Saltar navegación

Activa JavaScript para disfrutar de los vídeos de la Mediateca.

Resolución sistema ecuaciones método reducción - Contenido educativo

Ajuste de pantalla

El ajuste de pantalla se aprecia al ver el vídeo en pantalla completa. Elige la presentación que más te guste:

Subido el 4 de septiembre de 2024 por Manuel A.

20 visualizaciones

En este vídeo veremos un ejemplo de resolución de sistemas de ecuaciones por el método de reducción.

Descargar la transcripción

Bien, en este vídeo vamos a ver el método de resolución de sistemas de reducción. 00:00:02
Como su nombre indica, lo que intentamos es reducir el número de incógnitas. 00:00:07
Yo aquí tengo dos incógnitas. 00:00:11
Todos los métodos se basan en lo siguiente. 00:00:15
Yo tengo un sistema que va a tener dos incógnitas, que van a ser x e y. 00:00:18
Le voy a aplicar un método. 00:00:28
Vamos a ver tres. 00:00:31
Reducción, igualación, sustitución. 00:00:32
y voy a convertirlo en una ecuación con una incógnita, que ya puedo resolver porque lo que tengo que hacer es despejar. 00:00:34
Una vez que haya calculado aquí la x o la y, lo que haré con ellas es volver a este paso y sacar la ecuación que me falta, 00:00:45
porque ya vuelvo con información, aquí ya regreso sabiendo, me he vuelto más sabio, una incógnita. 00:00:52
En este proceso he descubierto una incógnita y regreso a la pregunta inicial y ya puedo resolver el sistema. 00:01:03
A veces volveremos al método porque ya lo tengo despejado, pero este es el esquema general. 00:01:10
Entonces, el método de reducción consiste en reducir, como digo, las incógnitas. 00:01:14
¿Qué es lo que vamos a hacer? Dos cosas que están permitidas. 00:01:19
La primera, multiplicar o dividir y repito. 00:01:21
Y repito, cuando yo hablo de dividir es multiplicar por una fracción una ecuación, o bueno, las ecuaciones, puede ser una o las dos. 00:01:27
Las ecuaciones por un número. 00:01:36
Y segundo, sumar las ecuaciones. 00:01:40
Hay muchas formas, se pueden restar, tal, yo doy un método que creo que es el que menos os puede equivocar. 00:01:43
Entonces, lo primero que vamos a hacer es elegir qué incógnita quiero eliminar. 00:01:48
En mi caso, viendo esto, aquí nos da un poco igual, pero bueno, voy a eliminar la x. 00:01:53
¿Vale? Es decir, yo quiero la x 00:02:00
Lo que yo estoy diciendo es, capturo de aquí la x 00:02:03
Mi vista ya se fija solo en eso 00:02:05
Y lo que quiero es que al sumar esto, aquí me aparezca un 0 00:02:09
Eso es lo que yo busco, ¿vale? 00:02:14
Y para eso, obviamente lo que necesito aquí es un menos 3 00:02:17
Más 3 menos 3 es 0, este es el que manda 00:02:20
¿Qué me está diciendo esto? 00:02:24
Que voy a multiplicar esta ecuación entera por menos 3 00:02:25
Porque yo no puedo llegar a hacer esto 00:02:28
Eso está mal, he cambiado la ecuación, pero hemos visto en el vídeo anterior que si yo lo hago con toda la ecuación, no cambia la ecuación. 00:02:29
Por tanto, lo que yo haría sería 3x menos y igual a 3 y la de abajo, toda ella multiplicada por menos 3. 00:02:37
¿Por qué el menos 3? Porque hemos visto aquí que necesito un menos 3 para que la suma me dé 0. 00:02:47
y esto está bien, sí, porque estoy multiplicando 00:02:51
operación permitida, ¿a quién? a toda la ecuación 00:02:56
es decir, si yo opero esto me queda 3x menos y es igual a 3 00:03:00
