Saltar navegación

Activa JavaScript para disfrutar de los vídeos de la Mediateca.

Ejercicios de continuidad de funciones - Contenido educativo

Ajuste de pantalla

El ajuste de pantalla se aprecia al ver el vídeo en pantalla completa. Elige la presentación que más te guste:

Subido el 20 de enero de 2026 por Roberto A.

3 visualizaciones

Descargar la transcripción

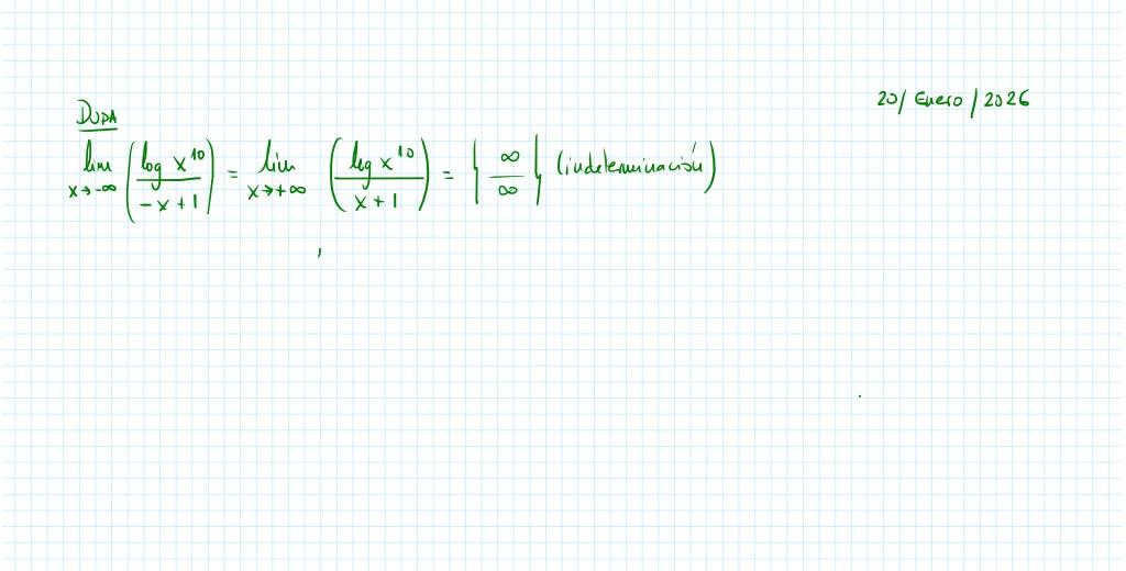
Bueno, hoy es San Sebastián, el patrón de mi pueblo. Venga, el 20 de enero. 00:00:00
Venga, ahí hay una duda, ¿no? 00:00:08
Venga, Rayito, arranca. 00:00:11
Sí, esa la vamos a ver más adelante, ¿vale? 00:00:17
¿Vale? ¿Esa era la duda? 00:00:26
Dime 00:00:28
Venga, me lo dices, lo hacemos 00:00:37
Cuando x tiende a menos infinito 00:00:39
¿De qué? 00:00:42
¿De logaritmo de x elevado a 10? 00:00:43
Logaritmo de en base 10 00:00:46
Ah, logaritmo de x elevado a 10 00:00:47
¿Entre? 00:00:51
Entre menos x más 1. 00:00:54
De momento, lo primero que vamos a hacer es que x sea más infinito, ¿vale? 00:01:01
Un momentillo, Claudia. 00:01:10
Como el x elevado a 10, 10 es un número par, se queda exactamente igual, 00:01:12
y abajo sería x más 1, ¿vale? 00:01:18
Es decir, como la x está elevado a 1, sí le cambio el sí, ¿vale? 00:01:22
Y ahora sería más infinito. 00:01:26
Y esto realmente sería un infinito partido de infinito, que es una indeterminación. Hasta ahí estamos de acuerdo. Pero ¿qué ocurre? Yo aquí no tengo, aunque es una función racional, no es una función racional con polinomio, no puedo dividir por el grado mayor del denominador. 00:01:27
¿Vale? Entonces aquí lo que yo tengo que hacer es una comparación de infinito. ¿Vale? Entonces, ¿qué es lo que ocurre? Pues que hay una premisa donde a elevado a x es mucho mayor que x elevado a n y es mucho mayor que el logaritmo de x. 00:01:47
¿Vale? ¿Os recordáis eso o no? 00:02:07
¿Sí? 00:02:10
La ficha está de todas formas 00:02:10
No sé si tengo la ficha abierta 00:02:12
Y si no, vamos un momentín pistolín 00:02:14
A la lula virtual 00:02:17
Esa gran desconocida 00:02:18
¿Vale? Y ahí tenemos la comparativa 00:02:20
Entonces, si yo hago esa comparativa 00:02:23
¿Qué crece más? 00:02:26
¿Una función polinómica 00:02:27
O una función 00:02:30
Logarítmica 00:02:31
Polinómica 00:02:33
Por lo tanto, por comparación de infinito, ¿cuánto sería ese límite que me estamos viendo? 00:02:36
Cero, ¿no? 00:02:43
Sí. 00:02:45
Me ha dado como una mala príncipe pensar que te había pasado algo en la cabeza. 00:02:47
Y digo, hostia, me digo, menudo opción que se ha dado. 00:02:50
Y son los caras. 00:02:54
Vale, chavales, entonces, he hecho, por comparación de infinito, es cero. 00:02:56
¿Vale? 00:03:03
Por comparación de infinitos, los logaritmos al final crecen mucho más lento, ¿vale? Creo que esto lo puse en GeoGebra, creo, ¿no? 00:03:04
La función. Entonces, ¿qué es lo que ocurre? Basándonos en esto, esto por lo, ¿vale? Por comparación de infinitos, ¿vale? Entonces, 0, ¿de acuerdo? 00:03:21
Porque resulta que una función, lo diré, una función, mira aquí quiero ir, una función exponencial, perdona, 00:03:34
crece mucho más rápido que una función polinómica y mucho más rápido que una función logarítmica, ¿vale? 00:03:49
Entonces, eso de aquí, chavales, súper importante. 00:04:00
¿Vale? Este razonamiento de aquí. 00:04:04
Entonces, claro, aunque sea de grado 1, la x más 1 es de este tipo. 00:04:09
¿Vale? Esto es x más 1. 00:04:14
Y aquí, aunque tenga un x elevado a 10, esto al final es logaritmo de x. 00:04:17
No deja de ser un logaritmo, aunque sea logaritmo de x elevado a 10. 00:04:23
¿De acuerdo? Y entonces al final, pues esto es un 0. 00:04:28
¿Vale, chavales? 00:04:31
¿Sí? 00:04:32
chavales, os dije que mirarais 00:04:33
que me da la sensación de que muchos de ustedes 00:04:37
no lo han mirado 00:04:39
pero 00:04:40
voy a recopilar 00:04:41
para lo de la continuidad 00:04:45
voy a echar mano 00:04:47
de estos 00:04:48
de estas 31 apps 00:04:50
por lo tanto voy a ir un poco rápido porque se supone 00:04:52
que la habéis 00:04:55
tenido que ver 00:04:56
entonces lo que quiero ir 00:04:58
es un poco a 00:05:01
Sobre todo al detalle de qué es lo que tenemos que tener en cuenta cuando nos piden continuidad. Y sobre todo, súper importante es, nosotros tenemos que saber hallar los dominios de las funciones. Y esto me refiero a funciones definidas a propósito. 00:05:02
¿De acuerdo? Entonces, cuando yo tengo que hacer, me refiero, cuando a mí me piden en un ejercicio, estudia la continuidad en un punto, yo me tengo que centrar en ese punto. Pero algunos ejercicios son más completos y me dicen, estudia la continuidad de la función. 00:05:15
Entonces, cuando yo tengo una función a trozos, evidentemente lo tengo que estudiar ahí, en esos puntos de ruptura, digamos, de la definición de la función, pero también lo tendría que estudiar en aquellos puntos del dominio que me afecten a mí, a mi trozo. 00:05:33
¿vale? lo vamos a ver 00:05:57
este no es, lo vamos a ver 00:05:59
un poquito más detenidamente 00:06:02
a ver 00:06:03
¿dónde tenía 00:06:05
yo esto? 00:06:09
aquí, me lo apunto de repaso 00:06:11
vale, entonces chavales 00:06:12
no sé si me estáis entendiendo 00:06:15
yo por ejemplo 00:06:17
¡oh yeah! 00:06:19
¿eh? ¿me ganas el nivel? 00:06:25
Eso está muy bien 00:06:27
Bueno, no sé por qué internet va así 00:06:29
Pero entonces, chavales 00:06:34
Normalmente, ¿qué nos van a dar? 00:06:36
Nos van a dar funciones 00:06:38
Polinómicas, ¿vale? 00:06:40
Nos van a dar funciones racionales 00:06:41
Nos pueden dar también funciones 00:06:44
Con radicales y funciones logarítmicas 00:06:46
¿Qué tenemos que saber nosotros 00:06:48
De las funciones logarítmicas? 00:06:50
¿Qué tenemos que saber nosotros de las funciones logarítmicas? 00:06:51
¿Cómo tiene que ser 00:06:54
argumento siempre una función logarítmica mayor que cero positivo de 00:06:55
acuerdo y que tenemos que saber de una función radical que el argumento 00:07:00
también tiene que ser mayor o igual que que siempre 00:07:05
cuando no es 3 dejar móvil 00:07:11
cuando es imparable que el índice vale es decir si yo tengo una función radical 00:07:17
