos 1 nunca es 0. Puede ser que b sea 0, pero es que elevado 00:31:05
a menos x nunca es 0. Y el c, que es todo esto de aquí, es igual a 0 y es lo que estoy 00:31:11
haciendo. Entonces estoy viendo a qué valores x cuadrado más 2x más 1 es igual a 0. Entonces 00:31:18
Esto es menos b más menos b al cuadrado menos 4ac partido de 2. 00:31:25
¿Qué es lo que me da aquí, chavales? 00:31:30
Que x vale menos 1. 00:31:32
De hecho, ¿esto qué es? 00:31:33
x más 1 al cuadrado. 00:31:35
Es una identidad notable. 00:31:37
x al cuadrado más 2x más 1. 00:31:39
¿Lo veis? 00:31:41
¿Sí o no? 00:31:42
Entonces, ¿qué ocurre? 00:31:43
Yo aquí tengo, fijarse, tengo aquí el menos infinito, 00:31:44
tengo aquí el menos 1 y tengo aquí el más infinito. 00:31:50
¿Cuántos intervalos tengo? 00:31:54
2, Cáceres 00:31:55
y Badajoz, si tuviera 3 00:31:57
Huesca, Zaragoza 00:32:00
y Teruel, muy bien 00:32:02
very good 00:32:04
claro, aquí también 00:32:04
efectivamente, aquí 00:32:22
esto siempre va a ser positivo 00:32:24
porque está al cuadrado 00:32:26
¿vale? 00:32:28
entonces chavales, luego también tendría 00:32:29
que haber visto esto de aquí, porque al final esto es 00:32:32
una inequación, y se hacía con la tablita 00:32:34
¿te acuerdas? 00:32:36
entonces chavales, yo me voy aquí al 00:32:38
terapio, el terapio está aquí 00:32:40
¿vale? entonces, f' 00:32:42
bueno, f' 00:32:44
de 0 no, porque al final lo que me hace es 00:32:46
esto de 00:32:48
de aquí ¿no? o bueno 00:32:50
si, en la f' 00:32:52
¿cuánto vale f' de 0 chavales? 00:32:53
f' de 0 00:32:59
lo habíamos hallado antes, ¿no? 00:33:00
Esto era menos 1, ¿verdad? 00:33:03
¿Sí o no? 00:33:05
Es menos 1. 00:33:06
¿Eso qué significa? 00:33:08
Que es menor que 0. 00:33:09
Si la primera derivada es menor que 0, 00:33:10
¿qué ocurre con f de x? 00:33:12
Que decrece, ¿vale? 00:33:13
Y aquí va el f de menos 2. 00:33:17
¿Cuánto vale f' de menos 2? 00:33:20
Chavales, esto de aquí da 1, ¿verdad? 00:33:23
esto da 1, esto da positivo 00:33:32
y esto da negativo también 00:33:36
¿no? ah no, sí 00:33:38
esto da negativo 00:33:40
también 00:33:44
porque esto nunca es 0 00:33:49
esto nunca es 0 00:34:00
y esto 00:34:02
tengo que ver 00:34:03
el signo de esto 00:34:06
¿Lo veis? 00:34:07
Yo tengo que ver el signo de la primera derivada. 00:34:09
Tengo que ver el signo de la primera derivada, ¿vale? 00:34:20
Entonces, ¿qué ocurre? 00:34:23
Que esto siempre es positivo, ¿verdad? 00:34:24
Esto de aquí, al ser el e elevado a menos x siempre es positivo, 00:34:27
pero al tener un menos siempre es negativo, ¿vale? 00:34:31
Siempre es negativo. 00:34:35
y luego esto de aquí 00:34:36
resulta que yo tengo que ver el signo 00:34:38
del x cuadrado más 2x más 1 00:34:41
¿vale? 00:34:43
y entonces en el 00:34:45
menos 2, daros cuenta que aquí 00:34:47
en 0 esto es positivo, esto es positivo 00:34:49
esto es negativo, pero en el menos 2 00:34:51
que ocurre, menos 2 al cuadrado 00:34:53
es 4 00:34:55
y 2 por menos 2 es 00:34:56
menos 4, se te va 00:34:59
y esto es un 1 00:35:02
con lo cual esto es positivo 00:35:05
y por ejemplo menos 10 00:35:07
esto es 100 00:35:09
esto es menos 20, esto es positivo 00:35:11
