Saltar navegación

Activa JavaScript para disfrutar de los vídeos de la Mediateca.

Módulo suma y resta de vectores - Contenido educativo

Ajuste de pantalla

El ajuste de pantalla se aprecia al ver el vídeo en pantalla completa. Elige la presentación que más te guste:

Subido el 17 de marzo de 2023 por Roberto A.

277 visualizaciones

En este vídeo se expone cómo hallar el módulo del vector suma y el módulo del vector resta de vectores, ortogonales o no.

Descargar la transcripción

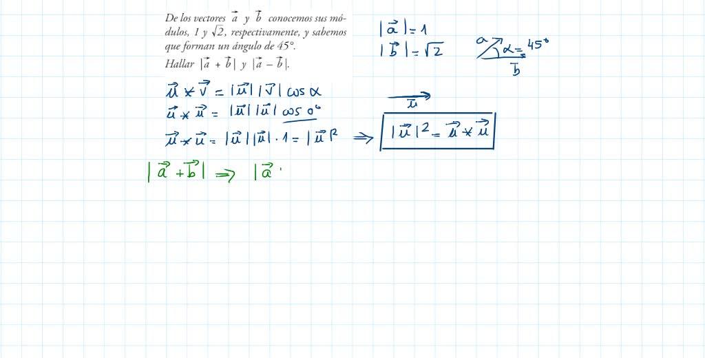
Bueno, vamos a ver, vamos a hacer este ejercicio que lo teníamos pendiente, donde nos dicen que tenemos dos vectores, A y B, de los cuales conocemos su módulo. 00:00:01
Aquí lo que conocemos es que el módulo de A es 1, nunca olvidéis de las flechitas en los vectores, esto es 1, y el módulo de B es raíz de 2 en este caso. 00:00:13
¿Y qué ocurre? Ambos vectores, yo por ejemplo tengo aquí A y tengo aquí B, pues el ángulo que forman entre ellos este ángulo alfa es 45 grados, ¿de acuerdo? 00:00:27
Entonces, lo que nos piden es el módulo de A más B. Si fueran ortogonales, tanto para el módulo de A más B como el módulo de A menos B, 00:00:42
que además serían exactamente iguales, pues podemos utilizar Pitágoras. 00:00:51
Pero en este caso, como se llevan 45 grados, pues tenemos que proceder de la siguiente forma. 00:00:56
Antes de nada vamos a recordar una cosa, que era el producto escalar, 00:01:02
no olvidarse la flechita de los vectores, voy a poner un asterisco para señalar que es producto escalar y no es un producto normal. 00:01:06
El producto escalar de dos vectores O y V es la multiplicación del módulo de U por el módulo de V por el coseno del ángulo que forma. 00:01:13
Para simplificar, voy a llamar a arfa al ángulo que forma O y V, ¿de acuerdo? 00:01:25
Es otra cosa que tenemos que tener en cuenta. 00:01:32
Si yo, por ejemplo, hago el producto escalar de un vector consigo mismo, pues ¿cómo sería la cosa? Pues sería el módulo de u, ¿verdad? Por el módulo de sí mismo, por el coseno del ángulo que forma. 00:01:35
Si yo tengo un vector aquí u y tengo otra vez el mismo vector u, entre ellos ¿cuánto es el ángulo? Pues cero grado. ¿De acuerdo? ¿Qué ocurre con el coseno de cero grado? El coseno de cero grado es uno. 00:01:53
Por lo tanto, cuando yo tengo el producto escalar de un vector por sí mismo, es igual al módulo de ese vector multiplicado por el módulo de ese vector por 1. 00:02:07
¿Cuánto es el módulo de un vector por el módulo de un vector? Pues el módulo del vector al cuadrado. 00:02:24
Entonces, esto de aquí necesitamos saberlo para aplicar la resolución de este ejercicio. 00:02:31
Es decir, el módulo al cuadrado de un vector es igual al producto de ese vector por sí mismo. 00:02:38
¿De acuerdo? 00:02:47
Entonces, sabiendo esto de aquí, pues ya podemos operar con lo que nos pide. 00:02:49
¿Vale? Lo voy a hacer en verde. 00:02:58
Si a mí me piden el módulo de A más B, yo lo que tengo que utilizar es calcular previamente el módulo de A más B al cuadrado. 00:03:00
Y aplico esto de aquí. ¿Qué es el módulo al cuadrado de a más b? Pues igual al producto escalar de a más b consigo mismo. El producto escalar de a más b consigo mismo. 00:03:23
Y aquí ¿qué ocurre? Pues que aplicamos la propiedad distributiva, es decir, hacemos el producto escalar de A consigo mismo, producto escalar de A con A, le sumamos el producto escalar de A por B, esto es igual que cuando aplicamos la propiedad distributiva con la multiplicación pero ahora con el producto escalar, 00:03:41