tengo una raíz, si el índice es par 00:07:24
no me queda más remedio que el argumento 00:07:26
el radicando tiene que ser positivo 00:07:28
pero si es impar me da igual 00:07:30
el signo que tenga 00:07:32
entonces eso lo tengo que tener yo claro 00:07:34
de cara a 00:07:36
lo diré 00:07:38
lo tengo que tener claro 00:07:40
de cara a 00:07:41
los dominios 00:07:43
entonces vamos a hacer un repaso rápido 00:07:45
de donde nos quedamos ayer 00:07:48
en lo que es la continuidad de una función en un punto 00:07:49
una función es continua en un punto 00:07:52
si existe el límite de la función en ese punto 00:07:54
y, además, coincide con el valor de la función. 00:07:56
Es decir, esto que tenemos aquí a la derecha, ¿vale? 00:07:59
Entonces, ¿cuándo es una discontinuidad evitable? 00:08:03
Una discontinuidad evitable es cuando existe ese límite, ¿vale? 00:08:06
Existe ese límite, pero no es igual al valor de la función en ese punto. 00:08:10
Es más, hasta puede pasar de que no exista el valor de la función 00:08:15
en ese punto porque no esté definido, ¿vale? 00:08:20
Pero puede existir el límite, que eso es lo más importante. 00:08:23
Entonces, si existe el límite, ¿de acuerdo? 00:08:27
Pero es diferente al valor de la función en ese punto, 00:08:30
bien porque no exista o bien porque valga otra cosa, 00:08:33
entonces es una discontinuidad evitable. 00:08:36
Y, sin embargo, bueno, aquí es salto, ¿eh? 00:08:39
No es catalán. 00:08:42
Entonces, la discontinuidad de salto finito o infinito es 00:08:43
si no existe el on límite y si hay alguno de los límites laterales 00:08:46
que sea infinito, pues entonces una discontinuidad de salto infinito. 00:08:52
Y si los dos valores son finitos, es lo que definimos ayer como saltos. 00:08:57
¿Acordáis cuál era la definición de salto en una función? 00:09:02
¿Que lo vimos ayer? 00:09:07
¡Guau! 00:09:10
Digo analíticamente, ¿cómo calculas tú el salto? 00:09:11
El salto, lo recuerdo, era el valor absoluto del límite de f de x. 00:09:17
Cuando x tiende a a por la derecha o por la izquierda me da igual menos, como es el valor absoluto, me da igual resta una que otra, ¿vale? Cuando tiende a a la izquierda menos la derecha. Si uno de los dos, evidentemente, si uno de los dos es infinito, esa diferencia ¿cuánto va a valer, chavales? Infinito. Por lo tanto, un salto infinito. 00:09:23
Si los dos son finitos, pues si yo hago la resta me va a dar otro valor finito. 00:09:44
Por lo tanto, el salto, ¿cómo va a ser? 00:09:50
¿Cómo va a ser el salto si los dos son finitos? 00:09:53
Finito. 00:09:56
¿Vale? Esto ya lo teníamos copiado de ayer. 00:09:57
¿Vale? ¿Lo puedo borrar? 00:09:59
Entonces, chavales, eso es la teoría con la cual acabamos ayer. 00:10:03
¿Vale? 00:10:07
Y ahora lo que quiero ver rápido con ustedes, porque se supone que esto ya lo tenías que haber visto, 00:10:07
Y lo que quiero insistir es en las funciones polinómicas. 00:10:12
Las funciones polinómicas son un puntazo, ¿vale? 00:10:19
Una función polinómica es, por ejemplo, esta de aquí. 00:10:21
¿De acuerdo? Entonces, dime. 00:10:25
Efectivamente, con que uno de los dos sea infinito, ¿vale? 00:10:30
Ya el salto es de salto infinito. 00:10:34
Tírame el chiste, venga, por fin. 00:10:35
Entonces, ¿qué ocurre? 00:10:37
Las funciones polinómicas son un puntazo, 00:10:38
primero porque siempre son continuas, es decir, yo puedo dibujar siempre una función polinómica, 00:10:41
como decía Claudia antes, sin levantar el lápiz, ¿de acuerdo? 00:10:46
Esa es una particularidad muy importante de las funciones polinómicas, 00:10:50
por lo tanto, ¿qué sabemos en principio? Que su dominio es todos los reales, 00:10:54
eso también es un puntazo de cara al tema de representación de funciones, 00:10:59
su dominio son todos los reales, pero además es continuo en todo su dominio, 00:11:03
Es decir, es continua en todo R. 00:11:09
Luego vamos a ver las funciones racionales. 00:11:10
En las funciones racionales tenemos un numerador y un denominador. 00:11:12
¿De acuerdo? 00:11:15
Entonces, son continuas normalmente en su dominio. 00:11:16
¿Eso qué significa? 00:11:19
Que todo el dominio es R. 00:11:20
No. 00:11:22
¿Vale? 00:11:23
Está definido un dominio. 00:11:23
Y un dominio es aquel en el cual son todos los valores que no anulan el denominador. 00:11:25
¿Vale? 00:11:30
Entonces, cuando yo tenga una función racional, siempre me tengo que ir al denominador. 00:11:30
Y me tengo que ir al denominador 00:11:35
Porque una fracción 00:11:37
¿Qué es realmente una fracción? 00:11:39
¿Una? 00:11:41
Un reparto 00:11:43
Y un reparto al final 00:11:44
¿Qué operación matemática es? 00:11:45
Una división 00:11:47
¿Y qué es lo que no sabemos, chavales? 00:11:48
¿Qué es lo que no sabemos dividir? 00:11:50
¿Por cuánto? 00:11:51
Por cero 00:11:52
¿De acuerdo? 00:11:53
Entonces, lo que hago es 00:11:54
Mi denominador lo igualo a cero 00:11:55
¿Y por qué? 00:11:57
Porque yo no puedo dividir por cero 00:11:58
Y ese valor, que en este caso sería menos uno 00:12:00
¿Vale? 00:12:03
no pertenecería al dominio 00:12:03
¿y qué ocurre ahí si yo tengo que estudiar 00:12:05
la continuidad, chavales? 00:12:08
pues que yo voy a estudiar la continuidad 00:12:10
precisamente en el x igual a menos 1 00:12:12
¿lo veis? dime 00:12:14
no, no, no 00:12:15
el 0 tiene múltiplos 00:12:22
el 0 tiene múltiplos, de hecho 00:12:24
todo el 0 00:12:26
es un múltiplo de todos los números 00:12:28
¿vale? de hecho el 0 00:12:30
es el único múltiplo menor que existe de un número. 00:12:32
Si tú te das cuenta, ¿cuál es tu número favorito, Copetín? 00:12:36
El 7. 00:12:39
Pues si tú haces la tabla de multiplicar, 00:12:40
si en el 0 tienes 7 por 1, 14, 21, 28, 35, 42, 49, ¿sí o no? 00:12:42
Si te das cuenta, todos los múltiplos 00:12:48
son siempre mayores o iguales que ese número, 00:12:50
excepto el 0. 00:12:54
El 0 es múltiplo de todos. 00:12:55
Luego, todos los números son divisores de 0. 00:12:58
Fíjate, todos los números son divisores de cero 00:13:02
Pero cero no es divisor de ningún número 00:13:04
Qué feo es el juego de palabras, ¿vale? 00:13:07
Lo que no sabemos nosotros nunca es dividir entre cero 00:13:08
