Manuel A. vídeos
15 resultados (página 1 de 1)
Creación y modificación de recursos
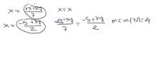
Resolución sistema ecuaciones método igualación
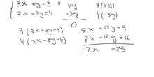
Resolución sistema ecuaciones método reducción
¿Qué es un sistema de ecuaciones?
Método de sustitución
Método de reducción para resolver sistemas
Evidencia fundamental B1.
Evidencia fundamental. Gestión aprendizaje y evaluación.
Salón de la Famática
Ejercicios 3
Ejercicios 2
Introducción
Introducción
Ecuación. Igualdad
Ejercicios 1
15 resultados (página 1 de 1)