menos 3x menos 6y 00:03:05
igual a menos 24, que es lo siguiente que voy a hacer 00:03:08
lo que me pone en el segundo, sumar las ecuaciones 00:03:12
si yo esto lo sumo, 0, voy a utilizar el color negro 00:03:14
para que sea de una incógnita, 0 menos 7i igual a menos 21, ¿vale? ¿Qué he conseguido? 00:03:20
Fijaos en el esquema que había hecho, aplico el método y consigo una ecuación con una incógnita, aquí está, ¿vale? 00:03:29
Si en esta ecuación yo divido por menos 7, lo voy a hacer en uno nuevo, tengo menos 7i igual a menos 21, 00:03:36
Si yo aquí, para quitar el menos 7, divido por menos 7 en ambos lados, lo que me queda es que y es igual a menos 21 entre menos 7, menos entre menos más y 3. 00:03:45
Y ya habría calculado que la y es 3. 00:03:57
¿Qué pasa ahora? Necesito calcular la x. 00:04:00
Si la descuenta del esquema era una vez que sé cuánto vale una de ellas, vuelvo otra vez al principio. 00:04:04
¿Qué es lo que voy a hacer? En este caso, lo que voy a hacer es coger una de las ecuaciones. 00:04:10
Por ejemplo, pues la primera 00:04:13
Por coger la primera 00:04:16
3X, vuelvo al principio 00:04:18
Menos Y igual a 3 00:04:20
Pero ahora ya soy más sabio 00:04:22
Ya sé que la Y es un 3 00:04:24
Ya no desconozco dos cosas 00:04:25
Esto ya lo puedo poner aquí 00:04:27
Esto me está diciendo que en todos los sitios que aparezca una Y 00:04:29
Yo puedo poner un 3 00:04:32
Con lo cual, lo voy a escribir aquí 00:04:33
Y lo voy a hacer con la pizarra que me permite hacerlo 00:04:36
Lo que me está diciendo es 00:04:38
Quita esto 00:04:39
Y en su lugar ponme un 3 00:04:40
Que es esto de aquí, ¿vale? Y ahora ya es una ecuación con una incógnita, despejo, ¿cómo despejo? Pues ya sabéis, más 3, más 3, este se me va y me queda 3x igual a 6, divido por 3, por tanto x es igual a 2. 00:04:43
Ya tengo la solución. Mi solución es que estas dos rectas se cortan en el punto 2, 3. 00:05:01
Vamos un momento a la gráfica. Creo que las tengo hechas a GeoGebra. 00:05:13
Fijaos. Quito las anteriores. 00:05:17
Eran este 2. Daos cuenta de una cosa. Un momentito, que vuelvo con esto. 00:05:20
Daos cuenta de lo siguiente. 00:05:24
Este punto de aquí, esto de aquí es la y y esto de aquí es la x, ya lo veremos 00:05:25
Pues fijaos, me dice que está en el x 2 y en el y 3 00:05:32
Que son justo las dos soluciones que yo he obtenido 00:05:41
Perdón, esto es 3 00:05:49
Son las dos soluciones que yo he obtenido 00:05:51
X igual a 2, igual a 3, ¿veis? 00:05:53
Hemos calculado al resolver el sistema 00:05:56
El punto de corte de los dos 00:05:58
Que es lo que estábamos diciendo 00:06:00
¿Qué hago? Calcular el punto de corte 00:06:01
¿De acuerdo? 00:06:04
Esa es la forma 00:06:06
Ahora, cosas que tenemos que tener en cuenta 00:06:07
Cuando resuelvo un 00:06:10
Un método de reducción 00:06:11
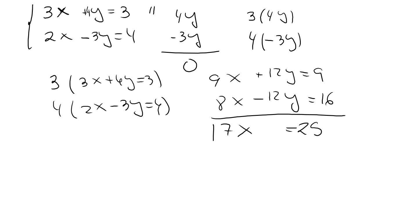
Pues imaginaos, bueno, invento 00:06:14
Aquí un 4 igual a 3 00:06:16
Y 2X menos 00:06:20
3Y igual a 4 00:06:22
¿Vale? Este se llama el inventado. Y entonces, ¿qué sucede aquí? Fijaos. Aquí quiero hacer 0. Puedo hacerlo con la x o con la y. Me da igual. Lo que sí me doy cuenta es que si yo quiero hacer que esto valga 0, primero tengo que cambiarle ese signo. 00:06:25
Y lo segundo es que no hay ningún número que multiplicado por 3 me dé 2, ningún número que multiplicado por 2 me dé 3. Es decir, son primos entre sí. Se llaman coprimos. No tienen divisores comunes. 00:06:38
