Saltar navegación

Activa JavaScript para disfrutar de los vídeos de la Mediateca.

ejercicio radicales 8, p. 20 - Contenido educativo

Ajuste de pantalla

El ajuste de pantalla se aprecia al ver el vídeo en pantalla completa. Elige la presentación que más te guste:

Subido el 28 de octubre de 2020 por Jose S.

81 visualizaciones

Descargar la transcripción

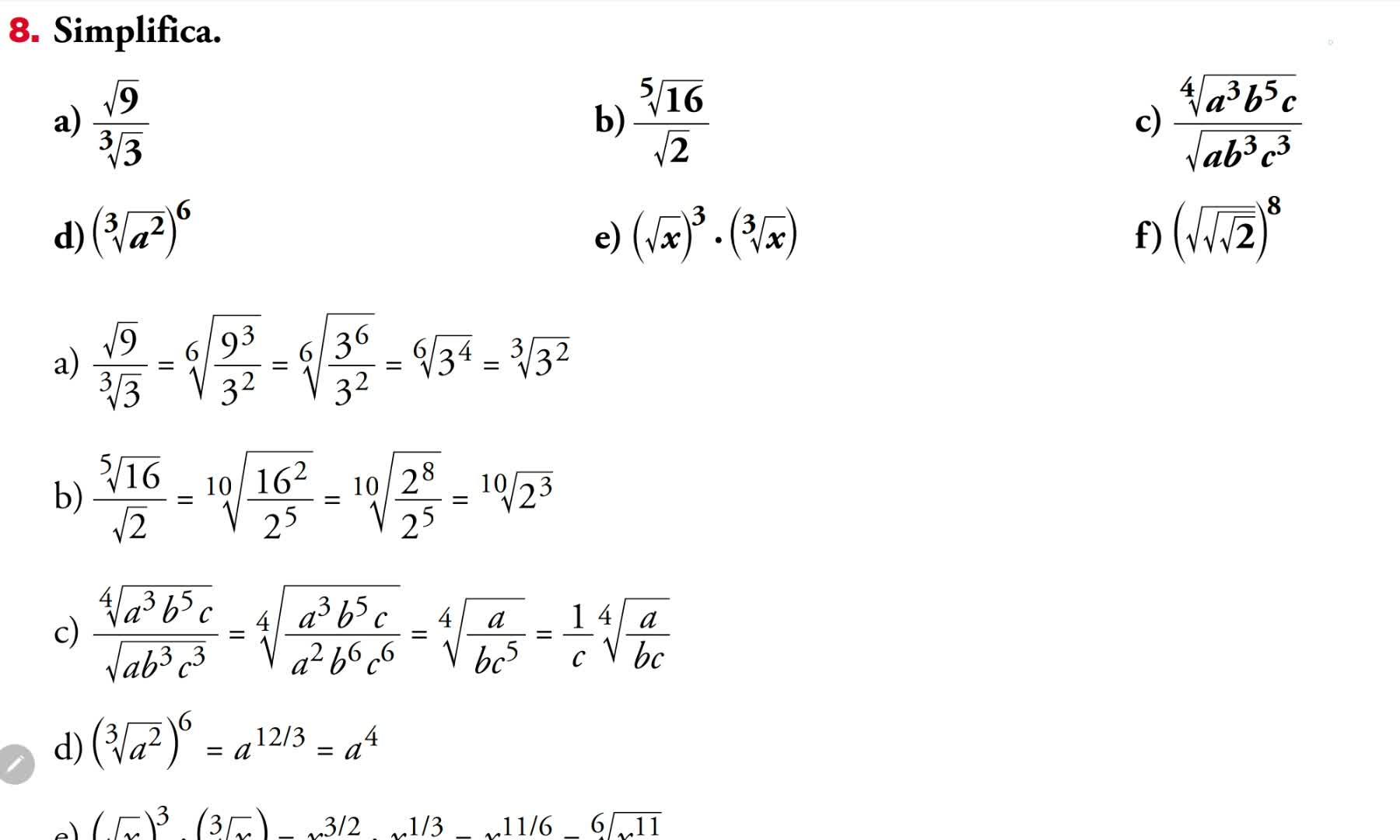
Bien, vamos a hacer el ejercicio de la página 20, el ejercicio 8, ¿de acuerdo? 00:00:00
Entonces, hagamos, por ejemplo, el apartado A. 00:00:11
Vamos a hacer el apartado A. 00:00:18
El apartado B, podemos observar que, bueno, como no tienen común índice, lo reduzco a común índice. 00:00:32
Aquí es índice 5 y aquí índice 2. 00:00:40
Lo hago aquí en este hueco. Vamos a ver, la raíz quinta de 16 partido raíz de 2, reduciendo a común índice, sería el mínimo común múltiplo de los índices. 00:00:42
Este es índice 2 porque no pone nada, 2 y 5 pues es 10. Entonces sería la raíz décima de 16 y hay que ponerlo como potencia de 2, exponente 2, porque el 5 hay que multiplicarlo por 2 para obtener el 10. 00:00:57
Y dividimos entre la raíz décima de 2 elevado a 5. 00:01:13
Ya tienen índice 10, los radicales, lo puedo meter en el mismo radical. 00:01:21
Y esto sería 16 al cuadrado partido 2 a la quinta, que es la raíz. 00:01:28
Ponemos el 16, fijaros que lo podemos poner como potencia de 2. 00:01:37
Y entonces sería raíz décima de 2 a la cuarta, que es 16, todo elevado a 2, dividido 2 a la quinta. Y esto ya me permite simplificar, porque sería la raíz décima de 2 elevado a, potencia de potencia se multiplica en exponentes. 00:01:41
Entonces, 4 por 2, 8, dividido 2 a la quinta, que es la raíz décima de 2 al cubo, porque en división de potencias de la misma base se restan exponentes, 8 menos 5, 3, y ya lo tengo resuelto. 00:02:05
¿De acuerdo? En el apartado B podemos observar que da raíz décima de 2 al cubo, exactamente como podemos comprobar. 00:02:20
Bien. Hagamos el apartado C. Nos piden que simplifiquemos esta fracción de radicales. Entonces, fijaros que hay que reducir a común índice porque no lo puedo meter todo en el mismo radical, dado que esto es índice 4 y esto es índice 2. 00:02:29
Entonces el mínimo común múltiplo sería 4 y aquí haríamos la raíz cuarta de a al cubo b quinta c dividido por la raíz cuarta y vemos que al ser este raíz de 2 habría que multiplicar por 2 y el radicando elevarlo al cuadrado. 00:02:51