¿De acuerdo? 00:13:12
¿Vale? Pero el cero es múltiplo de todos los números 00:13:13
¿Por qué? Porque tú cualquier número lo multiplicas por cero y te da cero 00:13:15
¿Vale? 00:13:18
Entonces, chavales, primero, importante 00:13:20
Hallamos el dominio 00:13:22
El dominio es igualando a cero el denominador 00:13:23
Entonces, el dominio son todos los reales menos aquellos puntos 00:13:26
que me eliminan el denominador, ¿de acuerdo? 00:13:31
Y entonces, ¿qué es lo que ocurre? 00:13:34
Pues que yo aquí, chavales, si yo sustituyo, 00:13:36
porque lo primero que te voy a callar es del límite, 00:13:39
si yo sustituyo me doy cuenta que precisamente en el menos 1 00:13:41
me anula el denominador, ¿verdad? 00:13:45
¿Lo veis? Me anula el denominador. 00:13:48
Entonces yo ahí tengo que hacer los límites laterales. 00:13:50
Tengo que hacer los límites laterales. 00:13:54
Y entonces, los límites laterales, ¿qué ocurre? 00:13:56
Que uno me va a salir seguramente 00:13:58
Bueno, no tiene por qué 00:14:01
Me van a salir infinitos 00:14:03
¿Vale? Normalmente sale uno más infinito 00:14:05
Y otro menos infinito 00:14:08
Pero eso no tiene por qué 00:14:08
Me pueden salir los dos infinitos 00:14:10
O me pueden salir los dos menos infinitos 00:14:12
Entonces, chavales 00:14:14
¿Cómo opero para hacer esto? 00:14:15
Yo sustituyo 00:14:17
Me sale arriba el menos tres 00:14:17
Y yo lo que tengo que quedarme con el cero 00:14:19
Es con el signo 00:14:21
¿Vale? Me tengo que quedar con el signo del cero 00:14:23
¿De acuerdo? 00:14:25
Entonces, ¿qué es lo que ocurre? 00:14:26
Yo aquí, por ejemplo, me voy a menos 1,1 porque es a la izquierda. 00:14:28
Menos 1,1 menos 2 es menos 1,1 más 1. 00:14:32
Esto lo hago con la calculadora y me sale mayor que 0. 00:14:36
¿De acuerdo? 00:14:39
Entonces, menos 3. 00:14:40
Ay, me he equivocado aquí. 00:14:42
Fíjate, lo he puesto al revés, ¿no? 00:14:44
A ver, si yo me voy aquí a menos 2, esto es menos 4, menos 2 más 1 es negativo. 00:14:46
Ah, no, para aquí me he equivocado. 00:14:52
Esto es un menor y aquí un mayor, ¿vale? 00:14:53
me he equivocado, pero aquí está bien 00:14:57
¿de acuerdo? entonces esto es 00:14:59
un más infinito y esto es un menos infinito 00:15:01
¿cuánto va? 00:15:03
no estaría bien porque es menos por menos 00:15:04
menos entre menos 00:15:06
sí, pero digo que esto de aquí, esto es un menos 00:15:07
y esto es un mayor, ¿vale? es lo que me he equivocado 00:15:10
¿vale? tiene que ir a con eso 00:15:12
y entonces chavales, ¿cuánto vale 00:15:14
el salto? aquí, ¿cuánto vale 00:15:16
el salto? infinito 00:15:18
entonces es una discontinuidad 00:15:20
de salto infinito y fijaros 00:15:22
aquí, tengo una función 00:15:24
racional racional donde los valores del denominador si os fijáis no anulan el numerador y esto es 00:15:25
importante vale no anulan el numerador ahora vamos a ver un poquito más adelante qué ocurre 00:15:34
cuando anula también el numerador tendríamos aquí cero partido de cero vale chavales sí o no pero yo 00:15:42
aquí lo que tengo es un partido de cero de acuerdo entonces siempre hago lo mismo cuando yo tengo un 00:15:49
k partido de 0 tengo que hacer los 00:15:55
límites laterales. ¿De acuerdo? 00:15:57
Yo hago los límites laterales 00:15:59
siempre voy a decidir 00:16:01
ese valor de k partido por el 0 00:16:03
y a mí lo que me interesa de ese 0 es 00:16:05
saber si es positivo o negativo. 00:16:07
Cojo un valor a la izquierda, un valor 00:16:10
a la derecha, lo sustituyo y sé 00:16:11
que no me va a salir 00:16:13
el valor 0 porque yo 00:16:15
he cogido aquí una aproximación. Lo que 00:16:17
a mí me interesa es el signo 00:16:19
únicamente. Me da igual lo que ocurra 00:16:21
aquí. ¿Vale? Me interesa 00:16:23
el signo. ¿Vale, chavales? 00:16:25
Dime. Ah, perdón. 00:16:27
¿Vale? Entonces, 00:16:29
al ser más o menos infinito, al menos 00:16:31
uno de los dos límites laterales, en este caso 00:16:33
es ambos, existe una discontinuidad 00:16:35
de salto infinito en x menos 1. 00:16:37
Entonces tenéis que responder la pregunta. 00:16:39
f de x presenta una discontinuidad 00:16:41
de salto infinito en x 00:16:43
igual a menos 1. Dime. 00:16:45
Sí. Entonces, 00:16:47
pero deja el móvil aquí, anda, gorrión. 00:16:49
Entonces, ¿qué ocurre? 00:16:51
¿Qué ocurre? Que 00:16:53
chavales, si a mí me dan esta función 00:16:55
esta función y me dicen 00:16:58
estudiame la continuidad 00:17:00
de esta función sin más 00:17:03
¿vale? me dicen 00:17:04
estudia la continuidad de esta función 00:17:06
sin más, entonces yo lo primero que tengo que 00:17:08
hacer es el dominio, ver 00:17:10
los valores donde no pertenece 00:17:12
al dominio y ahí tengo que hacer 00:17:14
sustituyo, si me sale 00:17:16
k partido de 0, hago los límites 00:17:18
laterales, ¿vale? y seguramente 00:17:20
pues me sale una discontinuidad de salto 00:17:22
infinito seguramente. ¿Vale, chavales? 00:17:24
Sobre todo si me sale k partido de 0 00:17:27
es siempre una discontinuidad de salto infinito. 00:17:29
¿Vale? Ahora si me 00:17:31
dicen, estudiame la 00:17:32
continuidad de esta función, por 00:17:34
ejemplo, en x igual a 2. 00:17:36
¿Cuál sería la 00:17:39
continuidad de esta función en 00:17:41
x igual a 2? ¿Qué es lo que tengo que hacer siempre? 00:17:42
Hago el límite 00:17:45
en 2. ¿Y qué me ocurre en 2? 00:17:46
Que me sale 0 partido de 3. 00:17:48
0 partido de 3, ¿cuánto es? 00:17:51
0. Existe el límite 00:17:52
¿Cuándo es x tienda 2? 00:17:54
Sí, ¿cuánto vale? 00:17:56
¿Existe f de 2? 00:17:58
Sí, porque su dominio son todos los reales menos menos 1 00:18:01
Existe 00:18:04
Y de hecho, ¿cuánto vale f de 2? 00:18:05
Entonces, si existe el límite y es igual al valor de la función 00:18:08
¿Cómo es la función en x igual a 2? 00:18:11
Continúa 00:18:13
¿Me van a preguntar seguramente en x igual a 2? 00:18:14
¿Dónde me van a preguntar? 00:18:17
O de toda la función 00:18:19
o directamente haya, estudia, más que haya, 00:18:21
estudia la continuidad de la función en x igual a menos 1, ¿vale? 00:18:25
Y entonces es esto que está aquí desarrollado. 00:18:28
¿Veis la diferencia, chavales? 00:18:31
¿Veis la diferencia? 00:18:33