No son múltiplos uno del otro 00:06:47
Por tanto, ¿qué es lo que vamos a hacer en estos casos? 00:06:50
Siempre, siempre, siempre el truco está en multiplicar arriba por el de abajo y abajo por el de arriba 00:06:52
Y además si los signos son iguales, uno de ellos, el que me dé la gana, lo cambio de signo 00:06:58
Por ejemplo este, me da igual este que el de abajo 00:07:03
Es decir, me quedaría menos 6x, 6x y esto es 0 00:07:05
Eso sí, estos dos números multiplican a todos 00:07:09
Quiero decir, aquí lo que estaríamos haciendo sería esto 00:07:12
multiplicaría el de arriba entero por el menos 2 00:07:17
y el de abajo por el 3, sumo 00:07:29
0 ya se me ha ido, perfecto, menos 17i 00:07:34
igual a 6, como lo he inventado, bueno, pues no sale exacto, pero tampoco pasaría nada 00:07:38
lo que sí me interesa es que veáis como cuando no se puede, porque uno no es múltiplo del otro 00:07:42
no es como el caso anterior, que yo aquí tenía, multiplicando aquí por 3 ya lo tenía 00:07:47
en este caso no, pero simplemente el multiplico arriba por el de abajo 00:07:51
y abajo por el de arriba. Si quisieras hacer con la Y sería exactamente igual. Es decir, 00:07:56
multiplicaría arriba por 3. Fijaos, si yo quiero, imaginaos que ahora lo quiero hacer 00:07:59
con la Y. Me lo voy a llevar a otra hoja. Y yo digo, en lugar de quitar la X, lo que 00:08:04
quiero quitar es la Y. Pues en este caso, lo que yo haría sería lo siguiente. Serían 00:08:08
4Y menos 3Y. Primero hago esta aproximación. Esto entre comillas, no estoy haciendo nada. 00:08:14
Quiero que esto me dé 0. Así no me da. No puedo multiplicar 4 por ningún número que 00:08:20
me dé menos 3, ni 3 por ningún número que me dé 4. Pues ¿qué es lo que hago? Arriba 00:08:24
multiplico por 3 y abajo multiplico por 4. Fijaos que ahora, al tener ellos ya distintos 00:08:28
signos, aquí no pongo ningún signo. No es como antes, que aquí he puesto el menos, 00:08:34
¿vale? Porque los dos tienen el mismo signo. Aquí no. Aquí los dos tienen diferentes 00:08:39
signos, pues ya está. Es decir, la primera ecuación la voy a multiplicar por 3 y la 00:08:42
segunda ecuación la voy a multiplicar por 4. Ahora recordad que estoy quitándola ahí. 00:08:49
Vamos a ver si se va. 9x más 12y igual a 9. 8x menos 12y igual a 16. He multiplicado el 3 por todos y el 4 por todos. Esto me queda 17x y esto me queda 0 que es igual a 25. 00:08:53
bueno, pues aquí ya despejaremos, pero veis que se ha ido 00:09:11
¿de acuerdo? entonces lo único que hay que tener en cuenta 00:09:13
con reducción es eso, es 00:09:15
multiplico, divido y si no son múltiplos 00:09:16
lo que hago es 00:09:19
multiplicar el de arriba por el de abajo 00:09:20
y el de abajo por el de arriba y cambiando el signo 00:09:23
poniendo el menos a 1 si es que tiene el mismo signo 00:09:25
Idioma/s:
es
Idioma/s subtítulos:
es
Autor/es:
Manuel Avalos
Subido por:
Manuel A.
Licencia:
Reconocimiento - No comercial - Compartir igual
Visualizaciones:
20
Fecha:
4 de septiembre de 2024 - 20:53
Visibilidad:
Público
Centro:
Sin centro asignado
Duración:
09′ 31″
Relación de aspecto:
1.96:1
Resolución:
1364x696 píxeles
Tamaño:
19.56 MBytes

Del mismo autor…

Ver más del mismo autor


EducaMadrid, Plataforma Educativa de la Comunidad de Madrid

Plataforma Educativa EducaMadrid