O sea, a por b cubo por c cubo, todo elevado al cuadrado. Esta es la cuestión. Que simplificando obtendríamos todo en la misma radical, ya tienen el mismo índice, lo puedo meter en el mismo radical, al cubo b a la quinta c partido al cuadrado por b a la 6 por c a la 6. 00:03:23
Y esto se podría simplificar aplicando las operaciones entre potencias. División de potencias de la misma base, restamos exponentes, te queda una A porque 3 menos 2 es 1. Aquí te quedaría abajo una B elevado a 1 y abajo C a la quinta. 00:03:51
¿De acuerdo? Bien. Como podemos observar aquí. ¿Y ahora qué hacemos? Pues vemos que podemos extraer factores del radical porque C a la quinta, el 5, como supera al índice, aquí podemos sacar, podemos sacar, ver que C a la quinta es C a la cuarta por C y, por tanto, todo este C a la cuarta saldría fuera. 00:04:16
¿Cómo? Pues entre 4 que es 1 es este c de aquí y se me queda una c dentro. 00:04:46
Observemos que todos estos ejercicios en realidad se pueden hacer pasando a potencia el radical. 00:04:56
Por ejemplo, aquí en el apartado D lo tenemos así hecho, pasando la potencia. 00:05:03
Veámoslo. 00:05:08
Vamos a ver, vamos a hacer esto. 00:05:11
Sería raíz cúbica de a al cuadrado elevado a 6 00:05:14
Bien, lo puedo poner en forma de potencia del siguiente modo 00:05:20
En primer lugar este 6 puede entrar dentro 00:05:24
¿No? Multiplicando al exponente 00:05:28
Y quedaría raíz cúbica de a elevado a 12 00:05:31
Y ahora, simplificando, sería a elevado a 12 tercios, que es a elevado a 4. ¿De acuerdo? Por ejemplo, vamos a ver el apartado E, que es interesante. 00:05:40
Y dice, fijaros, en realidad es un radical y otro, pero que tienen el mismo radicando. Por lo tanto, sabemos que pasando la potencia tendríamos multiplicación de potencias con la misma base, que es la x. Hagámoslo. 00:05:55
Este de aquí sería x elevado a un medio, todo elevado a tres, esta es la raíz, y luego el cubo de aquí, por x elevado a un tercio. 00:06:17
Que esto simplificando, en este caso es potencia de potencia, se multiplican exponentes, x elevado a tres medios por x elevado a un tercio. 00:06:32
Y ahora, multiplicación de potencias de la misma base, se suman los exponentes. Así que hacemos x elevado a tres medios más un tercio, que es, hacemos la suma, mínimo común múltiplo seis, seis entre dos a tres, tres por tres, nueve, sextos, más dos sextos, que es, 00:06:42
11 sextos. 00:07:12
Así que esto sería igual a X elevado a 11 sextos, que es la raíz sexta de X elevado a 11, como podemos observar en el resultado. 00:07:14
