Saltar navegación

Activa JavaScript para disfrutar de los vídeos de la Mediateca.

Método de sustitución - Contenido educativo

Ajuste de pantalla

El ajuste de pantalla se aprecia al ver el vídeo en pantalla completa. Elige la presentación que más te guste:

Subido el 4 de septiembre de 2024 por Manuel A.

6 visualizaciones

En este vídeo veremos cómo aplicar el método de sustitución.

Descargar la transcripción

En este vídeo vamos a ver el método de resolución de sistemas por sustitución. 00:00:01
La sustitución lo que hace es, primero, despejar una incógnita de una ecuación, de una de las ecuaciones, la que queráis, 00:00:06
y dos, sustituir, y esto es importante, en la otra, otra ecuación. No vale en la misma. 00:00:25
Entonces, ¿para despejar qué es lo que vamos a hacer? Bueno, para despejar el primer punto, 00:00:36
lo que vamos a intentar buscar son incógnitas cuyo coeficiente sea un 1 00:00:40
o un menos 1 en el peor de los casos, en este caso es un 1 00:00:44
si no, ya veremos luego un ejemplo en el que no lo son 00:00:47
si así ya está, tampoco pasa nada, pero vamos a intentar eso 00:00:49
entonces, despejo 00:00:52
de aquí, voy a despejar la x 00:00:54
por tanto le voy a quitar la parte de ahí que tiene a la izquierda 00:00:59
lo quito 00:01:02
y lo que me queda es que mi x es igual a 8 menos 2 00:01:04
¿Qué quiere decir eso? Y esto lo voy a utilizar luego otra vez, ¿eh? Lo dejo aquí remarcado. ¿Qué quiere decir eso? Que todos los sitios aquí donde esté una x yo puedo poner esto. 00:01:11
Como he despejado de la ecuación 2, lo que voy a hacer es sustituir en la ecuación 1, es decir, 3 por x. Y pongo un paréntesis. ¿Por qué? Porque el 3 multiplica toda la x y toda la x es esto de aquí, ¿vale? Esos dos números. 00:01:19
Es importante poner el paréntesis, si no la orden que le estáis dando al 3 es que multiplique solo al 8 00:01:33
Si de aquí no pongo esto 00:01:38
Voy a retocar este menos, que está un poco mal 00:01:39
Si de aquí no pongo eso, la orden que le estáis dando es 3 multiplica al 8 00:01:43
No, yo quiero que el 3 multiplique al 8 y al 2i 00:01:47
Y aquí ya, fijaos, es lo que he dicho antes, pasamos de dos incógnitas a una sola 00:01:50
Entonces aquí tenemos 24 menos 6i menos i igual a 3 00:01:56
Antes de nada, lo que vamos a hacer es intentar operar 00:02:02
Es decir, voy a juntar lo que pueda 00:02:09
Puedo juntar las i, es entre sí 00:02:12
Puedo poner 24 menos 7i 00:02:13
Menos 6i menos i menos 7i igual a 3 00:02:16
¿Vale? Y ahora ya despejamos 00:02:19
¿Qué me sobra aquí? Yo quiero que este 24 no esté ahí a la izquierda 00:02:21
Bueno, pues lo que vamos a hacer es lo siguiente 00:02:24
Es decir, 24, le quito 24i 00:02:26
Lo pongo en rojo 00:02:31
Y como le he quitado a la izquierda, lo quito a la derecha también 00:02:33
Esto se me va 00:02:37
