Saltar navegación

Activa JavaScript para disfrutar de los vídeos de la Mediateca.

Método de reducción para resolver sistemas - Contenido educativo

Ajuste de pantalla

El ajuste de pantalla se aprecia al ver el vídeo en pantalla completa. Elige la presentación que más te guste:

Subido el 4 de septiembre de 2024 por Manuel A.

8 visualizaciones

En este vídeo veremos el método de reducción para resolver sistemas de ecuaciones.

Descargar la transcripción

Bien, en este vídeo vamos a ver el método de resolución de sistemas de reducción. 00:00:02
Como su nombre indica, lo que intentamos es reducir el número de incógnitas. 00:00:07
Yo aquí tengo dos incógnitas. 00:00:11
Todos los métodos se basan en lo siguiente. 00:00:15
Yo tengo un sistema que va a tener dos incógnitas, que van a ser x e y. 00:00:18
Le voy a aplicar un método. 00:00:28
Vamos a ver tres. 00:00:31
Reducción, igualación, sustitución. 00:00:32
y voy a convertirlo en una ecuación con una incógnita, que ya puedo resolver porque lo que tengo que hacer es despejar. 00:00:34
Una vez que haya calculado aquí la x o la y, lo que haré con ellas es volver a este paso y sacar la ecuación que me falta, 00:00:45
porque ya vuelvo con información, aquí ya regreso sabiendo, me he vuelto más sabio, una incógnita. 00:00:52
En este proceso he descubierto una incógnita y regreso a la pregunta inicial y ya puedo resolver el sistema. 00:01:03
A veces volveremos al método porque ya lo tengo despejado, pero este es el esquema general. 00:01:10
Entonces, el método de reducción consiste en reducir, como digo, las incógnitas. 00:01:14
¿Qué es lo que vamos a hacer? Dos cosas que están permitidas. 00:01:19
La primera, multiplicar o dividir y repito. 00:01:21
Y repito, cuando yo hablo de dividir es multiplicar por una fracción una ecuación, o bueno, las ecuaciones, puede ser una o las dos. 00:01:27
Las ecuaciones por un número. 00:01:36
Y segundo, sumar las ecuaciones. 00:01:40
Hay muchas formas, se pueden restar, tal, yo doy un método que creo que es el que menos os puede equivocar. 00:01:43
Entonces, lo primero que vamos a hacer es elegir qué incógnita quiero eliminar. 00:01:48
En mi caso, viendo esto, aquí nos da un poco igual, pero bueno, voy a eliminar la x. 00:01:53
¿Vale? Es decir, yo quiero la x 00:02:00
Lo que yo estoy diciendo es, capturo de aquí la x 00:02:03
Mi vista ya se fija solo en eso 00:02:05
Y lo que quiero es que al sumar esto, aquí me aparezca un 0 00:02:09
Eso es lo que yo busco, ¿vale? 00:02:14
Y para eso, obviamente lo que necesito aquí es un menos 3 00:02:17
Más 3 menos 3 es 0, este es el que manda 00:02:20
¿Qué me está diciendo esto? 00:02:24
Que voy a multiplicar esta ecuación entera por menos 3 00:02:25
Porque yo no puedo llegar a hacer esto 00:02:28
Eso está mal, he cambiado la ecuación, pero hemos visto en el vídeo anterior que si yo lo hago con toda la ecuación, no cambia la ecuación. 00:02:29
Por tanto, lo que yo haría sería 3x menos y igual a 3 y la de abajo, toda ella multiplicada por menos 3. 00:02:37
¿Por qué el menos 3? Porque hemos visto aquí que necesito un menos 3 para que la suma me dé 0. 00:02:47
y esto está bien, sí, porque estoy multiplicando 00:02:51
operación permitida, ¿a quién? a toda la ecuación 00:02:56
es decir, si yo opero esto me queda 3x menos y es igual a 3 00:03:00
menos 3x menos 6y 00:03:05
igual a menos 24, que es lo siguiente que voy a hacer 00:03:08