Bueno, y el apartado F, pues es raíz de la raíz de la raíz de 2 todo elevado a 8, pues observemos que se puede poner... 00:07:31
Ya vimos que en realidad la raíz de la raíz se opera multiplicando los índices. 00:07:42
Esto sería 2 por 2 por 2, que es 8, sería la raíz octava. 00:07:48
Pero para demostrarlo podríamos poner que esto es igual a, por un lado, 2 elevado a 1 medio, que es de esta raíz, 00:07:54
después de esta sería elevado a 1 medio y de esta sería todo elevado a 1 medio y todo está elevado a 8. 00:08:04
Potencia de potencia se multiplica en exponentes y se quedaría 2 elevado a 1 por 2 por 8, un octavo, todo elevado a 8, que es 2, elevado a 8 entre 8, que es 2. 00:08:16
Y para terminar, una observación. El apartado, por ejemplo, cojamos el apartado B, que aquí lo hemos resuelto aplicando propiedades de los radicales, pero realmente lo podíamos haber hecho pasando a potencia. 00:08:36
Esta sería un segundo método. Vamos a hacerlo, por ejemplo, pasándolo a potencia. Resulta que la raíz quinta de 16 partido raíz de 2, estoy haciendo este, el apartado B, pero lo voy a hacer pasándolo a potencia. 00:08:48
Pues nos fijamos que el 16 en realidad lo puedes factorizar y poner como potencia de 2 00:09:12
Por lo tanto ya sabes que pasando a potencia vas a tener que operar potencias de la misma base 00:09:19
Entonces quedaría raíz quinta de 2 a la cuarta partido raíz de 2 00:09:26
Pasémoslo ahora todo a potencia, sería 2 elevado a 4 quintos partido 2 elevado a 1 medio 00:09:32
¿De acuerdo? Entonces, división de potencias de la misma base, se restan los exponentes, y esta resta es cuatro quintos menos un medio, sería ocho décimos menos cinco décimos, tres décimos. 00:09:38
2 elevado a 3 décimos 00:10:12
que observamos que puedo poner como la raíz décima de 2 al cubo 00:10:14
como de hecho podemos comprobar que da raíz décima de 2 al cubo 00:10:25
el apartado B 00:10:36
¿de acuerdo? 00:10:38
es decir, en definitiva lo que quiero decir es que 00:10:40
todos estos ejercicios se pueden hacer 00:10:42
O bien operando con radicales, como hemos hecho aquí, o bien pasando a potencia y operando como potencias. 00:10:45
Subido por:
Jose S.
Licencia:
Reconocimiento - Compartir igual
Visualizaciones:
81
Fecha:
28 de octubre de 2020 - 13:35
Visibilidad:
Público
Centro:
IES BARRIO SIMANCAS
Duración:
10′ 54″
Relación de aspecto:
1.67:1
Resolución:
1800x1080 píxeles
Tamaño:
210.38 MBytes

Del mismo autor…

Ver más del mismo autor


EducaMadrid, Plataforma Educativa de la Comunidad de Madrid

Plataforma Educativa EducaMadrid