¿lo veis? esto es positivo 00:35:13
¿qué es lo que ocurre? 00:35:16
que 00:35:18
lo diré 00:35:18
esto es menos 1 al cuadrado 00:35:21
es 1 menos 1 al cuadrado 00:35:25
claro, esta función es que 00:35:27
es así, ¿vale? 00:35:29
siempre es positiva 00:35:33
esto es el, ah no, es menos 1 00:35:34
esto se desplaza a la derecha 00:35:37
si x cuadrado es así 00:35:38
x más 1 al cuadrado 00:35:41
es lo mismo pero desplazado 00:35:44
a la izquierda 00:35:46
¿lo veis? entonces esto siempre es positivo 00:35:47
¿lo veis chavales? 00:35:49
entonces si esto es siempre positivo 00:35:51
esto es positivo 00:35:53
y esto es negativo 00:35:56
pues también la función 00:35:57
pues decrece 00:35:58
¿vale chavales? 00:36:00
¿si o no? 00:36:04
entonces f de x 00:36:05
decrece en todo su dominio, en todo R. 00:36:07
No, lo que estamos viendo es el signo de toda la primera derivada. 00:36:17
Esto de aquí siempre es positivo. 00:36:21
El x cuadrado más 2x más 1 siempre es positivo. 00:36:25
Entonces, el e elevado a menos x menos e 00:36:28
es siempre negativo. 00:36:32
¿Vale? 00:36:35
¿Sí? 00:36:36
Venga, seguimos. 00:36:41
Sí, lo que pasa es que aquí no se meterán tanto. 00:36:43
Más que nada porque fíjate que deriva todo esto. 00:36:50
Lo pueden pedir, ¿eh? 00:36:53
Pero no creo que se metan en ese berenjena. 00:36:54
¿Vale? 00:36:57
Se ve tiempo. 00:36:58
Vamos a ver. 00:36:59
Este ejercicio de aquí. 00:37:00
Estudiamos la continuidad y también la recta tangente. 00:37:01
Esto, como lo voy a subir, hacedlo ustedes en casa, ¿vale? 00:37:06
¿Vale? 00:37:10
Repasamos la continuidad para que sea continua el límite por la izquierda y por la derecha en el 0. 00:37:11
Bueno, daros cuenta, dime. 00:37:16
¿En la de abajo qué pone? 00:37:18
¿Aquí? 00:37:20
No, no, en la función de atrás, en la de abajo. 00:37:20
x por e elevado a x más 2. 00:37:23
x por e elevado a x más 2, ¿vale? 00:37:26
Hacedlo ustedes, ¿vale? Para casa. 00:37:30
Como lo voy a subir, lo miráis luego, ¿vale? 00:37:32
Venga. 00:37:36
esta función igual 00:37:36
esta de aquí fue la de 00:37:39
EBAU del año 20 premio 00:37:41
o 24 creo que fue 00:37:43
que ese le tocó a tu hermana 00:37:45
ese le tocó a la constanza 00:37:46
y vinieron los chavales 00:37:49
super acojonados, super disgustados de la EBAU 00:37:51
¿vale? porque le tocó este ejercicio 00:37:54
y no es complicado 00:37:56
y no es complicado 00:37:57
fijaros que aquí es lo que ocurre, que en el momento que nosotros 00:37:58
veamos los pies nos acojonamos 00:38:01
pero la resta tan gente chavales 00:38:03
Que es, como siempre, y menos f de x sub 0 es igual a f' de x sub 0, x menos x sub 0. 00:38:06
Y aquí me dan que x es igual a pi, por lo tanto, x sub 0 que es pi. 00:38:14
¿Cuánto vale f de pi? f de x sub 0 es igual a f de pi. 00:38:19
Pues nada, yo tengo aquí pi a la cuarta más pi a la cuarta otra vez, ¿verdad? 00:38:25
más pi a la cuarta otra vez 00:38:31
pi a la cuarta 00:38:34
más pi a la cuarta 00:38:36
¿cuánto pi a la cuarta tengo? 00:38:38
pues 5 00:38:43
5 pi cuarto 00:38:44
¿lo veis chavales? 00:38:46
y ahora f' de x sub 0 00:38:48
¿cuánto vale? 00:38:51
es 4x al cubo 00:38:51
más 3pi x al cuadrado 00:38:54