Si me dicen estudia la continuidad de la función, 00:18:34
es mucho más complicado si me dicen estudia la continuidad 00:18:37
de una función en un punto, porque yo tengo que ver, 00:18:40
sobre todo en las racionales, donde anulan el denominador 00:18:43
y en la de trozos, y en las funciones a trozos, 00:18:46
tengo que ver, chavales, tengo que ver 00:18:49
si realmente 00:18:51
cómo es mis funciones definidas a trozos 00:18:53
y sobre todo si uno de los trozos 00:18:55
es una racional, si ese 00:18:57
valor 00:18:59
que me aluna el denominador 00:19:00
me afecta a mi parte 00:19:03
de la función o no. No sé 00:19:05
si estáis entendiendo esto último. 00:19:07
Es decir, si a mí resulta 00:19:09
que yo tengo una función a trozos 00:19:11
y ahora esta de aquí está 00:19:13
definida para x mayores 00:19:15
que 5, ¿vale? 00:19:17
Esta función es esta, pero si la x es mayor que 5. 00:19:19
¿Me está afectando el menos 1, chavales? 00:19:23
No. 00:19:26
No. 00:19:27
¿De acuerdo? 00:19:28
Entonces, ¿cómo va a ser esta función para x mayor o igual que 5? 00:19:29
Directamente siempre es continua. 00:19:33
¿Vale? 00:19:35
¿Entendéis eso? 00:19:36
A ver si luego hacemos un ejercicio sobre tal. 00:19:37
Pero me interesa que os quedéis con la idea. 00:19:39
Por ahora bien, chavales, aquí tengo una rata, ¿eh? 00:19:41
Aquí tengo una rata. 00:19:44
Esto es menor y esto es mayor. 00:19:45
fijaros, si yo 00:19:46
represento gráficamente 00:19:49
esta función, si yo represento gráficamente 00:19:50
esta función, precisamente 00:19:53
en el menos uno 00:19:54
se me va a la izquierda 00:19:56
a más infinito 00:19:59
recordad, a la izquierda a más infinito 00:20:00
y a la derecha se me va 00:20:03
a menos infinito, ¿lo veis? 00:20:05
tengo una asíntota 00:20:07
vertical 00:20:08
Ahora mismo para representar 00:20:10
no, eso ya es para el siguiente 00:20:18
00:20:19
Sí, sí 00:20:22
¿Alguna de las palabras de las asintotas horizontales? 00:20:24
Asintotas horizontales, sí 00:20:28
Las asintotas horizontales 00:20:29
tú haces el límite siempre 00:20:31
en más infinito y en menos infinito 00:20:33
y si te da un valor 00:20:36
finito, fíjate 00:20:38
entonces hay una asíntota 00:20:40
horizontal 00:20:42
¿vale? aquí es al contrario, fijaros 00:20:44
una asíntota vertical 00:20:46
es el límite en un punto 00:20:48
y me da más infinito o menos infinito 00:20:50
las asíntotas horizontales 00:20:52
que eso ya lo veremos más adelante 00:20:54
las asíntotas horizontales yo siempre 00:20:56
hago los límites en más infinito y en menos 00:20:58
infinito y si me da un valor finito 00:21:00
entonces hay una asíntota horizontal 00:21:02
¿y qué se te vuelve? 00:21:04
no, tú puedes tener una asíntota 00:21:06
en el más infinito horizontal 00:21:09
y además ser diferente 00:21:11
a la asíntota 00:21:12
horizontal en el menos infinito 00:21:13
¿vale? 00:21:17
sí, sí, sí 00:21:20
sí, sí 00:21:22
oblicua solamente ocurre 00:21:23
bueno, oblicua 00:21:26
oblicua 00:21:27
solo ocurre cuando yo tengo 00:21:29
una función racional 00:21:32
¿vale? y el grado del numerador 00:21:33
es un grado mayor 00:21:36
que el grado del denominador, ¿vale? 00:21:38
Que ahí se halla va la M, se halla va la N con una fórmula y demás, ¿vale? 00:21:41
Pero eso ya lo veremos más adelante. 00:21:46
Entonces, chavales, si yo tengo este ejemplo, 00:21:49
esto es una función racional, ¿verdad? 00:21:53
Entonces, si me dice estudia la continuidad de esta función, 00:21:55
yo lo primero que tengo que hacer es el dominio. 00:21:59
Y el dominio de una función racional, ¿qué es lo primero que tengo que hacer? 00:22:00
ver 00:22:03
el que anula el denominador 00:22:06
¿vale? porque es un reparto, es una división 00:22:08
entonces no se dividía entre 0 00:22:11
x cuadrado menos 25 00:22:12
lo igualo a 0, x cuadrado es 25 00:22:14
chaval, esto es súper importante 00:22:16
x es igual a 00:22:18
más menos, yo pongo artificialmente 00:22:20
más menos raíz de 25 00:22:23
pero la raíz de 25 00:22:24
siempre es 5 00:22:26
hay gente que me dice que la raíz de 25 00:22:28
es más menos 5, mentira 00:22:31
la raíz de 25 siempre 5 00:22:32
¿de acuerdo? lo único que yo aquí 00:22:34
para poder despejar esta x artificialmente 00:22:36
pongo aquí un más menos 00:22:39
y entonces 00:22:40
¿eh? sorry 00:22:41
sí, porque te anula 00:22:46
te anula, sí 00:22:49
sí, sí, sí, el índice impar es 00:22:50
únicamente para ver 00:22:53
si me afecta 00:22:54
bueno, índice impar 00:22:57
en el x al cuadrado aquí al cubo 00:23:01
Pues igual, tú vas a tener tres soluciones. 00:23:03
Si fuese x al cubo, pues aquí sería la raíz cúbica del número, ¿vale? 00:23:06
Lo que no se pone es el más menos, eso sí. 00:23:13
Entonces, el dominio, ¿qué sería, chavales? 00:23:16
El menos 5 y el 5. 00:23:18
Y entonces, ¿dónde voy a estudiar la continuidad, chavales? 00:23:21
En el menos 5 y en el 5, ¿vale? 00:23:25
Entonces, para x igual a menos 5, este valor anula. 00:23:28
el denominador, pero no el numerador 00:23:32
de hecho, si yo sustituyo 00:23:34
lo primero que me sale, menos 10 00:23:36
partido de 0, es decir, ya estoy en la 00:23:38
indeterminación del tipo 00:23:40
que es 00:23:42
K entre 0, entonces 00:23:43
ahí que voy a tener siempre que tengo K entre 0 00:23:46
pues voy a tener una 00:23:48
seguramente una asíntota 00:23:50
vertical y voy a 00:23:52
tener una discontinuidad de salto infinito 00:23:54
de hecho, yo hago los límites laterales 00:23:56
es decir, cuando me sale K partido de 0 00:23:58
tengo que hacer los límites laterales 00:24:00
hago los límites laterales, sustituyo 00:24:02
aquí igual, ¿vale? 00:24:04
os habéis equivocado 00:24:06
os habéis equivocado 00:24:08
por la cara, ¿no? 00:24:11
esto en principio no se corresponde con esto 00:24:12
¿vale, chavales? 00:24:14
esto no se corresponde, lo podría hacer 00:24:16
aquí me voy a hacer 6 cuadrados 00:24:18
6 menos 5 es 1, ¿verdad? 00:24:20
6 menos 5 es 1, y 6 y 36 00:24:23
y tal, esto es al contrario 00:24:25
yo no sé qué me pasa, pero esto es mayor 00:24:26
y esto es menos, ¿vale? 00:24:28
Ya es la segunda rata. 00:24:30
Aquí, sin embargo, está bien puesto, ¿vale? 00:24:31