lo que me pone en el segundo, sumar las ecuaciones 00:03:12
si yo esto lo sumo, 0, voy a utilizar el color negro 00:03:14
para que sea de una incógnita, 0 menos 7i igual a menos 21, ¿vale? ¿Qué he conseguido? 00:03:20
Fijaos en el esquema que había hecho, aplico el método y consigo una ecuación con una incógnita, aquí está, ¿vale? 00:03:29
Si en esta ecuación yo divido por menos 7, lo voy a hacer en uno nuevo, tengo menos 7i igual a menos 21, 00:03:36
Si yo aquí, para quitar el menos 7, divido por menos 7 en ambos lados, lo que me queda es que y es igual a menos 21 entre menos 7, menos entre menos más y 3. 00:03:45
Y ya habría calculado que la y es 3. 00:03:57
¿Qué pasa ahora? Necesito calcular la x. 00:04:00
Si la descuenta del esquema era una vez que sé cuánto vale una de ellas, vuelvo otra vez al principio. 00:04:04
¿Qué es lo que voy a hacer? En este caso, lo que voy a hacer es coger una de las ecuaciones. 00:04:10
Por ejemplo, pues la primera 00:04:13
Por coger la primera 00:04:16
3X, vuelvo al principio 00:04:18
Menos Y igual a 3 00:04:20
Pero ahora ya soy más sabio 00:04:22
Ya sé que la Y es un 3 00:04:24
Ya no desconozco dos cosas 00:04:25
Esto ya lo puedo poner aquí 00:04:27
Esto me está diciendo que en todos los sitios que aparezca una Y 00:04:29
Yo puedo poner un 3 00:04:32
Con lo cual, lo voy a escribir aquí 00:04:33
Y lo voy a hacer con la pizarra que me permite hacerlo 00:04:36
Lo que me está diciendo es 00:04:38
Quita esto 00:04:39
Y en su lugar ponme un 3 00:04:40
Que es esto de aquí, ¿vale? Y ahora ya es una ecuación con una incógnita, despejo, ¿cómo despejo? Pues ya sabéis, más 3, más 3, este se me va y me queda 3x igual a 6, divido por 3, por tanto x es igual a 2. 00:04:43
Ya tengo la solución. Mi solución es que estas dos rectas se cortan en el punto 2, 3. 00:05:01
Vamos un momento a la gráfica. Creo que las tengo hechas a GeoGebra. 00:05:13
Fijaos. Quito las anteriores. 00:05:17
Eran este 2. Daos cuenta de una cosa. Un momentito, que vuelvo con esto. 00:05:20
Daos cuenta de lo siguiente. 00:05:24
Este punto de aquí, esto de aquí es la y y esto de aquí es la x, ya lo veremos 00:05:25
Pues fijaos, me dice que está en el x 2 y en el y 3 00:05:32
Que son justo las dos soluciones que yo he obtenido 00:05:41
Perdón, esto es 3 00:05:49
Son las dos soluciones que yo he obtenido 00:05:51
X igual a 2, igual a 3, ¿veis? 00:05:53
Hemos calculado al resolver el sistema 00:05:56
El punto de corte de los dos 00:05:58
Que es lo que estábamos diciendo 00:06:00
¿Qué hago? Calcular el punto de corte 00:06:01
¿De acuerdo? 00:06:04
Esa es la forma 00:06:06
Ahora, cosas que tenemos que tener en cuenta 00:06:07
Cuando resuelvo un 00:06:10
Un método de reducción 00:06:11
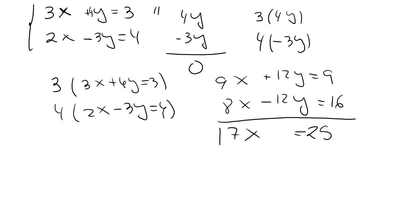
Pues imaginaos, bueno, invento 00:06:14
Aquí un 4 igual a 3 00:06:16
Y 2X menos 00:06:20
3Y igual a 4 00:06:22
¿Vale? Este se llama el inventado. Y entonces, ¿qué sucede aquí? Fijaos. Aquí quiero hacer 0. Puedo hacerlo con la x o con la y. Me da igual. Lo que sí me doy cuenta es que si yo quiero hacer que esto valga 0, primero tengo que cambiarle ese signo. 00:06:25
Y lo segundo es que no hay ningún número que multiplicado por 3 me dé 2, ningún número que multiplicado por 2 me dé 3. Es decir, son primos entre sí. Se llaman coprimos. No tienen divisores comunes. 00:06:38
