Saltar navegación

Activa JavaScript para disfrutar de los vídeos de la Mediateca.

Problemas de optimización - Contenido educativo

Ajuste de pantalla

El ajuste de pantalla se aprecia al ver el vídeo en pantalla completa. Elige la presentación que más te guste:

Subido el 23 de febrero de 2026 por Roberto A.

5 visualizaciones

Descargar la transcripción

Bueno, pues chavales, este ejercicio la verdad que está bastante bien, porque además de ser optimización, pues está relacionado con temas matemáticos, 00:00:00
tanto de la base de secundaria como también del año pasado en bachillerato. 00:00:17
¿Vale? Hoy es 23 de febrero del 2026. 00:00:22
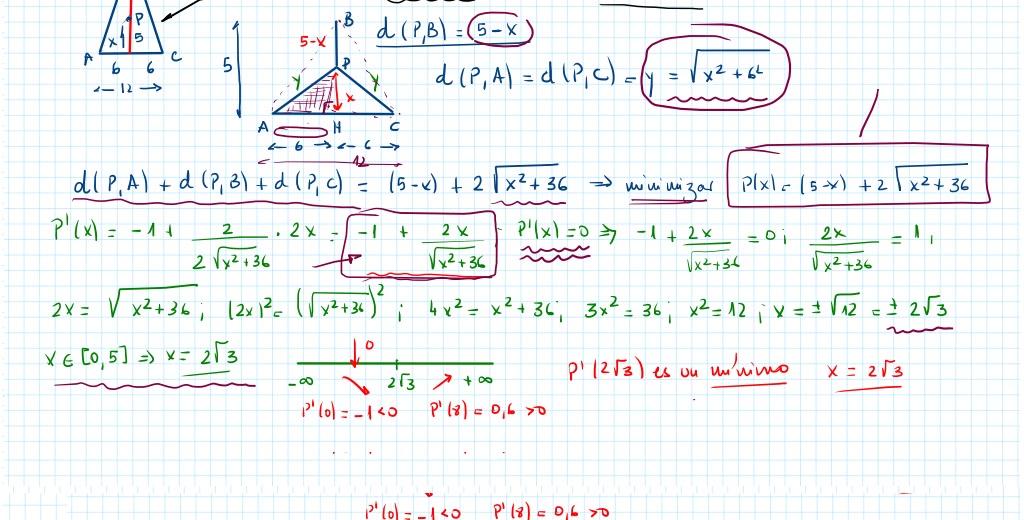
Lo que nos dice es un triángulo isósceles. 00:00:28
Entonces volvemos a la misma, a la teoría matemática. 00:00:30
¿Qué es un triángulo isósceles? 00:00:33
Que tiene dos lados iguales, dos lados solos y dos ángulos. 00:00:37
¿Vale? Dos lados y dos ángulos iguales. 00:00:44
Entonces nos dicen, este dibujo precisamente está aquí puesto en nuestra escala. 00:00:46
¿Vale? Tiene un lado desigual de 12 metros. 00:00:50
Es decir, yo sé que los otros dos miden lo mismo, pero no sé cuánto miden. 00:00:53
Y entonces la altura relativa a ese lado de 5, la altura relativa a ese lado, a ese lado de ese igual, 5 metros, ¿vale? 00:00:58
¿Cuántas alturas tiene un triángulo? 00:01:08
Una, ¿no? 00:01:12
Sí. 00:01:13
¿Una? 00:01:15
Aquí Rodrigo ha dicho tres. 00:01:16
Martín, tú que das dibujo técnico, ¿cuántas alturas tiene un triángulo? 00:01:20
Este tiene dos. Tiene tres bisectrices, tres mediatrices, tres medianas, tres alturas, ¿vale? Todos tienen tres, ¿vale? Todos tienen tres. 00:01:24
en este caso 00:01:43
yo te diría que no 00:01:46
si miden lo mismo, sí 00:01:49
pero son tres alturas 00:01:50
tres medianas, ¿vale? 00:01:53
tres bisectrices 00:01:57
los puntos, ¿acordáis? 00:01:58
centro, baricentro, circuncentro 00:02:00
ortocentro, ¿sí o no? 00:02:02
bueno, pues vale 00:02:05
lo que me dice es que la altura relativa 00:02:05
a ese lado de ese igual es 5 metros 00:02:07
por lo tanto, yo me hago el dibujo 00:02:10
ya os digo, el dibujo está fatal hecho 00:02:11
porque no es en absoluto a escala, donde me dice que el lado desigual, que es el lado AC, pues mide 12 metros, ¿de acuerdo? 00:02:13
Y luego la altura correspondiente a ese lado desigual, pues son 5 metros, ¿vale? 00:02:22
Entonces, ¿qué es lo que me dice? Dice que encuentre un punto sobre la altura, la suma de las distancias a los tres vértices sea mínima. 00:02:29
Es decir, yo tengo que coger un punto que pertenezca a la altura, ¿vale? Y ahora, si yo uno ese punto con cada uno de los vértices, lo que estoy viendo es el módulo de esa rectilínea, como si fuera un vector, y entonces la suma de los tres módulos tiene que ser mínima. 00:02:39
Mínimo. Entonces, ¿qué ocurre? Pues que yo cojo un punto de esa altura y ¿qué ocurre? Que si la altura mide 5 metros y yo cojo un punto P que está a X de la base, pues resulta que ese X pertenece al intervalo 0H. 00:03:02
Lo puedo coger aquí, que sería 0, o lo puedo coger en el vértice B, que vale h. 00:03:29
Es decir, la x va a tener un valor entre 0 y 5. 00:03:35
Y esto es muy importante. 00:03:40
Esto es muy importante no por nada. 00:03:42
Porque, chavales, hay gente que me resuelve este ejercicio y me dice que la x vale 10. 00:03:44
Y se queda tan pancho. 00:03:49