Aquí, sin embargo, está bien puesto. 00:24:33
Y entonces, menos entre más es menos 00:24:35
y menos entre menos es más, ¿de acuerdo? 00:24:37
Entonces, ¿qué? 00:24:40
Por facilitarme, ¿cómo es? 00:24:43
Ah, bueno, aquí es menos 5. 00:24:44
Aquí me iría a menos 6, ¿verdad? 00:24:46
Perdona. 00:24:47
Ah, entonces me he equivocado aquí, ¿no? 00:24:49
Menos 6 menos 5. 00:24:50
Hostia, ¿verdad? 00:24:52
Me he equivocado. 00:24:53
Esto está bien porque me he equivocado aquí. 00:24:53
Aquí es donde me he equivocado y aquí no. 00:24:55
no, porque menos 6 menos 5 00:24:58
esto es menos 11 00:25:01
y ahora, menos 6 al cuadrado es 36 00:25:02
esto es la positiva, menos entre más es menos 00:25:05
sin embargo aquí he puesto yo más 00:25:07
¿vale? aquí me he equivocado 00:25:09
aquí, aquí y aquí 00:25:11
¿vale? tened cuidado yo con eso 00:25:13
¿vale chavales? ¿si o no? 00:25:14
a ver si lo repaso 00:25:17
aquí esto me saldría negativo 00:25:18
que está bien, esto me sale positivo 00:25:21
con lo cual esto es un 0 negativo y esto es un 0 positivo 00:25:23
¿vale? 00:25:25
lo rojo es 00:25:26
yo tengo que coger un valor de menos 5 a la izquierda 00:25:38
¿cuál es un valor de menos 5 a la izquierda? 00:25:40
menos 6, menos 5 00:25:42
menos 11, es negativo, ¿vale? 00:25:44
menos 6 al cuadrado 00:25:47
¿no? 00:25:51
menos por menos 00:25:53
al cuadrado 00:25:54
36 menos 25 es 9 00:25:56
menos entre más es menos 00:25:58
aquí es un menos, menos entre menos 00:25:59
aquí sería más, y aquí 00:26:02
esto es al contrario, esto es positivo 00:26:03
menos entre más, aquí sería un menos 00:26:05
vale chavales 00:26:08
antes me había equivocado en lo rojo 00:26:10
y no en lo morado y ahora al contrario 00:26:12
me he equivocado en lo morado y no en lo rojo 00:26:14
tened cuidado con eso, ¿vale? 00:26:16
¿sí o no? 00:26:18
¿eh? 00:26:21
el morado 00:26:26
es que me sale negativo aquí 00:26:27
O sea, no, perdonad 00:26:29
perdonad que se me ha ido la olla 00:26:38
vale, perdonad, está bien 00:26:39
está bien, chavales 00:26:41
fijaros, una cosa, claro, yo aquí he hecho 00:26:44
todo, vale, yo aquí estoy 00:26:46
vale, perdonad, perdonad 00:26:47
yo aquí he hecho 00:26:49
todo, vale, he hecho todo 00:26:52
entonces, perfecto, esto es menos cero 00:26:53
por lo tanto esto es menos infinito y tal 00:26:56
Yo normalmente lo que hago, como tengo aquí el menos 10, yo lo que hago únicamente es el denominador, ¿vale? 00:26:57
El denominador. 00:27:05
Y entonces el denominador que hago, menos 6 al cuadrado de 36 menos 25 es positivo, entonces menos entre más es menos, ¿vale? 00:27:07
Y aquí sería menos 4, menos 4 es 16, menos 25 es negativo, menos entre menos es más. 00:27:14
Es decir, está todo bien, ¿vale? Está todo bien, perdona. 00:27:21
Y seguramente el otro también esté bien. 00:27:25
¿Vale, chavales? Entonces, ¿qué ocurre aquí? ¿Qué ocurre aquí? Pues que, ¿cómo son los límites laterales? 00:27:27
Aunque sea uno de ellos, es infinito, ¿verdad? ¿Sí o no? Entonces, ¿qué es lo que ocurre? 00:27:34
Una discontinuidad de salto infinito. ¿Y qué tipo de asíntota es? Vertical. 00:27:39
¿Qué ocurre en el x igual a 5? Pues igual. Es un valor que anula tanto el numerador como el denominador. 00:27:45
Fijaros, ¿eh? Anula tanto el numerador como el denominador. Entonces, ¿qué ocurre? 00:27:52
Si anula el numerador y el denominador 00:27:56
Se van a poder ir 00:28:00
¿De acuerdo? 00:28:01
Eso significa que yo este de abajo 00:28:03
Lo puedo factorizar 00:28:05
X cuadrado menos 25 00:28:06
Que es una 00:28:08
Identidad notable 00:28:09
Es suma por diferencia 00:28:11
¿De acuerdo? 00:28:13
Entonces fijaros 00:28:15
Este X menos 5 00:28:16
Se me va con este X menos 5 00:28:17
¿Lo veis? 00:28:19
¿Y qué me queda? 00:28:20
1 partido de X más 5 00:28:21
¿Lo veis chavales o no? 00:28:24
¿Lo veis? 00:28:25
Cuando me anula numerador y denominador 00:28:27
Significa que se me va a ir ese factor 00:28:29
En los dos lados 00:28:32
¿Vale? 00:28:34
Y entonces yo esto, como es suma por diferencia 00:28:35
Este y este hasta luego maricarme 00:28:37
Y me queda mi función 1 partido de x más 5 00:28:39
Importante aquí, chavales 00:28:42
Importantísimo aquí 00:28:44
Súper importante, ¿vale? 00:28:46
Súper importante 00:28:48
Mi función original es esta de aquí 00:28:49
Que es una función racional 00:28:52
¿Vale? Entonces, yo en esta función racional lo primero que hago siempre es el dominio. ¿De acuerdo? Es el dominio. Si yo hago el dominio, sé que ni el 5 ni el menos 5 pertenecen. ¿Vale? Ni el 5 ni el menos 5 pertenecen. 00:28:54
Sin embargo, cuando yo sustituyo arriba y abajo por el menos, en el 5 en este caso, ¿vale? 00:29:13
Lo primero que luego tengo que hacer es, esos valores que me anulan el denominador, 00:29:21
los sustituyo rápidamente en el numerador y veo si hay alguno que lo anule, ¿vale? 00:29:25
Porque si es así, si es así, yo tengo la potestad de hacer todo esto 00:29:30
y luego todo el estudio de la función, en vez de hacerlo con esto de aquí, lo hago con esto de aquí. 00:29:35
¿vale? ¿entendéis lo que estoy 00:29:43
diciendo? para el dominio me 00:29:45
cojo la original, pero en el momento 00:29:47
que un valor del denominador 00:29:49
me anule, tanto numerador como 00:29:51
denominador, yo tengo la potencia 00:29:53
de cepillarme 00:29:55
esos factores comunes, ¿de acuerdo? 00:29:57
y trabajar ya únicamente 00:29:59
con esta función de aquí, ¿alguien me 00:30:01
sabe decir, recuerda, esta 00:30:03
función de aquí, ¿cómo se llamaba? 00:30:05
¿cómo se llamaba este 00:30:14
tipo de funciones? una 00:30:15
función de proporcionalidad 00:30:20
inversa. ¿Vale? 00:30:22
Una función de proporcionalidad inversa. 00:30:25
¿De acuerdo? ¿Sí o no? 00:30:28
Y entonces es mucho más fácil 00:30:29
ya trabajar con esto. Es más, 00:30:31
yo podía haber trabajado este límite 00:30:33
de aquí arriba, chavales. Este límite 00:30:35
de aquí arriba en vez de con esto, 00:30:37
con esto de aquí. ¿Vale? 00:30:39
El de arriba. Me sale 00:30:41
también un k partido de 0 00:30:43
en x de menos 5. 00:30:45
El de arriba es positivo y aquí voy 00:30:47
a izquierda y a derecha y me sale exactamente 00:30:49