más 2pi cuadrado x 00:38:57
más pi cubo 00:39:00
¿si o no? porque pi a la cuarta al final es un número, una constante 00:39:03
¿cuánto vale f' de pi? pues fijaros 00:39:08
4pi cubo más 3pi cubo 00:39:11
más 2pi cubo más pi cubo 00:39:15
¿cuánto pi cubo tengo? pues 4, 3, 7 00:39:20
8, 9, un 10 ¿y 10 qué es? ¿qué es 10? 00:39:24
la nota que vamos a sacar, esa es la actitud 00:39:28
Entonces, ¿cuánto vale f de x sub cero? 5pi cuartos. ¿Cuánto vale f' de x sub cero? 10pi cubo, x menos pi. Pues nada, y es igual a 10pi cubo x más 5pi cuartos menos 10pi cuartos, ¿verdad? 00:39:31
entonces y es igual a 10 pi cubo x menos 5 pi cuarto, te cagas, ya quieres aquí rematar, x menos 2x, 2x, 2x menos pi. 00:39:58
me he llevado el 5 pi cuarto 00:40:18
aquí sumando 00:40:29
10 pi cubo 00:40:29
por pi 00:40:33
menos 10, claro, esto lo distribuyo 00:40:34
vale chavales 00:40:37
es fácil 00:40:39
si, ¿no? 00:40:41
pero es que 00:40:46
los 20 pi os acojonáis 00:40:47
pero no tenéis por qué acojonaros 00:40:49
es un número 00:40:52
además precioso ese número 00:40:53
vale 00:40:54
y dice probar que f de x tiene al menos 00:40:58
un punto de derivada nula en el intervalo 00:41:01
está utilizando el teorema del rol 00:41:02
vale, entonces chavales 00:41:05
esto de aquí 00:41:07
lo que me interesa 00:41:08
oh you're in this perfect 00:41:11
oh yeah 00:41:15
¡Delicious! 00:41:18
¿Ya o no? 00:41:23
¿De acuerdo? 00:41:27
¡Bien! 00:41:29
¡Hugo, bechugo! 00:41:33
¿Ya está? 00:41:36
¡Venga! 00:41:37
Chavales, ¿qué me dice el teorema de rol 00:41:38
y el teorema de valor medio? 00:41:40
En el fondo, fijaros, 00:41:42
nosotros lo leemos, 00:41:44
nosotros lo leemos 00:41:46
Y muchas veces nos acojonamos, pero es de perogrullo, ¿vale? Entonces, hay ejercicios que en esto de rol y de valor medio, echadle un vistazo, porque es un ejercicio de los que son súper completos, de los que a mí, la verdad, yo lo veo súper útil. ¿Por qué? ¿Por qué? ¿Qué ocurre? 00:41:47
¿Cuáles son las hipótesis que tiene que cumplir una función para poder aplicar tanto el teorema de error como el teorema del valor medio? Pues que tiene que ser continua en el intervalo AB cerrado, pero luego tiene que ser derivable en el intervalo AB, pero abierto, ¿vale? 00:42:06
se hacen los intervalos abiertos 00:42:25
porque muchas veces, sobre todo 00:42:27
las funciones que tienen raíz 00:42:28
y demás 00:42:31
si no tiene el 00:42:31
límite, no tiene la derivada 00:42:35
cuando 00:42:37
estamos haciendo el argumento 00:42:38
de una raíz igual a cero 00:42:41
pues que ocurre, que existe 00:42:42
para la derecha digamos o para la izquierda 00:42:44
pero no existe la función 00:42:47
para el otro lado, entonces lo que se hace 00:42:48
es la derivabilidad 00:42:51
en los intervalos siempre 00:42:52
abierto, ¿de acuerdo? Entonces es muy importante saber que la función es continua en a, b y 00:42:54
derivable en a, b. Si eso no sabemos que es continua, entonces no podemos aplicar el teorema 00:43:00
de error. Y el teorema de error, que es lo que me dice y es muy fácil, es si es continua en a, b y 00:43:06
es derivable en a, b abierto, entonces existe un punto de ese intervalo donde la primera derivada 00:43:12