Y es lo que yo siempre intento luchar con mis alumnos desde primero de la ESO. 00:03:50
Que es que os liáis a hacer cuenta, lo más fácil es equivocarse, pero lo que tenéis que daros cuenta es precisamente, pues, qué es lo que estáis haciendo y cuándo hay un error. 00:03:56
Entonces, ese x está entre 0 y 5. 00:04:09
¿Qué ocurre? Que la distancia del punto B al vértice B, ¿cuánto es, chavales? 00:04:12
Pues si yo he decidido que esto mide x, la distancia, ¿cuánto es? 5 menos x. 00:04:18
¿Esto lo ve todo el mundo? 00:04:24
¿Sí o no? Entonces, ¿qué ocurre? Que ahora resulta que la distancia, es decir, yo mi triángulo, mi triángulo original es este de aquí que estoy haciendo puenteado, ¿vale? 00:04:26
Y lo que yo tengo que hacer mínimo es la distancia entre P y A, la distancia entre P y B y la distancia entre P y C. ¿Lo veis? Como es isósceles, la distancia que hay entre P A y P C es la misma, ¿vale? Que es I. ¿De acuerdo? No sé cuánto mide, pero es I. 00:04:40
Por lo tanto, ¿qué ocurre? Precisamente esta y, ¿qué ocurre? Pues que yo puedo aplicar el teorema de Pitágoras, porque esto de aquí es un triángulo rectángulo, donde yo sé que esto de aquí mide 6, y yo sé que esto de aquí mide x. 00:05:03
¿Lo veis? 00:05:31
¿O no lo veis? 00:05:34
Entonces, esta I, si yo aplico 00:05:35
el teorema de Pitágoras, como la I 00:05:37
es la hipotenusa, que eso también 00:05:39
me lo encuentro mucho en los chavales, 00:05:41
el teorema de Pitágoras, se suelen saber 00:05:43
mucho la fórmula. 00:05:45
Muchísimas las fórmulas. 00:05:47
Los que no saben cuál es la hipotenusa, 00:05:49
así me lo encuentro. 00:05:52
Pero es que me lo encuentro hasta en primero de bachillerato. 00:05:53
Dime, hija. 00:05:56
Porque es la mitad del lado 12. 00:05:58
¿Vale? Esto es 6, esto es 6, todo esto es 12. ¿Vale? Entonces, lo que tenemos que saber siempre es ver dónde está, dónde está, chavales, el ángulo recto. Y entonces, siempre la hipotenusa es el opuesto al ángulo recto. 00:06:01
Por lo tanto, yo ya tengo las tres distancias y las tres distancias de más en función de x, ¿de acuerdo? 00:06:20
Entonces, la distancia de PA a la distancia de PAB y la distancia de PAC, ¿a qué es igual? 00:06:28
A 5 menos x más dos veces y, dos veces y, que y es esto de aquí. 00:06:34
¿Estamos todo el mundo de acuerdo? 00:06:43
¿Todo el mundo estamos de acuerdo o no? 00:06:46
Andrés, no te veo convencido 00:06:47
guillo 00:06:52
porque me dice 00:06:52
encuentra el punto 00:06:56
sobre la altura tal que 00:06:58
la suma de las distancias 00:07:00
a los tres vértices sea mínima 00:07:02
es mi función objetivo 00:07:04
¿vale? mi función objetivo 00:07:06
es que esta suma de aquí 00:07:07
¿vale? esta suma sea mínima 00:07:10
¿de acuerdo? 00:07:12
¿sí o no? entonces 00:07:14
mi función objetivo 00:07:15
a minimizar 00:07:17
es esta de aquí. 00:07:19
Es decir, es 5 menos x 00:07:21
que es la distancia que hay desde 00:07:23
p a b, más 00:07:25
dos veces la raíz de x 00:07:27
cuadrado más 36. 00:07:29
36 es 6 al cuadrado. 00:07:31
Es la suma de las distancias 00:07:33
de p a y de p a. 00:07:35
¿Vale? 00:07:37
Entonces, yo derivo. 00:07:40
¿Vale? Repasar 00:07:42
derivadas, por favor. Las derivadas 00:07:43
son de primero de bachillerato. 00:07:45
De primero de bachillerato. 00:07:47
Hemos hecho aquí derivadas. 00:07:50
El volumen de contenido de segundo de bachillerato no da tiempo a hacer 800.000 derivadas. 00:07:53
Pero en casa sí. 00:08:00
En casa sí. 00:08:03