lo mismo, ¿vale? Me sale exactamente lo mismo, ¿sí? Me sale la misma discontinuidad, me 00:30:51
sale la misma asíntota vertical, ¿de acuerdo? ¿Sí? ¿Pero qué me ocurre aquí en el x 00:30:57
igual a 5? Pues nada, yo hago su límite, me sale 0 partido de 0, yo sé que esto me 00:31:02
lo puedo cepillar y me queda ya esto de aquí, ¿vale? Hago el límite cuando x tiende a 5, 00:31:09
sustituyo, me sale un décimo, ¿vale? Como Alfonso, ¿vale? Entonces, me sale un décimo, 00:31:15
¿de acuerdo? ¿Y qué es lo que ocurre, chavales? ¿Qué es lo que ocurre? Pues que existe el 00:31:22
límite cuando x, el f de x, cuando x tiende a 5, sí. ¿Existe la función en x igual 00:31:28
las 5. Natillas. Natillas. No existe. No existe. Recuerda el dominio. El dominio eran todos los 00:31:36
reales más menos 5. Más menos 5, ¿vale? Entonces no existe. Como existe el límite, ¿vale? Y no 00:31:45
existe la función, entonces ¿qué tipo de discontinuidad es? Evitable. ¿Vale, chavales? 00:31:53
es una discontinuidad evitable. 00:31:59
¿Sí? 00:32:03
¿Estamos de acuerdo? 00:32:04
Sí. 00:32:05
¿Cómo se podría evitar esa discontinuidad? 00:32:06
¿Alguien me lo sabría decir? 00:32:09
¿Cómo podría evitar esa discontinuidad? 00:32:10
Con una función a trozos, perfectamente, 00:32:14
no hay otra forma. 00:32:16
Yo tengo una función a trozos 00:32:18
donde mi f de x vale esto 00:32:19
siempre y cuanto x sea distinto de 5 00:32:22
y para x igual a 5, 00:32:25
¿cuánto tendría que valer? 00:32:28
¿Un décimo? ¿Qué me lo ha dicho? 00:32:29
Muy bien, ¿no? Hasta es un fallo. 00:32:33
¿Lo entendéis, chavales? 00:32:35
¿Lo entendéis o no? 00:32:36
¿Sí? Vale. Entonces, chavales, 00:32:38
se cumple el primer punto de que 00:32:41
exista, no se cumple el segundo, entonces 00:32:44
es una discontinuidad evitable. 00:32:46
¿Lo entendemos todos? ¿Sí? 00:32:48
Venga. Si yo represento, 00:32:51
fijaros, esto era una función 00:32:52
de proporcionalidad inversa. ¿Os acordáis 00:32:54
de la función de proporcionalidad inversa que habéis criado 00:32:56
con ella. Desde chiquitito habéis jugado 00:32:58
a la Play con ella. 00:33:00
Bueno, pues aquí lo único que está desplazado. 00:33:02
¿Vale? Uno partido por X es lo mismo, 00:33:04
pero en el cero, ¿vale? 00:33:06
Esta proporcionalidad inversa. 00:33:08
¿Qué significa una proporcionalidad inversa, 00:33:10
chavales? Que a medida que va 00:33:12
creciendo los valores de X, 00:33:14
el de Y, ¿cómo se hace? 00:33:16
Más chico. Una proporcionalidad 00:33:18
inversa. ¿Vale, jóvenes? 00:33:20
¿Circing? Circing. 00:33:22
Venga. Otro ejemplito, 00:33:24
chavales. Tengo aquí 00:33:26
un x más 3 partido de x cuadrado 00:33:27
más 6x más 9, pues igual 00:33:30
me voy al 00:33:32
denominador, lo anulo a 0 00:33:33
veo que me sale una raíz 00:33:36
doble, es decir, esto sería igual 00:33:38
x más 00:33:40
3 al cuadrado, ¿vale? 00:33:42
esto es x más 3 al cuadrado, me lo puedo 00:33:44
cepillar y entonces, ¿cuál es mi 00:33:46
dominio? mi dominio son todos los 00:33:48
reales menos el menos 3, eso es 00:33:50
impecable, pero ahora 00:33:52
¿voy a trabajar con torto chaco este? 00:33:53
No, voy a trabajar ya con unos partidos de x más 3 que volvemos a tener que es una función de proporcionalidad inversa, ¿vale? Las funciones de proporcionalidad inversa siempre tenían una asíntota vertical en los valores canulas en el denominador y es una discontinuidad de salto infinito y lo vamos a comprobar aquí. 00:33:55
Yo compruebo, tengo que es 0 partido de 0, lo veis, hago subfactorización, me lo puedo cepillar y tengo 1 partido de 0. 00:34:15
Como tengo 1 partido de 0, es k partido de 0. ¿Qué tengo que hacer siempre que tengo k partido de 0? 00:34:25
Los límites laterales. Hago los límites laterales, veo que en uno sale menos infinito, en otro sale más infinito, 00:34:32
no existe el límite, ¿vale? 00:34:39
No existe el límite cuando x tiende a menos 3 00:34:42
y el salto, ¿cuánto vale el salto, Paula? 00:34:45
Dice aquí, ¿cuánto vale el salto? 00:34:49
¿Qué es el salto? 00:34:52
El salto de la red armonteño. 00:34:54
¿Qué es el salto, mi herma? 00:34:56
I don't know, I'm not from here. 00:34:59
I'm not sure. 00:35:01
Natilla, el salto es la diferencia 00:35:05
del límite de la función 00:35:07
a la izquierda y a la derecha. 00:35:09
Como uno vale menos infinito y el otro más infinito, 00:35:11
y es su valor absoluto, es infinito. 00:35:14
Una discontinuidad de salto infinito. 00:35:16
Y fijaros la función, ¿vale? 00:35:18
Esta es la función, aunque yo ponga aquí esto, 00:35:20
se trata y se dibuja exactamente igual que 1 partido de x más 3. 00:35:23
Es una discontinuidad de salto infinito. 00:35:28
Sí, hay una asíntota vertical en x igual a menos 3, ¿vale? 00:35:32
Entonces, chavales, resumen de la continuidad de funciones racionales. 00:35:37
Se calcula el dominio de la función y se localizan los valores que anulan el denominador. 00:35:41
Para cada uno de esos valores que anulan el denominador, se factoriza el numerador y denominador. 00:35:46
Se simplifican los factores comunes si los hay y ahora se estudia el comportamiento tras simplificar. 00:35:51
Si el factor que anula el denominador desaparece al simplificar, ¿vale? 00:35:57
Entonces una discontinuidad evitable es lo que vimos con el x igual a 5. 00:36:02
Si el factor que anula al denominador permanece, es una discontinuidad de salto infinito. 00:36:06
¿Vale, chavales? ¿Sí o no? 00:36:12
Y entonces, ¿qué ocurre? Antes de clasificar hay que preguntarse siempre qué valores no pertenecen al dominio, 00:36:16
si desaparecen al simplificar y si queda algún denominador cero. 00:36:22
¿De acuerdo? 00:36:26
Entonces, chavales, una función racional es continua en todo su dominio, 00:36:28
por lo tanto, solo puede haber problemas en los valores que anulan el denominador. 00:36:32
calculamos el dominio, factorizamos 00:36:35
numerador y denominador, simplificamos 00:36:38
los factores comunes y entonces 00:36:40
¿qué desaparece? el factor 00:36:42
canón al denominador, discontinuidad evitable 00:36:43
¿qué permanece? discontinuidad 00:36:46
salto infinito, ¿vale? 00:36:47
si al simplificar 00:36:50