No son múltiplos uno del otro 00:06:47
Por tanto, ¿qué es lo que vamos a hacer en estos casos? 00:06:50
Siempre, siempre, siempre el truco está en multiplicar arriba por el de abajo y abajo por el de arriba 00:06:52
Y además si los signos son iguales, uno de ellos, el que me dé la gana, lo cambio de signo 00:06:58
Por ejemplo este, me da igual este que el de abajo 00:07:03
Es decir, me quedaría menos 6x, 6x y esto es 0 00:07:05
Eso sí, estos dos números multiplican a todos 00:07:09
Quiero decir, aquí lo que estaríamos haciendo sería esto 00:07:12
multiplicaría el de arriba entero por el menos 2 00:07:17
y el de abajo por el 3, sumo 00:07:29
0 ya se me ha ido, perfecto, menos 17i 00:07:34
igual a 6, como lo he inventado, bueno, pues no sale exacto, pero tampoco pasaría nada 00:07:38
lo que sí me interesa es que veáis como cuando no se puede, porque uno no es múltiplo del otro 00:07:42
no es como el caso anterior, que yo aquí tenía, multiplicando aquí por 3 ya lo tenía 00:07:47
en este caso no, pero simplemente el multiplico arriba por el de abajo 00:07:51
y abajo por el de arriba. Si quisieras hacer con la Y sería exactamente igual. Es decir, 00:07:56
multiplicaría arriba por 3. Fijaos, si yo quiero, imaginaos que ahora lo quiero hacer 00:07:59
con la Y. Me lo voy a llevar a otra hoja. Y yo digo, en lugar de quitar la X, lo que 00:08:04
quiero quitar es la Y. Pues en este caso, lo que yo haría sería lo siguiente. Serían 00:08:08
4Y menos 3Y. Primero hago esta aproximación. Esto entre comillas, no estoy haciendo nada. 00:08:14
Quiero que esto me dé 0. Así no me da. No puedo multiplicar 4 por ningún número que 00:08:20
me dé menos 3, ni 3 por ningún número que me dé 4. Pues ¿qué es lo que hago? Arriba 00:08:24
multiplico por 3 y abajo multiplico por 4. Fijaos que ahora, al tener ellos ya distintos 00:08:28
signos, aquí no pongo ningún signo. No es como antes, que aquí he puesto el menos, 00:08:34
¿vale? Porque los dos tienen el mismo signo. Aquí no. Aquí los dos tienen diferentes 00:08:39
signos, pues ya está. Es decir, la primera ecuación la voy a multiplicar por 3 y la 00:08:42
segunda ecuación la voy a multiplicar por 4. Ahora recordad que estoy quitándola ahí. 00:08:49
Vamos a ver si se va. 9x más 12y igual a 9. 8x menos 12y igual a 16. He multiplicado el 3 por todos y el 4 por todos. Esto me queda 17x y esto me queda 0 que es igual a 25. 00:08:53
bueno, pues aquí ya despejaremos, pero veis que se ha ido 00:09:11
¿de acuerdo? entonces lo único que hay que tener en cuenta 00:09:13
con reducción es eso, es 00:09:15
multiplico, divido y si no son múltiplos 00:09:16
lo que hago es 00:09:19
multiplicar el de arriba por el de abajo 00:09:20
y el de abajo por el de arriba y cambiando el signo 00:09:23
poniendo el menos a 1 si es que tiene el mismo signo 00:09:25
Idioma/s:
es
Idioma/s subtítulos:
es
Autor/es:
Manuel Avalos
Subido por:
Manuel A.
Licencia:
Reconocimiento - No comercial - Compartir igual
Visualizaciones:
8
Fecha:
4 de septiembre de 2024 - 18:04
Visibilidad:
Público
Centro:
Sin centro asignado
Descripción ampliada:
En este vídeo se muestra con un ejemplo como aplicar el método de redudcción.
Duración:
09′ 31″
Relación de aspecto:
1.96:1
Resolución:
1364x696 píxeles
Tamaño:
19.56 MBytes

Del mismo autor…

Ver más del mismo autor


EducaMadrid, Plataforma Educativa de la Comunidad de Madrid

Plataforma Educativa EducaMadrid