Saltar navegación

Activa JavaScript para disfrutar de los vídeos de la Mediateca.

Ejercicios 1 - Contenido educativo

Ajuste de pantalla

El ajuste de pantalla se aprecia al ver el vídeo en pantalla completa. Elige la presentación que más te guste:

Subido el 18 de enero de 2024 por Manuel A.

14 visualizaciones

Descargar la transcripción

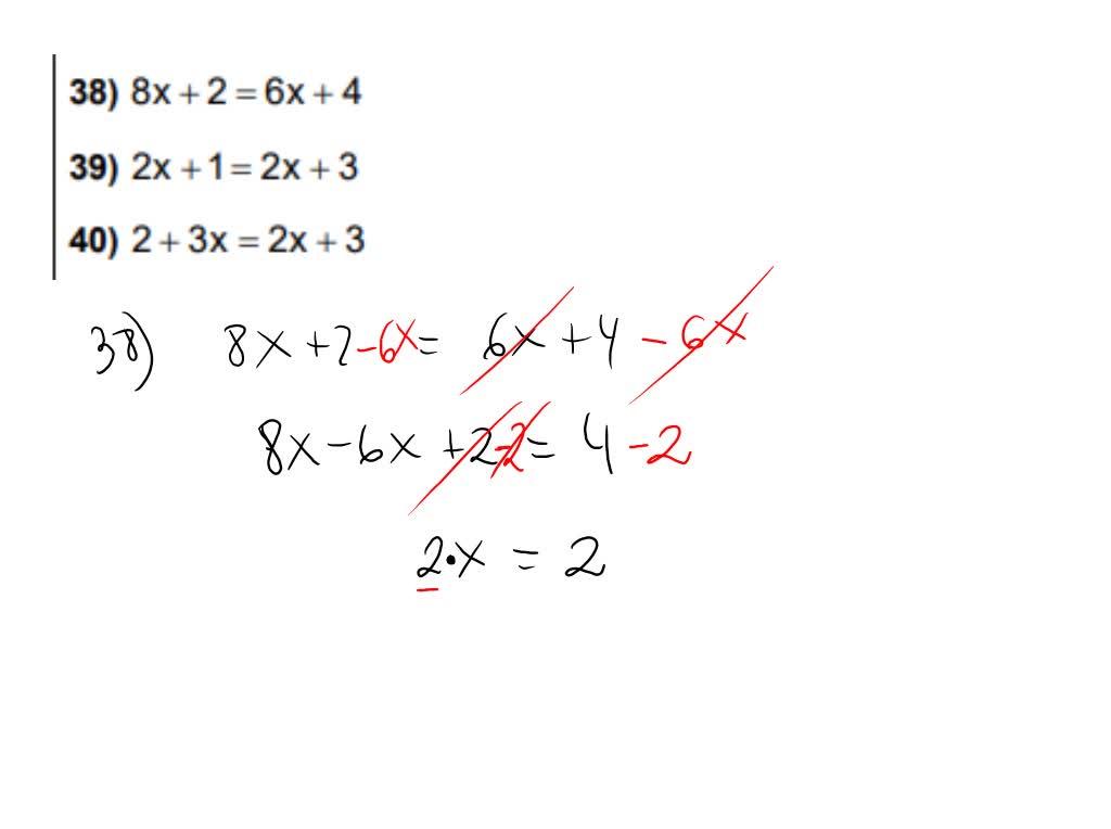
Vamos a fazer estes ejemplos, entonces el 38 seria 8x más 2 igual a 6x más 4, vale? 00:00:00
Entonces, que es lo que hacemos? 00:00:16
Lo primero es que este 6x me sobra de aquí. 00:00:18
6x que está sumando, entonces lo que hago es aquí quitarle 6x y aquí le quito 6x, vale? 00:00:20
Con lo cual, esto se va fuera y lo que me queda es 8x menos 6x más 2 igual a 4, vale? 00:00:27
Ahora lo que hago es, voy a quitar este 2 de aquí. 00:00:39
Siempre pienso en quitar, pues lo quito con un menos 2 y aquí pongo un menos 2, fuera. 00:00:41
Y entonces lo que me queda es 2x igual a 2, vale? 00:00:46
Y ahora quiero quitar este 2 que está multiplicando, pues entonces divido por 2. 00:00:52
Con lo cual este 2 me queda 1, ya está la x sola, o lo quito directamente y me queda que x es igual a 1, vale? 00:00:57
Si? Esa sería la forma. 00:01:08
Subido por:
Manuel A.
Licencia:
Dominio público
Visualizaciones:
14
Fecha:
18 de enero de 2024 - 14:07
Visibilidad:
Público
Centro:
CEPAPUB LAS ROZAS
Duración:
01′ 11″
Relación de aspecto:
1.34:1
Resolución:
1024x764 píxeles
Tamaño:
2.16 MBytes

Del mismo autor…

Ver más del mismo autor


EducaMadrid, Plataforma Educativa de la Comunidad de Madrid

Plataforma Educativa EducaMadrid