Y verlas aquí o verlas en la academia, copiarlas, súper fácil. 00:08:04
Hacerlas. 00:08:08
Hacerlas. 00:08:10
Entonces, derivo menos 1, el 2, la derivada de una raíz es 1 partido 2 la raíz por la derivada de lo de dentro. 00:08:10
Voy operando y aquí es súper importante, yo primero derivo, que la derivada es esta de aquí, 00:08:22
que la he subrayado en colorado, y luego esfuerzo a que la primera derivada es igual a 0. 00:08:28
¿Por qué hago que la primera derivada sea igual a 0? 00:08:35
¿Eh? No me he enterado. Porque al final, si yo voy a buscar tanto un máximo como un mínimo, la primera derivada en ese punto tiene que ser cero. ¿Por qué? ¿Qué era la derivada? La pendiente. La pendiente de la recta tangente. 00:08:40
la pendiente de la recta tangente 00:09:05
entonces cuando yo tengo un máximo y un mínimo 00:09:07
tengo una tangencia 00:09:09
horizontal, si yo 00:09:11
tengo una recta horizontal 00:09:13
yo voy a bajar o a subir 00:09:15
no, por lo tanto mi pendiente 00:09:17
¿cuánto es? cero 00:09:20
no estoy en ninguna cuesta 00:09:21
entonces lo igualo a cero, opero 00:09:23
¿qué obtengo chavales? 00:09:26
pues al operar tengo todo esto 00:09:28
de aquí y me sale 00:09:30
que es más menos 00:09:31
dos raíz de tres. Un momentillo, Rodrigo. Y luego, por favor, por favor, tenéis calculadora 00:09:34
en el examen. Tenéis calculadora en el examen. Cuando yo hago esto, que aquí lo más fácil 00:09:42
es equivocarme, lo más fácil aquí es equivocarme, me cojo dos raíz de tres y lo sustituyo en 00:09:49
la primera derivada, ¿de acuerdo? Y compruebo si realmente da cero. Son estrategias que 00:09:58
os llevo diciendo tiempo para que comprobéis que lo que habéis hecho es correcto o no 00:10:07
es correcto. Me cojo el 2 raíz de 3 y lo sustituyo aquí y compruebo de que sea cero. 00:10:12
Y me cojo también el menos 2 raíz de 3 y lo sustituyo aquí y me tiene que dar cero. 00:10:18
Dime, Rodrigo, hijo. 00:10:23
Entonces, aquí equivocarse, súper fácil. 00:10:26
Súper fácil. 00:10:30
¿De acuerdo? 00:10:32
Entonces, precisamente ese x, chavales, ese x está entre 0 y 5. 00:10:33
¿Vale? 00:10:40
Está entre 0 y 5. 00:10:41
Y ahora, chavales, viendo esto de aquí, viendo esto de aquí, 00:10:43
yo como sé que es un máximo o un mínimo, y esto es súper importante, ¿vale? 00:10:47
Súper importante. 00:10:52
Lo digo también para cuando veamos representación de funciones, ¿de acuerdo? 00:10:53
Cuando yo tengo una función polinómica, que mucha gente aquí me ha dicho que seno de x es polinómico, 00:11:02
la función seno se ve en cuarto de la ESO, se ve sobre todo en primero de bachillerato, y bueno. 00:11:10
Cuando yo tengo una función polinómica, vete a hacer la segunda derivada. 00:11:20
O cuando yo tengo la primera derivada y voy a hacer la segunda y es fácil, hazla, hazla. 00:11:25
Pero yo aquí tengo un chocho tremendo, tengo un chocho tremendo que la puedo hacer, la segunda derivada, la puedo hacer. 00:11:32
Pero fijaros el berenjená que tengo de una división donde además el cociente es una raíz cuadrada. 00:11:39
Pero bueno, la puedo hacer. 00:11:45
¿Por qué os cuento todo este rollo? 00:11:47
Porque cuando yo quiero saber si algo es máximo o mínimo, yo hago la primera derivada. 00:11:48
Y esto es teoría matemática, ¿eh? Esto es teoría matemática. Hago la primera derivada. La igualo a cero y encuentro las x que me hacen cero la primera derivada. Y luego, ese valor de x, yo me voy a la segunda derivada y si lo sustituyo y me da negativo, es un máximo. Y si lo sustituyo y me da positivo, es un mínimo. 00:11:54