es 0. Siempre y cuando 00:43:19
los valores de la función 00:43:21
en A y en B sea 00:43:23
lo mismo. ¿Qué quiere decir esto 00:43:25
gráficamente, chavales? 00:43:27
Si yo tengo, fijaros, 00:43:29
yo tengo aquí 00:43:31
el A y el punto B. 00:43:33
¿Vale? Entonces, mi función 00:43:38
en f de A 00:43:39
y en f de B vale lo mismo. 00:43:41
¿Lo veis? Esto es 00:43:43
tanto f de A 00:43:45
como f de B. Vale lo mismo. 00:43:46
Entonces, si mi función es continua y mi función es derivable, para yo ir de f de a a f de b, yo tengo que hacer una cosa así, ¿verdad? 00:43:49
O a lo mejor puedo hacer una cosita así, ¿vale? Y también puede ser recta, y también puede ser recta. 00:43:59
¿Qué es lo que quiere decir el teorema de Rolle? Que al menos existe un punto, al menos uno, donde la primera derivada tiene que ser cero. 00:44:08
Es decir, hay un máximo o un mínimo. 00:44:17
¿Lo veis? 00:44:20
Al ser continua y derivable, para que f de a y f de b valgan igual, 00:44:21
es que mi función o ha tenido un máximo o ha tenido un mínimo, 00:44:26
va aquí oscilando y tiene varios máximos y varios mínimos. 00:44:30
Pero me garantiza que al menos tenga uno. 00:44:33
¿Lo veis? 00:44:36
Y si es una recta igual, date cuenta que si es una recta, 00:44:37
¿cuánto vale la pendiente en cualquier punto de ahí? 00:44:40
Cero. 00:44:43
No hay máximo y mínimo, pero su pendiente es cero. 00:44:43
¿vale? lo que me dice es que la primera derivada 00:44:47
es 0, al menos existe 00:44:50
un punto que claro, si es una 00:44:51
resta, pues resulta que hay 00:44:53
infinitos puntos ¿no? infinitos puntos 00:44:55
cuya derivada 00:44:58
es una tangente horizontal 00:45:00
¿vale? ¿y qué es lo que me dice el 00:45:01
tema del valor medio? el tema del valor medio 00:45:03
lo que me dice es 00:45:05
si yo tengo aquí mi a b 00:45:07
aunque no está la b ahora 00:45:09
para 00:45:11
muchas cositas, es que si yo tengo 00:45:11
f de a ¿vale chavales? 00:45:15
Y aquí tengo F de B, ¿de acuerdo? 00:45:17
Si yo uno esto de aquí, eso de ahí, ¿qué era realmente, chavales? 00:45:20
¿Esto qué era? ¿Qué lo vimos? 00:45:27
Si yo tengo esto que es B menos A y esto F de B menos F de A, 00:45:29
¿qué era esto de aquí? 00:45:35
Aparte, ¿qué era cuando yo avanzo y subo? 00:45:39
La pendiente. 00:45:42
Lo que me dice es que si mi función es tal que así como es continua y demás, pues igual, que exista al menos un punto aquí, c, donde mi pendiente es igual a la pendiente del segmento. 00:45:44
¿Lo veis? Eso es lo que me dice el teorema del valor medio. Realmente el teorema del valor medio lo que me dice es esto de aquí. 00:46:06
Al menos existe un punto C donde F de B menos F de A era, os acordáis, ¿no? 00:46:14
Esto es F de B menos F de A, ¿sí o no? 00:46:21
Es partido de B menos A, esto al final, ¿qué era, chavales? 00:46:26
Esta pendiente, ¿lo veis? 00:46:31
¿Sí o no? 00:46:33
¿Y qué es lo que ocurre el teorema de Rolle? 00:46:34
¿Qué es lo que me dice? 00:46:36
Además de que sea continua y que sea derivable, 00:46:37
rol, lo que me dice 00:46:40
es que f de a 00:46:42
tiene que ser igual a f de b 00:46:44
si yo sustituyo 00:46:46
esto aquí, resulta 00:46:48