Y ahora cogemos B, lo voy a hacer encolorado aquí, ¿vale? B le hacemos el producto escalar con A y ahora hacemos B con el producto escalar consigo mismo. Es decir, yo tengo más el producto escalar de B con A, más el producto escalar de B consigo mismo. ¿De acuerdo? 00:04:08
entonces al final que ocurre hemos dicho que era el producto escalar de un vector consigo mismo 00:04:33
pues el módulo del vector al cuadrado que cumple el producto escalar que es conmutativo es decir 00:04:42
es lo mismo el producto escalar de a por b que b por b porque al final si yo sustituyo en la 00:04:53
fórmula pues que es el módulo de a por el módulo de b por el coseno del ángulo que forman entre los 00:04:59
dos y si hago b por a que sería el módulo de b por el módulo de a por el coseno del ángulo que 00:05:05
forman los dos que es el mismo por lo tanto esto es dos veces el producto escalar de a por b y 00:05:10
cuánto es el producto escalar de un vector por sí mismo pues es el módulo del vector al cuadrado 00:05:20
¿De acuerdo? Entonces aquí lo único que tenemos que hallar de momento, esto lo sabemos porque es 1 al cuadrado, esto lo sabemos porque es raíz de 2 al cuadrado, lo único que tendríamos que hallar es el producto escalar de a por b. 00:05:28
Bien, aplicamos fórmula, módulo de a por módulo del vector b por el coseno, en este caso alfa es 45, es decir, esto es igual a 1, esto es por raíz de 2, por raíz de 2 partido de 2, que es el coseno de 45. 00:05:45
Entonces esto que es, esto es raíz de 2 por raíz de 2 es 2, entre 2 es igual a 1, ¿vale? 00:06:06
Si yo sustituyo aquí, que me encuentro que el módulo de a más b al cuadrado es igual al módulo de a al cuadrado más el doble producto del producto escalar de a por b más el módulo de b al cuadrado. 00:06:15
Importante no olvidarse este cuadrado de aquí, ¿vale? 00:06:45
Entonces, ¿qué ocurre? 00:06:51
Que yo ahora empiezo a sustituir. 00:06:52
Módulo de A, 1, ¿verdad? 00:06:54
Me lo dice el enunciado. 00:06:55
1 al cuadrado más doble producto de A por B. 00:06:58
Hemos calculado antes que era 1, pues 1. 00:07:02
Más el módulo de B al cuadrado, era raíz de 2, 00:07:06
que me lo dice el enunciado, al cuadrado. 00:07:09
Por lo tanto, esto es igual. 00:07:12
1 más 2 más 2 es igual a 5, pero eso es lo que nos piden, no, a nosotros lo que nos piden es cuánto vale el módulo de a más b únicamente y que ocurre que el módulo de a más b que es pues la raíz cuadrada del módulo de a más b al cuadrado, es decir, esto es la raíz de 5, ¿vale? 00:07:13
para hacer el, voy a hacerlo aquí en negro, el módulo de a menos b al cuadrado, pues sería exactamente igual. 00:07:42
es a menos b, producto escalar, por a menos b. 00:08:00
Desarrollo, y esto al final, hacedlo ustedes, pero os tiene que salir, 00:08:12
módulo de a al cuadrado menos doble producto del producto escalar de a por b, 00:08:18
más el módulo de b al cuadrado. 00:08:26
Esto tiene que recordar a la identidad notable. Por lo tanto, ¿qué ocurre? El módulo de a menos b al cuadrado, que no es lo que nos piden, a que es igual. 00:08:30
El módulo de A es 1 al cuadrado menos el doble producto de A por B es igual a 1, que lo hemos calculado antes aquí, ¿vale? 00:08:43
Más el módulo de B que era raíz de 2 y todo ello al cuadrado, ¿vale? 00:09:14
Entonces, esto aquí es igual a 1 menos 2 más 2, que es igual a 1. 00:09:23
Por lo tanto, el módulo de A menos B, por favor no os dejéis las flechitas porque eso se penaliza, es igual a la raíz de A, el módulo. 00:09:32
A ver, es que me está esto... 00:09:47
Es, a ver, el módulo de a menos b al cuadrado. 00:09:54
Es decir, la raíz de 1, que es igual a 1. 00:10:03
¿Vale? Sí. 00:10:10
¿Qué ocurre? 00:10:16
Es que claro que si fueran ortogonales, pues esto se hace del tirón, esto se hace del tirón con pitágoras. 00:10:17