¿De acuerdo? Pero ¿qué ocurre? Que muchas veces hacer la segunda derivada me va a llevar mogollón de tiempo y no me merece la pena. Entonces, yo aquí no pierdo el tiempo, chavales, en hacer la segunda derivada. 00:12:19
Si no, lo que veo es el crecimiento y decrecimiento, ¿de acuerdo? 00:12:33
Que aquí, por cierto, esto está mal porque me falta el menos raíz de 3, ¿verdad? 00:12:40
Lo que pasa es que ya sé por qué lo he hecho así. 00:12:47
Porque no pertenece, efectivamente, ¿vale? 00:12:50
Aquí sí, para hacerlo de forma general, yo tendría que poner el menos 2 raíz de 3. 00:12:53
Lo que pasa es que me he ido directamente al 2 raíz de 3 00:12:58
porque como tiene que estar entre 0 y 5, me he ido ahí. 00:13:00
Entonces, lo que quiero ver es en torno a mi punto, 00:13:03
porque ¿cuándo también es un máximo, chavales? 00:13:07
¿Cuándo se produce un máximo? 00:13:09
Sabemos que es porque la primera derivada es 0, 00:13:10
pero no todos los puntos, fijaros una cosa, 00:13:13
y esto es súper importante, ¿eh? 00:13:15
Esto es súper importante. 00:13:18
Si el máximo es mínimo, yo os aseguro que la primera derivada es 0. 00:13:22
Pero por ser la primera derivada 0, 00:13:27
no tiene por qué ser un máximo o un mínimo. 00:13:29
Nos encontramos, ¿has visto, Karol, que has puesto una de estas? Fíjate, el juego de palabras, ¿vale? Es el juego de palabras, es lo que os digo. ¿Todo número real o todo número natural es entero? ¿Todo número natural es entero? No, pero ¿todo número entero es natural? Sí. 00:13:32
Entonces, ¿qué es lo que ocurre? 00:13:55
¿Todos los que tienen la primera derivada es un máximo o un mínimo? 00:13:56
No. 00:13:59
¿Vale? 00:14:00
Ahora, si es máximo o mínimo, su primera derivada es cero. 00:14:01
¿Vale? 00:14:05
Entonces, ¿qué ocurre? 00:14:05
Que también para saber si es un máximo o un mínimo, aparte de tener la primera derivada cero, 00:14:07
realmente la definición de máximo o mínimo, ¿qué es? 00:14:12
Un máximo es a la izquierda las funciones crecientes y a la derecha decrecientes. 00:14:16
Es decir, tú vas subiendo una montaña, llega abajo, arriba del todo y luego baja, sube y luego baja es un máximo. ¿Y cuándo es un mínimo? Pues cuando tú vas bajando y llega al punto más chico y luego subes, ¿vale? Cuando pasamos de decreciente a creciente es un mínimo y cuando pasamos de creciente a decreciente es un máximo. 00:14:22
Entonces yo veo aquí que a la izquierda es decreciente y a la derecha es creciente, ¿de acuerdo? 00:14:44
Es su primera derivada, por lo tanto es un mínimo y me ahorro tener que hacer la segunda derivada. 00:14:52
Yo os invito a que hagáis la segunda derivada de esta función de aquí y así repasáis 00:14:59
y lo sustituís el 2 raíz de 3 en esa segunda derivada 00:15:08
y os tiene que salir mayor que cero. 00:15:13
¿De acuerdo? 00:15:16
¿Cómo veis este ejercicio? 00:15:18
Complicaete, ¿eh? 00:15:21
Los ejercicios de optimización son complicadetes más que nada 00:15:22
porque, entre otras cosas, tenemos mucho olvidado. 00:15:25
¿Vale? Tenemos mucho olvidado. 00:15:30
Entonces, yo espero que en la EBAU 00:15:32
pues no os pongan ejercicios de este tipo, 00:15:35
pero puede caer. 00:15:39
¿Vale? Entonces, por eso os he subido, 00:15:41
Yo creo que hay dos o tres libros de optimización. 00:15:43
No os borbáis 00:15:46
con intentar hacerlos todos, 00:15:47