se arregla, digamos, ¿vale? 00:36:52
esto es una regla memotécnica, si al simplificar 00:36:53
se arregla, es evitable 00:36:55
si no se arregla, porque no tiene arreglo 00:36:57
como ustedes, es infinito 00:37:00
¿vale? ¿sí o no, chavales? 00:37:01
venga, el numerador 00:37:03
valga cero, no significa 00:37:05
o no garantiza que sea 00:37:07
evitable, muchas veces nos ha pasado que el 00:37:09
denominador es cero y es una discontinuidad 00:37:11
evitable, si el resultado 00:37:13
tiende a más infinito menos infinito 00:37:15
el límite 00:37:17
no existe y aunque 00:37:19
los límites laterales sean iguales 00:37:21
si son infinitos 00:37:23
es una discontinuidad de salto infinito 00:37:25
¿vale? ¿si o no? 00:37:27
entonces, más ejemplitos chavales 00:37:30
yo ahora tengo aquí 00:37:31
esta función de aquí, esta es una función 00:37:32
racional, igual el 00:37:35
denominador lo igualo a cero 00:37:37
y entonces es todo r menos 00:37:39
el uno, ¿dónde tengo que estudiar la continuidad? 00:37:41
chavales, en el uno 00:37:44
¿vale? hago el límite 00:37:45
y me sale una indeterminación 00:37:47
del tipo k partido de cero, como me 00:37:49
sale una indeterminación k partido 00:37:51
de cero, es una discontinuidad 00:37:53
de salto 00:37:55
infinito, ¿de acuerdo? 00:37:56
hay una asíntota vertical 00:38:01
De hecho, yo hago los límites laterales, uno me sale más infinito, otro me sale menos infinito, el salto es infinito, ¿de acuerdo? Entonces no existe el límite, además no son finitos, presenta una discontinuidad de salto infinito, ¿vale? 00:38:02
Si yo hago la gráfica, pues fijaros, a la izquierda me sale más infinito y a la derecha me sale menos infinito, ¿lo veis? Y es una forma un poco, la gráfica un poco tostón, pero es así, ¿de acuerdo? Más adelante tenemos que aprender a hacer esbozos, ¿vale? De mis funciones. 00:38:17
Dime, hijo. 00:38:37
De GeoGebra. 00:38:39
Está por caro que no está salido. 00:38:41
Ay, Omar. 00:38:43
La discontinuidad evitable, chavales. 00:38:45
Una discontinuidad evitable que era, 00:38:47
existe el límite, pero no existe el valor de la función. 00:38:49
¿Vale? 00:38:52
Entonces, ocurre cuando el valor que anula el denominador 00:38:53
también anula el numerador. 00:38:58
¿Vale? 00:39:01
Debe ser raíz en el mismo grado. 00:39:01
Es decir, ¿qué quiere decir? 00:39:03
que si tiene que ser como mínimo 00:39:04
la multiplicidad de esa raíz que anula el denominador 00:39:10
tiene que ser como mínimo el mismo grado o menor 00:39:16
que el del numerador para que se vaya, para que desaparezca. 00:39:20
Es decir, si yo tengo aquí dos polinomios, ¿vale? 00:39:25
Y aquí, por ejemplo, es el x más 3. 00:39:28
Aquí el menos 3 también anula los dos, ¿vale? 00:39:30
Pero si aquí imagínate que fuese x más 3 al cuadrado, entonces yo seguiría teniendo la discontinuidad de salto infinito. 00:39:33
Es decir, el x menos 3 aquí es única raíz porque es de grado 1 y aquí es una de las raíces, se me van a ir. 00:39:43
Pero si yo aquí tuviera x más 3 al cuadrado, se me va a ir un x más 3 pero luego otro me va a permanecer. 00:39:52
Es decir, aquí sería de multiplicidad 2, aquí de multiplicidad 1, ¿de acuerdo? 00:39:59
Y entonces, ¿qué ocurre? Que no me va a desaparecer. 00:40:04
La descontinuidad evitable tiene que ser cuando desaparecen las raíces que anulan el denominador. 00:40:07
Por lo tanto, el grado de la raíz en el numerador tiene que ser igual o mayor que el número de raíces del denominador. 00:40:15
¿Entendéis eso? ¿Sí? 00:40:23
pues nada, yo sustituyo, me sale 00:40:25
0 partido de 0, eso 00:40:27
significa que es 00:40:29
divisible 00:40:31
por menos 3, tanto aquí abajo 00:40:33
y aquí, ¿qué os hago? 00:40:35
Bueno, aquí es una ecuación de segundo grado 00:40:37
y puedes hacer la ecuación, pero yo me voy 00:40:38
mucho más fácil 00:40:41
si yo sé que al sustituir me sale 0 00:40:42
es que menos 3 es una 00:40:45
raíz de aquí, ¿verdad? Entonces yo 00:40:47
me voy a Ruffini, sobre todo si hay 00:40:49
grado 3, pero me voy a Ruffini, ¿por qué? 00:40:51
Porque sé que el menos 3 me va a salir un 0. 00:40:53
¿Lo veis, chavales? 00:40:56
Y entonces, ¿qué ocurre? 00:40:57
Pues que yo ya sé que esto es x más 3 partido de qué? 00:40:59
De x más 1. 00:41:03
Yo siempre os recomiendo que hagáis Ruffino. 00:41:05
¿Vale? 00:41:07
¿Por qué? 00:41:07
Porque yo ya sé un valor de Ruffino. 00:41:07
Entonces, ¿qué ocurre? 00:41:10
Que x cuadrado más cuadro de x más 3 es x más 3 por x más 1. 00:41:12
Se tacha, me queda x más 1. 00:41:15
Hago el límite y me sale un valor finito. 00:41:18
Me sale menos 2. 00:41:21
¿Lo veis? 00:41:22
yo ya aquí, aquí chavales 00:41:22
de hecho ya no es racional 00:41:25
esto realmente, esta gráfica 00:41:26
¿qué es lo que es? x más 1, ¿eso qué gráfica es? 00:41:29
es polinómica 00:41:32
pero su representación gráfica ¿cuál es? 00:41:33
una recta 00:41:36
fijaros, que yo tengo aquí una función 00:41:37
racional, un momentillo nomás 00:41:39
es una función racional que tú dices, hostia para 00:41:41
representar esto, ¿vale? 00:41:43
hostia para representar esto, y sin embargo 00:41:45
su representación es una recta 00:41:47
que es la bisectriz 00:41:50
del primer y el segundo cuadrante, pero desplazado a una unidad, ¿vale? 00:41:51
Una unidad a la izquierda. 00:41:56
Entonces, fijaros la representación chorra que es esto 00:41:58
cuando tú ves esto y te puedes acojonar. 00:42:01
Entonces, lo que sí es fundamental decir que el límite, 00:42:04
perdona, que el dominio sí son todos los reales menos el menos 3, 00:42:07
pero luego a la hora de estudiar la función como se le da, 00:42:11
yo la estudio como una recta x más 1. 00:42:14
Y una recta x más 1 con dos puntos lo tengo. 00:42:17
yo ya tengo su representación gráfica, pero ¿qué me ocurre en el menos 3, chavales? 00:42:21
¿Qué es lo que hay en el menos 3? Un agujerito, ¿vale? Un agujerito, ¿vale? 00:42:26
¿Por qué? Porque existe el límite, que es menos 2, no existe el valor de la función porque no pertenece al dominio, ¿vale? 00:42:32
No existe f de menos 3, como existe el límite pero no existe, es decir, se cumple la primera condición, 00:42:40