De hecho, lo voy a hacer como si en vez de tener 45 grados, pues fuese 90, ¿vale? 00:10:25
Voy a crear una nueva página y entonces me dicen que módulo de A es igual a 1, módulo de B es igual a raíz de 2 y que el ángulo que forman es 90 grados, es decir, son ortogonales. 00:10:40
pues entonces 00:10:59
esto por el método gráfico es súper fácil 00:11:05
yo tengo aquí un vector A 00:11:07
y otro ortogonal a él 00:11:09
que es B, esto es 90 grados 00:11:13
como el módulo suma 00:11:15
es esto de aquí, pues yo aquí tengo 00:11:18
un triángulo 00:11:21
donde esto es A 00:11:23
esto es B 00:11:26
¿Vale? Y esto es precisamente lo que me pide la hipotenusa. 00:11:29
Con lo cual, el módulo de a más b es directamente la raíz de qué? 00:11:34
De 1 al cuadrado más raíz de 2 al cuadrado, módulo de a más b es igual a raíz de 5. 00:11:44
no, raíz de 3, perdón 00:11:55
más 2 00:12:00
raíz de 3 00:12:02
si yo lo hago como hemos visto 00:12:04
yo tengo que hacer módulo de a 00:12:06
más módulo de b al cuadrado 00:12:08
hemos dicho que es 00:12:10
el producto escalar 00:12:12
de a más b 00:12:14
voy a poner aquí 00:12:16
bien esto, vale 00:12:17
de a más b 00:12:20
producto escalar a 00:12:22
más b 00:12:24
¿de acuerdo? 00:12:25
¿Esto a qué es igual? Es igual al producto de A por A más el producto de B por A, no olvidaré hacer la flechita, más el producto escalar de A por B, que es igual que B por A, más el producto escalar de B por B. 00:12:27
¿Qué hemos dicho que era el producto escalar de un vector consigo mismo? 00:12:52
Es el módulo de a al cuadrado. 00:12:56
Esto y esto es igual, por lo tanto es dos veces el producto escalar de a por b. 00:12:59
Y esto es el módulo de b al cuadrado. 00:13:06
¿De acuerdo? 00:13:10
Estos como son ortogonales, ¿cuánto es el producto escalar de dos vectores ortogonales, a y b? 00:13:11
Pues el producto escalar de a y b es 0, porque por el coseno de 90 es 0, por lo tanto el módulo de a más b al cuadrado es igual al módulo de a al cuadrado más módulo de b al cuadrado, 00:13:20
es decir, 1 al cuadrado más raíz de 2 al cuadrado, esto es igual a 1, esto es más 2 y es igual a 3. 00:13:43
¿Lo que me piden? No, me piden a más b, el módulo, que es la raíz cuadrada de a más b al cuadrado, 00:13:53
Es decir, en la raíz de 3. 00:14:05
¿Veis cómo me sale exactamente lo mismo? 00:14:09
Claro, no hay color. 00:14:12
Cuando son ortogonales es más fácil hacerlo por el método gráfico que por el método que habría que hacerlo si este ángulo no fuese 90 grados. 00:14:14
¿Qué particularidad tienen cuando los ángulos son ortogonales? 00:14:25
Pues que el módulo de la suma de vectores es igual al módulo, no os olvidéis aquí la flechita, de la resta de vectores. 00:14:28
Cualquier duda, me preguntáis. 00:14:43
Valoración:
  • 1
  • 2
  • 3
  • 4
  • 5
Eres el primero. Inicia sesión para valorar el vídeo.
Idioma/s:
es
Autor/es:
Roberto Aznar
Subido por:
Roberto A.
Licencia:
Reconocimiento - Compartir igual
Visualizaciones:
277
Fecha:
17 de marzo de 2023 - 17:32
Visibilidad:
Público
Centro:
IES JIMENA MENÉNDEZ PIDAL
Descripción ampliada:
En este vídeo se expone cómo hallar el módulo del vector suma y el módulo del vector resta de vectores, ortogonales o no.
Duración:
14′ 46″
Relación de aspecto:
1.97:1
Resolución:
1024x520 píxeles
Tamaño:
31.48 MBytes

Del mismo autor…

Ver más del mismo autor

Comentarios

Para publicar comentarios debes entrar con tu nombre de usuario de EducaMadrid.

Comentarios

Este vídeo todavía no tiene comentarios. Sé el primero en comentar.



EducaMadrid, Plataforma Educativa de la Comunidad de Madrid

Plataforma Educativa EducaMadrid