pero sí echarle un vistazo 00:15:49
importante. Este de aquí 00:15:50
es de BAU total. 00:15:55
¿Vale? 00:15:57
No lo sé. 00:16:00
No lo sé, pero no está hecho. 00:16:02
Date cuenta. 00:16:04
A ver. 00:16:05
Escúchame. 00:16:07
También tengo subido 00:16:08
en el documento este 00:16:09
que han visto, creo que son ocho 00:16:12
o nueve personas nada más. 00:16:14
De aplicación de derivadas, que está a puño y letra mío, hay también ejercicios de optimización, ¿vale? Echarle un vistazo, por favor, echarle un vistazo. 00:16:15
Como siempre, tenéis el enunciado, lo hacéis ustedes y si veis, oye, pues no sé meterle mano, no sé qué, entonces veis la solución o me preguntáis, que para eso estoy aquí, que es que me teníais que brear a preguntas. 00:16:28
Todos, no tres personas o cuatro. Todos. 00:16:45
Bueno, este de aquí. Se dispone de una plancha de cartón cuadrado cuyo lado mide 1,2 metros. 00:16:49
Yo he dibujado aquí monísimo un cuadrado en azul, donde es cuadrado, evidentemente, y mide cada lado 1,2 metros. 00:16:56
Dice, determínese las dimensiones de la caja sin tapa, esto es importante, de volumen máximo, 00:17:06
máximo, de volumen máximo, que se puede construir recortando un cuadrado igual a cada esquina de la plancha 00:17:12
y doblando adecuadamente para unir las aristas resultantes de los cortes. 00:17:23
Entonces, claro, muchas veces leemos esto y dices, ¿qué coño me están diciendo? 00:17:28
Ese es el problema también que tenemos de compresión lectora. 00:17:32
Entonces, yo tengo esta plancha de cartón aquí y lo que hago en cada una de las esquinas, yo le quito un cuadradito, ¿de acuerdo? De longitud CX, no lo sé, no lo sé. 00:17:35
Entonces, yo al quitarle aquí los cuadraditos, me va a quedar una caja, una caja cuya base es también un cuadrado, que es este de aquí, ¿vale, chavales? Este cuadradito de aquí me queda. 00:17:49
Y luego, como yo esto lo rompo, esto lo rompo, esto lo rompo, esto lo rompo, esto de aquí precisamente, y esto de aquí, y esto de aquí, y esto de aquí, chavales, pues es lo que me va a hacer la altura de la caja, ¿lo veis? 00:18:05
yo tengo una plancha 00:18:20
yo tengo una plancha, coge la mesa 00:18:23
tú coge la mesa y tienes una plancha 00:18:25
tú puedes formar una caja ahí 00:18:27
no, no tienes volumen ninguno 00:18:29
entonces tú le coges cuatro cuadraditos 00:18:31
de aquí, cuatro cuadraditos 00:18:34
lo recortas o si no lo hacéis con un papel 00:18:35
lo recortáis y entonces al recortarlo 00:18:37
tú ya puedes plegarla 00:18:40
tú ya puedes plegarla 00:18:42
entonces ya tienes ahí un volumen 00:18:44
¿vale? nunca habéis hecho ustedes como 00:18:45
un recogedor de sacapunta 00:18:48
con un folio, ¿no lo habéis hecho? 00:18:50
Lo que pasa es que esto sería cuadrado, entonces tú coges 00:18:53
un ladito, lo doblas, lo doblas, lo doblas y lo doblas 00:18:56
y ya tienes una caja con un volumen. ¿Por qué tienes 00:18:59
un volumen? Porque tienes aquí tres 00:19:02
dimensiones. Tienes aquí las dos dimensiones 00:19:05
de la base y tienes una altura. 00:19:08
Ejercicio es complicado, ¿eh? Ejercicio, cuidado 00:19:11
porque es complicado. Primero es entenderlo, 00:19:14
¿vale? Primero es leerlo y entenderlo. 00:19:17
Pero luego, ¿qué tenemos que ver? 00:19:19
Daros cuenta que yo aquí, en el cuadrado azul original, era 1,2 metros. 00:19:21
Y yo estoy quitando de cada lado X, porque me dice que también son recortando un cuadrado igual en cada plancha. 00:19:27