no se cumple la segunda, 00:42:46
pues entonces una discontinuidad 00:42:48
evitable. 00:42:50
Una discontinuidad evitable. 00:42:52
¿Cómo lo podría evitar, chavales? 00:42:54
¿Cómo lo podría evitar? 00:42:56
¿Cómo podría evitar 00:42:59
esa discontinuidad? 00:43:00
Con una función a trozos. 00:43:02
¿Y qué valor le tendría que dar 00:43:04
para x igual a menos 3? 00:43:06
A esa función. 00:43:09
Yo haría esto de aquí 00:43:11
si x es distinto de menos 3, 00:43:12
¿no? 00:43:15
y la otra sería 00:43:15
cuando x valga menos 3 00:43:17
¿cuánto tendría que valer? 00:43:19
menos 2 00:43:20
¿lo veis chavales? 00:43:21
y entonces ahí ya sería una función continua 00:43:24
en todo su dominio 00:43:26
¿lo entendéis? 00:43:28
no, ¿a qué me ibas a preguntar? 00:43:29
¿allito? 00:43:31
¿el qué? 00:43:34
evitar 00:43:36
¿tú ves que esto es una discontinuidad habitable? 00:43:37
existe el límite 00:43:41
el límite es menos 2 00:43:42
pero no está definida la función 00:43:44
en x igual a menos 3 00:43:46
¿por qué? porque no pertenece 00:43:48
¿vale? porque no pertenece 00:43:50
entonces chavales, ¿cómo puedo yo 00:43:52
evitar, cómo puedo 00:43:54
hacer que sea continua o cómo puedo 00:43:56
evitar esa 00:43:58
esa discontinuidad 00:44:00
evitable? pues 00:44:02
si yo tengo 00:44:04
el límite era menos 2 ¿verdad? 00:44:06
pues ¿cómo lo hago 00:44:15
esta 00:44:17
esta función f de x 00:44:18
¿vale? 00:44:21
que está conectando la tableta 00:44:28
o una tecnología 00:44:32
esto de aquí 00:44:34
esto f de x 00:44:36
presenta 00:44:39
¿vale? 00:44:40
una discontinuidad evitable 00:44:42
una discontinuidad evitable 00:44:44
que vale en el examen ponérmelo 00:44:47
todo ¿vale? que voy por prisa 00:44:48
nx igual a menos 3 00:44:50
¿vale? entonces yo me puedo hacer una 00:44:52
función g de x ¿vale? 00:44:54
g de x que vale esto mismo de aquí, si x es distinto de menos 3, ¿vale? 00:44:56
¿Qué ocurre? ¿Cuánto varía el límite? ¿Menos 2? 00:45:10
Menos 2 si x es igual a 3. 00:45:13
Bueno, pues esta función de aquí, g de x es continua en todos los reales. 00:45:16
Y el dominio de g de x es todos los reales. 00:45:25
Sin embargo, aquí el dominio de f de x, que era todos los reales menos el menos 3. 00:45:31
Esto es menos 3, perdón. 00:45:40
¿Vale? 00:45:42
A eso era, ¿no? 00:45:43
¿Vale? 00:45:44
Entonces, fijaros, esta es mi función original. 00:45:45
Y esta es mi función original, presenta una discontinuidad evitable en x menos 3. 00:45:48
¿De acuerdo? 00:45:53
Pero, sin embargo, g de x, ¿cómo evito esa discontinuidad evitable? 00:45:54
Pues yo me creo una nueva función definida a trozos, donde precisamente en el valor que me anula el denominador está definida para todos los valores menos para ese. 00:45:59
Y sin embargo yo lo que hago es para ese valor de x menos 3 lo hago igual al límite de la función cuando x tendría menos 3 que era menos 2. 00:46:11
¿Veis cómo? Y esta función ya es continua y además su dominio es todos los reales. 00:46:22
¿Lo entendéis? No es complicado. 00:46:27
esto de aquí sería 00:46:29
realmente, esta representación gráfica 00:46:33
es una recta 00:46:35
x más 1 00:46:36
aquí ya no tengo que poner punto 00:46:37
aquí sí tengo que poner puntito 00:46:40
en el menos 3 00:46:42
menos 2, en el menos 3 00:46:44
menos 2 tengo que poner un puntito blanco 00:46:46
¿vale? si ustedes lo 00:46:48
hacéis con y o yebra 00:46:50
va a pasar una cosa, que o yebra 00:46:52
chavales, os representa la recta 00:46:54
tal cual, ¿vale? 00:46:56
Pero si tú eres capaz de ponerte en el punto menos 3 o tú escribes f de menos 3, 00:46:58
te aparece un interrogante o te pone un define, ¿vale? 00:47:07
Digo aquí, aquí no. 00:47:11
Aquí, si tú esto lo defines a trozos con GeoGebra, te va a representar tu recta x más 1. 00:47:13
Pero si no hubiese un error que viene en mi clima, ese punto, si estuviera, salvaría la... 00:47:19
La discontinuidad habitable, ¿vale? 00:47:26
cuando una función es continua 00:47:28
cuando el límite 00:47:33
cuando una función es continua en un punto 00:47:35
cuando existe el límite 00:47:38
recuerda que el límite era menos 2 00:47:39
y además tiene que ser igual al valor de la función 00:47:42
en ese punto 00:47:44
entonces si yo hago 00:47:46
que el valor de la función en ese punto 00:47:48
sea igual al límite 00:47:50
¿cómo es la función? 00:47:51
¿vale? 00:47:56
Claro, por eso es GDE y es contigo, es todo R, y además su dominio es todo lo real, ¿vale? ¿Sí o no? 00:47:58
Chavales, es súper importante. Esto de aquí necesito, muchos de ustedes sé que lo han leído, pero la gran mayoría ni ha entrado en este documento. 00:48:07
Este documento es súper importante y está bastante bien. Entonces, yo mi idea mañana es hacer ejercicio de... Además está representada la función y demás para que veáis que realmente se corresponde todo. Entonces, por favor, echarle un vistazo que es bastante importante. 00:48:19
quiero buscar mañana ejercicios de continuidad 00:48:37
de esto de la EBAU 00:48:40
y sobre todo un ejercicio muy típico 00:48:44
es estudiar continuidades 00:48:46
o te dan parámetros y te dicen 00:48:47
qué valores tienen que tener los parámetros 00:48:49
para que sea continuo 00:48:51
¿Habéis visto ese tipo de ejercicio? 00:48:53
¿Sí o no? 00:48:55
¡Ya sé felices! 00:48:59
Valoración:
  • 1
  • 2
  • 3
  • 4
  • 5
Eres el primero. Inicia sesión para valorar el vídeo.
Idioma/s:
es
Idioma/s subtítulos:
es
Materias:
Matemáticas
Niveles educativos:
▼ Mostrar / ocultar niveles
  • Bachillerato
    • Segundo Curso
Autor/es:
Roberto Aznar
Subido por:
Roberto A.
Licencia:
Reconocimiento - No comercial - Compartir igual
Visualizaciones:
3
Fecha:
20 de enero de 2026 - 10:33
Visibilidad:
Público
Centro:
IES JIMENA MENÉNDEZ PIDAL
Duración:
49′ 03″
Relación de aspecto:
1.97:1
Resolución:
1024x520 píxeles
Tamaño:
146.55 MBytes

Del mismo autor…

Ver más del mismo autor

Comentarios

Para publicar comentarios debes entrar con tu nombre de usuario de EducaMadrid.

Comentarios

Este vídeo todavía no tiene comentarios. Sé el primero en comentar.



EducaMadrid, Plataforma Educativa de la Comunidad de Madrid

Plataforma Educativa EducaMadrid