que es lo que tengo, si f de b 00:46:51
es igual a f de a, ¿cuánto vale 00:46:53
el numerador? 0, pues 00:46:54
lo que me dice rol es que 00:46:56
existe un f' de c 00:46:58
donde sea 0 00:47:00
¿lo veis? 00:47:02
entonces aprenderos el del valor medio 00:47:04
y el de rol lo único es 00:47:06
cuando f de a es igual a f de b. 00:47:08
Es la única. 00:47:11
¿Vale? 00:47:13
Entonces, ¿qué quiere decir Rol? 00:47:14
Que existe al menos un punto en ese intervalo 00:47:15
que puede existir infinito, 00:47:19
puede existir 8, 9 o lo que sea. 00:47:20
¿De acuerdo? 00:47:23
Entonces, chavales, 00:47:24
este ejercicio de aquí, 00:47:26
que está resuelto en lo que he subido, 00:47:27
este ejercicio es muy potente. 00:47:30
Muy potente. 00:47:33
Porque, claro, me dice, 00:47:34
yo tengo que calcular A y B 00:47:36
para que esta función de aquí 00:47:39
que está definida 00:47:40
a trozos, cumplan las hipótesis 00:47:43
del teorema del valor medio en el intervalo 2-6. 00:47:44
¿Cuáles son 00:47:47
las hipótesis? Son tres. 00:47:48
Son dos, perdona. 00:47:51
Que sea continua y que sea 00:47:52
derivable. Entonces, ¿eso a mí qué me implica? 00:47:55
Tengo que estudiar la continuidad 00:47:57
y además forzar 00:47:59
que sea continua. Para eso 00:48:01
es hallar el A y el B. 00:48:02
y luego tengo que hallar la derivabilidad en ese punto, ¿vale? 00:48:04
Y entonces, ¿qué ocurre? 00:48:09
Ahí voy a tener otra ecuación donde voy a relacionarla A y B. 00:48:10
Voy a tener dos ecuaciones con dos incógnitas A y B 00:48:14
y entonces yo voy a estudiar A y B para que sea continua y derivable. 00:48:17
Entonces, para esos valores ya por lo menos tiene las dos hipótesis 00:48:21
del teorema del valor medio, ¿de acuerdo? 00:48:26
Y luego, ¿dónde se cumple la tesis? 00:48:29
Pues nada, hago la formulita 00:48:32
f de b menos f de a partido de b menos a 00:48:34
donde a y b son 2, 6 00:48:37
no confundáis con eso 00:48:39
son f de 2, f de 6 00:48:41
con ya los valores de a y b hallados 00:48:45
los restos los divido entre 4 00:48:48
6 menos 2 es 4 00:48:51
y eso lo igualo a la primera derivada 00:48:53
y voy a obtener los puntos 00:48:56
donde se cumple la hipótesis del Teorema del Valor Médico. 00:49:00
No es complicado y está resuelto. 00:49:06
Echadle un vistazo para mañana, ¿vale? 00:49:08
Valoración:
  • 1
  • 2
  • 3
  • 4
  • 5
Eres el primero. Inicia sesión para valorar el vídeo.
Idioma/s:
es
Idioma/s subtítulos:
es
Materias:
Matemáticas
Niveles educativos:
▼ Mostrar / ocultar niveles
  • Bachillerato
    • Segundo Curso
Autor/es:
Roberto Aznar
Subido por:
Roberto A.
Licencia:
Reconocimiento - No comercial - Compartir igual
Visualizaciones:
9
Fecha:
10 de febrero de 2026 - 13:04
Visibilidad:
Público
Centro:
IES JIMENA MENÉNDEZ PIDAL
Duración:
49′ 14″
Relación de aspecto:
1.97:1
Resolución:
1024x520 píxeles
Tamaño:
83.57 MBytes

Del mismo autor…

Ver más del mismo autor

Comentarios

Para publicar comentarios debes entrar con tu nombre de usuario de EducaMadrid.

Comentarios

Este vídeo todavía no tiene comentarios. Sé el primero en comentar.



EducaMadrid, Plataforma Educativa de la Comunidad de Madrid

Plataforma Educativa EducaMadrid