Y es X. Yo no sé cuánto es ese restante. 00:19:35
Entonces, esto mide x, esto mide x, x, x, x, x, x, x, x, x, x, x, x, los cuatro. 00:19:42
Y entonces, ¿qué me va a quedar, chavales? 00:19:49
Pues me va a quedar una nueva superficie que en vez de ser 1,2 es 1,2 menos 2x, ¿lo veis? 00:19:51
1,2 menos 2x. 00:20:00
¿Lo veis todo el mundo? 00:20:02
¿Y la altura cuánto es, chavales? 00:20:03
¿La altura cuánto es? 00:20:06
Pues la altura precisamente es x. 00:20:07
No? Tienes ahí un folio? 00:20:11
Si, pero no he tenido el nuevo cuadrado 00:20:15
El nuevo cuadrado es, si tu quitas esto de aquí 00:20:19
Esto primero, el folio que he cogido 00:20:31
es A4, no es cuadrado, vale? 00:20:35
Tu quitas esto de aquí, si te das cuenta 00:20:39
si yo hago lo mismo en el otro lado, yo ya tengo aquí una caja 00:20:43
es la altura, es la altura 00:20:47
date cuenta que esto es X y esto es Y 00:20:49
¿si o no? entonces ¿cuánto 00:20:50
vale la altura? X 00:20:53
¿lo veis todos? 00:20:55
¿si? X 00:20:57
entonces ¿qué es lo que te digo? esta base de aquí 00:20:58
es 1,2 menos 2X 00:21:01
pero esta altura 00:21:02
¿por qué le he quitado 00:21:04
una X de un cuadrado de un extremo 00:21:06
y otro de otro? ¿vale? 00:21:09
esto de aquí imagínate, esto no es un cuadrado ¿vale? 00:21:10
pero imagínate que todo esto mide 1,2 00:21:13
si yo ahora le quito 00:21:15
x por aquí y x por aquí, ¿esto cuánto mide? 1,2 menos 2x. ¿Lo veis? 1,2 menos 2x. ¿Y 00:21:17
la altura de esto? ¿Cuánto es la altura de este pliegue? x. Hazte cuenta que esto 00:21:26
era x. ¿Vale? Pues entonces, ya os digo, no es complicado, ¿eh? Pero es de bau. Es 00:21:34
debajo, lo cual puede caer. Entonces, ¿cuál es el volumen de una caja sin tapa? Pues siempre 00:21:41
el volumen, ¿verdad? Es la base por la altura. ¿La base qué es? La base, como es un rectángulo, 00:21:48
un cuadrado, perdóname, es lado al cuadrado. Ese lado mide 1,2 menos 2x. Por lo tanto, 00:21:58
lo elevo al cuadrado, ¿vale? Y la altura mide x. Por lo tanto, ¿cuál es mi volumen? 00:22:06
Es decir, que yo quiero maximizar. Pues es 1,2 menos 2x, todo ello al cuadrado, por x. 00:22:14
¿Cómo que 2x? Ah, es lo que me ha preguntado Karo. Todo esto mide 1,2. ¿Lo ves aquí en 00:22:25
el folio? 1,2. Si yo le quito un cuadrado donde esto y esto mide x, y esto y esto mide x, ¿cuánto 00:22:35
mide esto? De aquí a aquí mide 1,2. ¿Vale? Esto mide x y esto mide x. ¿Cuánto mide esto de aquí? 00:22:42
1,2 menos 2x. ¿Sí o no? 1,2 menos 2x. Todo ello al cuadrado. Yo espero que esto no siga. 00:22:56
Y la altura es x, ¿vale? 00:23:05
Entonces, chavales, lo que yo tengo que maximizar es esto de aquí. 00:23:08
¿Cómo maximizo? Porque ya siempre es lo mismo. 00:23:14
Aquí lo más complicado de estos ejercicios, chavales, es buscar la función objetivo. 00:23:17
Es lo más complicado. 00:23:24
Esto sería la función objetivo. 00:23:25
es la que yo quiero maximizar o minimizar, ¿de acuerdo? 00:23:27
Entonces, ¿qué ocurre? 00:23:37
Pues que el llegar a ella, depende de cómo sea el problema, 00:23:39
pues tiene cojones, ¿vale? 00:23:45
Entonces, aquí esto sí que es una función polinómica, ¿vale? 00:23:48
Esto es una función polinómica. 00:23:53
Entonces aquí sí que tiene sentido hacer su segunda derivada. Entonces yo derivo, me sale mogollón de cosas, me sale una ecuación de segundo grado y la igualo a cero. Fijaros en el examen, no os gustan los números que no sean enteros, no os gusta. Fijaros aquí lo que me sale. 00:23:55