Y lo que me queda es que menos 7y es igual a 3 menos 24 menos 21 00:02:39
¿Qué pasa ahora? Tengo despejada la y, perdón, es esto de aquí 00:02:46
Quiero quitarle este, por tanto divido todo por menos 7 00:02:50
Y entonces me queda menos 7y entre menos 7 igual a menos 21 entre menos 7 00:02:53
esto se me va y aquí me queda 00:02:59
menos entre menos más, un 3 00:03:01
ya tengo la y 00:03:04
¿qué haríamos ahora? 00:03:05
iríamos a las ecuaciones del principio 00:03:08
pero fijaos una cosa 00:03:10
esta ecuación es la misma que esta 00:03:11
y aquí ya está despejado 00:03:13
por tanto voy a coger esta 00:03:15
es decir, yo voy a decir 00:03:17
x es igual a 8 menos 2y 00:03:18
y ahora ya me he vuelto más sabio 00:03:22
ya sé que la y es un 3 00:03:24
con lo cual aquí voy a poner 8 menos 2 00:03:25
y donde está la y pongo un 3 00:03:27
ojo que esto va así, este 3 no multiplica al 8 00:03:29
solo multiplica el 2 al 3 00:03:32
y me quedaría 8 menos 6 que sería 2 00:03:34
x es igual a 2, que es justo la solución que me había salido antes también 00:03:37
¿de acuerdo? 00:03:42
esa sería la forma de hacerlo aquí 00:03:44
¿qué pasa? voy a hacer un segundo ejemplo 00:03:45
donde ahora todas las x y las y van a tener un coeficiente distinto de 1 00:03:47
¿vale? por ejemplo 00:03:54
Vamos a hacer 2x más 7y es igual a menos 8 00:03:55
5x menos 3y es igual a 21 00:04:02
Aquí, fijaos, primero despejar una incógnita 00:04:06
¿Cuál despejo? Esta tiene coeficiente 2, 7, menos 3 y 5 00:04:09
Me da igual, todas tienen coeficiente 00:04:12
Voy a despejar por ejemplo la x de aquí 00:04:15
¿Por qué? Bueno, porque es la que está en la primera 00:04:16
Pero ahora no tengo ventajas como en el anterior 00:04:19
Donde este no tenía coeficiente, era 1 y este también era 1 00:04:21
En este caso no lo hay. Bueno, pues despejo de aquí. Si despejamos aquí la x, recordad, primero le quito el 7y que no lo queremos en este lado, lo queremos al otro lado y me queda 2x igual a menos 8 menos 7y y ahora este 2 que está multiplicando lo eliminamos dividiendo. 00:04:24
Con lo cual me queda esto fuera y me queda que x es igual a menos 8 menos 7y partido por 2 00:04:52
Me queda una fracción, esa va a ser la gran diferencia 00:04:58
¿Sustituyo dónde? En la otra ecuación donde esté la x yo puedo poner esto 00:05:01
Bueno, pues aquí está la x, es decir, 5 por paréntesis menos 8 menos 7y partido por 2 menos 3y igual a 21 00:05:05
¿Qué hago ahora? Cuidado aquí 00:05:16
Si alguien tiene problemas con las fracciones, recomiendo que convierta esto en esto. 00:05:18
Y que se acuerde, el tema de fracciones, que el 5 multiplica esto y el 1 multiplica lo de abajo. 00:05:22
Es decir, 5 por lo de arriba sería menos 40, menos 35i, y 1 por 2 es 2. 00:05:29
Y lo demás como está. Solo he modificado esto de aquí. 00:05:39
El resto me ha quedado igual. 00:05:44