y este ejercicio es de Bau 00:24:18
nos tenemos que acostumbrar 00:24:21
a los números que no son 00:24:24
bonitos 00:24:25
¿de acuerdo? que es que me va a parecer 00:24:26
cualquier otra cosa 00:24:29
yo hago y fijaros como lo hago 00:24:30
yo primero hago la derivada y después 00:24:33
hago la primera derivada 00:24:35
igual a cero, que hay mucha gente que lo que hace 00:24:37
directamente es deriva y lo igual a cero 00:24:39
no, pongo la primera derivada de cero 00:24:42
y ahora ya aquí sí 00:24:43
aquí sí chavales 00:24:45
Yo ya lo igualo a cero y es una ecuación de segundo grado. 00:24:47
Y volvemos a lo mismo. 00:24:52
Volvemos a lo mismo. 00:24:54
Me da 0,6 y me sale 0,2. 00:24:56
Me cojo cada uno de esos valores y en esta ecuación sustituyo con la calculadora, 00:24:59
que no tardo ni 30 segundos, y me tiene que dar cero. 00:25:05
¿De acuerdo? 00:25:09
Me tiene que dar cero. 00:25:10
¿Y entonces qué ocurre, chavales? 00:25:12
Pues que yo ahora me voy a la segunda derivada. 00:25:14
Fijaros, fijaros, por favor, esto es una función polinómica. 00:25:17
Aquí sí que me merece la pena más que ponerme a estudiar crecimiento y decrecimiento, 00:25:22
que lo puedo hacer y me va a salir perfecto, y si lo hacéis, no está mal. 00:25:27
Yo me voy a la segunda derivada, que fijaros lo fácil que es la segunda derivada. 00:25:33
Es una recta. 00:25:38
Y ahora en la segunda derivada yo sustituyo tanto el 0,6 como el 0,2, ¿vale? 00:25:40
Al sustituir, ¿por qué sustituyo la segunda derivada al 0,6 y el 0,2? Porque son los valores que me hacen cero la primera derivada, ¿de acuerdo? La primera derivada. 00:25:46
Entonces, fijaros, si yo la segunda derivada sustituyo por 0,6 me da 4,8, que eso es mayor que 0. 00:25:58
Al ser mayor que 0 tenemos un mínimo, es decir, si yo quiero hacer una caja con el volumen mínimo del trozo de cartón que yo tengo que cortar es realmente 0,6. 00:26:11
Pero si os fijáis, si yo corto 0,6, ¿con qué me quedo, chavales? 00:26:25
Si yo corto 0,6 por aquí y corto 0,6 por aquí, ¿con qué me quedo? 00:26:31
Que no me quedo con nada. 00:26:40
No me quedo con nada. 00:26:42
Claro, porque es 1,2. 00:26:44
No me quedo nada. 00:26:46
¿De acuerdo? 00:26:47
¿De acuerdo? 00:26:48
Por eso es tan mínimo, tan mínimo que no hay ni caja. 00:26:48
¿Vale? 00:26:53
No hay ni caja. 00:26:53
Sin embargo, si yo sustituyo en la segunda derivada el 0,2, veo que es negativo. 00:26:53
Al ser la segunda derivada negativa, esto es menor que cero. 00:27:05
la cerilla 00:27:23
y entonces es un máximo 00:27:24
¿vale? un máximo en 0,2 00:27:27
¿de acuerdo? 00:27:29
¿lo veis chavales? 00:27:31
dime hijo 00:27:33
en la primera derivada 00:27:34
le igualo a 0 y obtengo valores 00:27:39
obtengo estos dos valores 00:27:41
en la segunda 00:27:43
en la segunda 00:27:45
v segunda de 0,6 00:27:46
v segunda de 0,2 00:27:50
Que la segunda derivada me sale mayor que cero, un mínimo. 00:27:52
Que la segunda derivada me sale menor que cero, un máximo. 00:27:55
¿Vale? 00:27:58
Al revés. 00:27:58
Sí, sí, sí, sí. 00:28:01
Pero, guau, pero vas a tardar más. 00:28:03
¿Vale? 00:28:06
Sí, claro, claro, claro. 00:28:08
Claro. 00:28:10
De hecho, fíjate, inténtalo hacer en casa. 00:28:11
Tú haces esto de aquí, ¿vale? 00:28:15
Tienes 0,6, pero tienes tres intervalos, ¿vale? 00:28:17
tres intervalos de tal forma que el primer 00:28:22