Ahora, ¿qué es lo que hacemos? Tenemos un denominador 00:05:46
¿Cómo quitamos el denominador? Con el mínimo común múltiplo, que en este caso es 2 00:05:48
¿Vale? Multiplico todo por 2, todo lo de arriba 00:05:53
¿A quién voy a multiplicar ahora? Cuando multiplique voy a multiplicar sólo a esto 00:05:57
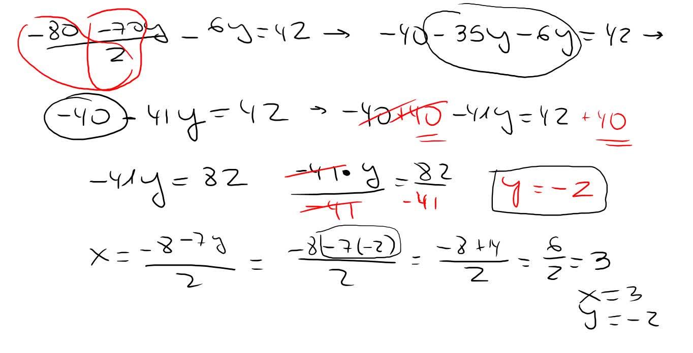
Es decir, menos 80 menos 70i 00:06:01
Partido por 2, que no le he tocado 00:06:07
Menos 6i igual a 42 00:06:09
¿Vale? Me lo voy a llevar a otra página 00:06:12
Bien, tenemos esto, y ahora lo que hacemos es la división. Divido esto, divido esto, y me queda menos 40 menos 80 entre 2 y menos 70 entre 2, que es 35i. 00:06:14
Y lo demás todo igual 00:06:32
Ya quita el denominador 00:06:33
Ahora que hago, juntar lo que pueda 00:06:36
Esto lo puedo juntar 00:06:38
Es decir, yo puedo escribir 00:06:39
Menos 40 menos 41i 00:06:41
Que es esto 00:06:45
35 menos 6 igual a 42 00:06:46
¿Qué me sobra? 00:06:50
Este 40 de aquí negativo 00:06:51
Es decir, menos 40 para que se vaya 00:06:52
Le sumo 40 00:06:55
Lo demás todo igual 00:06:57
Y como ella suma 40, aquí también sumo 40. 00:07:00
Este es este. 00:07:06
Aquí se me va. 00:07:08
Y lo que me queda es menos 41i es igual a 82. 00:07:10
¿Qué tengo que hacer? Quitar a este 41. 00:07:15
¿Cómo lo voy a quitar? 00:07:17
Pues para quitar un 41 que está multiplicando, 00:07:18
divido por 41 en ambos miembros. 00:07:22
Por menos 41 en este caso. 00:07:26
¿Y qué me queda? 00:07:29
El primero es 1, porque esto se me va, y de la segunda parte me queda menos 2, con lo cual ya sé que la y es menos 2. 00:07:30
¿Qué hago ahora? Como siempre, me voy o bien a las ecuaciones del principio o bien a esta que la tengo ya despejadito. 00:07:39
Entonces cojo la segunda que me dice que x es igual a menos 8 menos 7y partido por 2. 00:07:46
Y sustituyo la y por menos 2. 00:07:53
Menos 8 menos 7 menos 2, que es la y, partido por 2. 00:07:56
menos 8, hago primero esto de aquí 00:08:00
menos 7 por menos 2 00:08:02
más 14 00:08:04
entre 2 y esto me queda 00:08:05
6 entre 2 que es 3 00:08:08
ya está resuelto, x es igual a 3 00:08:10
y es igual a menos 2 00:08:12
no se lo de antes porque este es otro sistema 00:08:14
pero esta sería la forma de hacerlo 00:08:16
cuando no tengo 00:08:18
no tengo uno que desplegar 00:08:19
que sea más sencillo 00:08:22
Idioma/s:
es
Idioma/s subtítulos:
es
Autor/es:
Manuel Avalos
Subido por:
Manuel A.
Licencia:
Reconocimiento - No comercial - Compartir igual
Visualizaciones:
6
Fecha:
4 de septiembre de 2024 - 18:05
Visibilidad:
Público
Centro:
Sin centro asignado
Descripción ampliada:


Duración:
08′ 25″
Relación de aspecto:
1.96:1
Resolución:
1364x696 píxeles
Tamaño:
17.59 MBytes

Del mismo autor…

Ver más del mismo autor


EducaMadrid, Plataforma Educativa de la Comunidad de Madrid

Plataforma Educativa EducaMadrid