intervalo te va a salir decreciente 00:28:24
el segundo creciente 00:28:26
y el tercero decreciente 00:28:28
¿vale? de hecho una cosilla para que 00:28:30
lo veáis, chavales, tenéis apuntado 00:28:32
chavales 00:28:35
tenéis apuntado aquí 00:28:36
la v de x 00:28:38
la v prima de x 00:28:39
y la v segunda de x, ¿lo tenéis apuntado? 00:28:42
¿sí? 00:28:45
a ver 00:28:55
claro, va por ti, hija 00:28:55
Vamos a ver. El Hugo. Entonces, chavales, fijaros. Decidme un momentillo cuál era v de x. Era 1,2 menos x, ¿no? Menos 2x al cuadrado, ¿verdad? Y aquí x, ¿verdad? 00:29:01
Borrar. 00:29:31
Esto sería x, ¿no? 00:29:38
Por 1,2 menos x al cuadrado. 00:29:40
¿Y por qué me da? 00:29:49
Ah, ya sé. 00:29:50
Así. 00:29:56
Esta es mi función, ¿vale? 00:29:57
De volumen. 00:29:58
No es la mejor que digamos, ¿no? 00:30:00
fijaros una cosilla aquí en esta es la función aquí hay una cosa que yo os 00:30:04
invito a que veáis algebra vale donde si yo le doy a extremos fijaros que me va a 00:30:09
marcar tanto el máximo como el mínimo vale me lo marca así directamente y lo 00:30:15
que quiero que veáis es la relación vale me podéis decir cuánto vale la primera 00:30:23
derivada bueno no da igual efe prima tengo aquí efe prima fijaros chavales 00:30:27
Entonces, fijaros aquí. ¿Qué ocurre, chavales, cuando yo hago la primera derivada, que es la azul? ¿Qué ocurre cuando la primera derivada es cero? ¿Lo veis? Que coincide con los máximos y con los mínimos. ¿Lo veis? Coincide. 00:30:35
¿Crees que ahora además me voy a ir a la segunda derivada? 00:30:55
Que no me la ha representado, se ha encolorado. 00:31:00
Y entonces, ¿qué veo en la segunda derivada? 00:31:03
Ah, no me cuadra. 00:31:10
No me cuadra. 00:31:14
A ver. 00:31:17
La segunda derivada... 00:31:25
Ah, claro, porque aquí está efectivamente. 00:31:26
Aquí donde está el cero, ¿vale, chavales? 00:31:28
Aquí está el cero, si os fijáis. 00:31:30
Aquí en el máximo, ¿lo veis aquí? 00:31:32
Aquí está el máximo. 00:31:34
¿Cuánto vale el signo de la segunda derivada? 00:31:35
Negativo, ¿verdad? 00:31:39
Y aquí que está el mínimo, ¿cuánto vale el valor de ese punto en la segunda derivada? 00:31:40
Positivo. 00:31:46
¿Qué creéis que ocurre en el 0,4, chavales? 00:31:47
¿Qué creéis que en el 0,4 que va en la segunda derivada es un 0? 00:31:50
¿Qué es lo que tenemos aquí? 00:31:54
Un cambio de curvatura. 00:31:56
¿Qué ocurre? ¿Cómo se llaman los puntos que son cambios de curvatura? 00:31:57
Los puntos de inflexión. 00:32:02
Aquí tenemos un punto de inflexión. 00:32:03
Entonces, está todo súper relacionado, ¿vale? 00:32:05
Valoración:
  • 1
  • 2
  • 3
  • 4
  • 5
Eres el primero. Inicia sesión para valorar el vídeo.
Idioma/s:
es
Idioma/s subtítulos:
es
Materias:
Matemáticas
Niveles educativos:
▼ Mostrar / ocultar niveles
  • Bachillerato
    • Segundo Curso
Autor/es:
Roberto Aznar
Subido por:
Roberto A.
Licencia:
Reconocimiento - No comercial - Compartir igual
Visualizaciones:
5
Fecha:
23 de febrero de 2026 - 22:07
Visibilidad:
Público
Centro:
IES JIMENA MENÉNDEZ PIDAL
Duración:
32′ 27″
Relación de aspecto:
1.97:1
Resolución:
1024x520 píxeles
Tamaño:
53.53 MBytes

Del mismo autor…

Ver más del mismo autor

Comentarios

Para publicar comentarios debes entrar con tu nombre de usuario de EducaMadrid.

Comentarios

Este vídeo todavía no tiene comentarios. Sé el primero en comentar.



EducaMadrid, Plataforma Educativa de la Comunidad de Madrid

Plataforma Educativa EducaMadrid