Saltar navegación

Activa JavaScript para disfrutar de los vídeos de la Mediateca.

Método gráfico. SI. - Contenido educativo

Ajuste de pantalla

El ajuste de pantalla se aprecia al ver el vídeo en pantalla completa. Elige la presentación que más te guste:

Subido el 7 de marzo de 2025 por Maria Rosario R.

11 visualizaciones

Descargar la transcripción

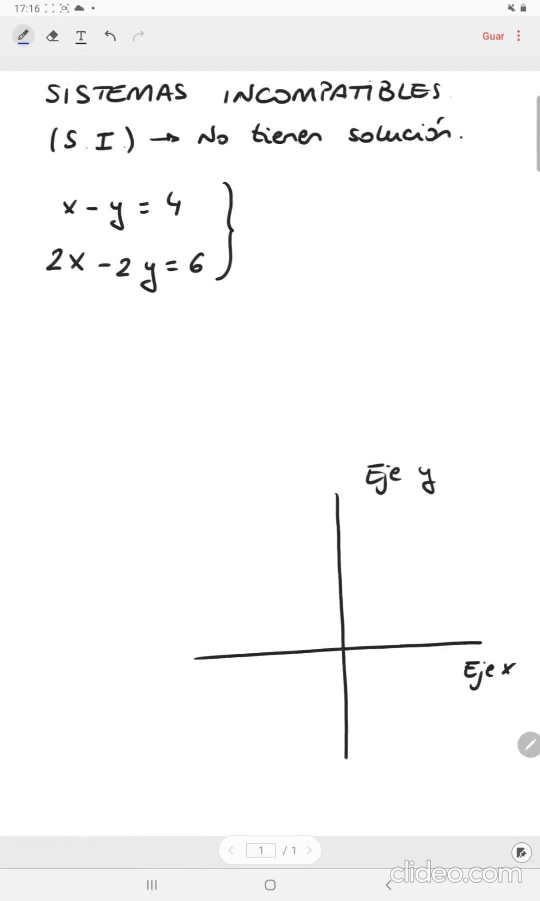
Bueno, y el último tipo de sistemas, de ecuaciones lineales que tenemos son los sistemas incompatibles. 00:00:00
Igualmente vamos a resolverlo por el método gráfico, ¿vale? 00:00:07
Es decir, vamos a volver a representar gráficamente las dos rectas y a ver en qué puntos se cortan, 00:00:12
qué puntos son los que cumplen ambas ecuaciones, ¿vale? 00:00:19
Porque esas son las soluciones. 00:00:24
En este caso vamos a llegar a la conclusión de que no existe ninguna solución 00:00:25
Bueno, pues nos vamos con la primera ecuación 00:00:30
Volvemos a lo de siempre, despejamos la y 00:00:33
En primer lugar voy a despejar menos y 00:00:35
Que me va a quedar como 4 menos x 00:00:37
Y ahora como lo que yo quiero es despejar la y 00:00:39
Pues calculo el opuesto a esa expresión 00:00:43
Le cambio el signo a todo, ¿vale? 00:00:45
Esta es la expresión de mi primera recta 00:00:48
Pues venga, espera, lo voy a poner un poquito más aquí 00:00:50
Y así podemos echar ahí las cuentas 00:00:53
Damos los valores 00:00:56
Yo doy siempre 00:00:58
Prácticamente casi siempre los mismos 00:00:59
Pero simplemente por manía 00:01:01
Podemos dar, insisto, los que queramos 00:01:04
1, 0 y menos 1 00:01:05
Pues vamos, cuando la x vale 1, ¿cuánto vale la y? 00:01:07
Menos 4 00:01:11
Más el valor de x es 1 00:01:12
Esto es 00:01:14
Menos 3 00:01:16
Cuando la x vale 0 00:01:17
Menos 4 00:01:20
Más 0 00:01:21
y cuando la x vale menos 1 00:01:23
esto es menos 4 más menos 1 00:01:28
es decir, menos 4 menos 1 00:01:32
como tienen igual signo, dejo el signo y sumo los valores absolutos 00:01:36
pues representamos esto en el eje 00:01:39
x1, x1 y menos 3 00:01:43
allí donde se cortan está el punto 00:01:46
X cero 00:01:51
Y menos cuatro 00:01:53
Uno, dos, tres y cuatro 00:01:54
Aquí está el punto 00:01:56
Y esto lo voy a tener que alargar 00:01:57
Y menos uno 00:02:01
Y menos uno 00:02:02
Y X menos cinco 00:02:03
Este era menos cuatro, pues menos cinco estará aquí, ¿no? 00:02:05
El siguiente 00:02:08
¿Vale? Pues aquí está el punto 00:02:09
Y esta va a ser mi recta 00:02:11
¿Vale? 00:02:16
Bueno, pues ahora 00:02:18
Vamos a hacer otra vez lo mismo 00:02:19
Con la otra ecuación 00:02:20
Bueno, primero despejo 00:02:23
Menos 2y es igual a 6 00:02:27
Menos 2x 00:02:29
No me gusta este signo negativo de aquí 00:02:32
Pues lo quito 00:02:35
Y para quitarle, lo que hago es 00:02:35
Le cambio el signo a todo 00:02:38
¿De acuerdo? 00:02:39
El 6 será positivo, lo convierto en negativo 00:02:41
El 2x será negativo, lo convierto en positivo 00:02:43
Vale 00:02:47
Y ahora este 2 que está aquí multiplicando a la y me molesta 00:02:48
Pues lo quito también 00:02:51
Como está multiplicando y lo cambio del lado de la igualdad 00:02:52
Pasa haciendo lo contrario 00:02:55
Que es dividiendo 00:02:57
Y para que me sea más cómodo en las cuentas 00:02:59
Hacemos esto 00:03:02
Esto era lo mismo que decir esto, ¿no? 00:03:03
¿Cuánto vale y? 00:03:08
Y es menos 6 entre 2 00:03:09
Menos 3 00:03:12
2x entre 2 00:03:13
Lo que hacíamos era dividir los coeficientes 00:03:15
2 entre 2, 1 00:03:17
y me queda la x, pues más x 00:03:18
y esta es la expresión 00:03:21
de la otra recta 00:03:23
que tengo que dibujar 00:03:25
uy va, que me he borrado aquí el 00:03:26
el eje de coordenadas 00:03:28
¿vale? 00:03:31
venga 00:03:34
pues vamos allá 00:03:34
a ver si no borro más 00:03:36
damos valores a la x y a la y 00:03:38
vamos a dar otros valores que no sean siempre los mismos 00:03:40
1, 0 y menos 1 00:03:43
voy a dar 2 00:03:44
0 y menos 3 00:03:46
Por ejemplo 00:03:50
Pues no, vamos a dar mejor 00:03:51
Espera, menos 2, 0 y más 3 00:03:54
¿Vale? 00:03:59
Porque así me es más cómodo 00:04:00
Bueno 00:04:02
Aquí 00:04:03
Vale 00:04:06
Cuando la x vale menos 2, ¿cuánto vale la y? 00:04:07
Pues venga, sustituimos 00:04:10
Me dice que la y es menos 3 00:04:12
Más el valor de x 00:04:14
Que es menos 2 00:04:16
Esto es lo mismo que decir menos 3 menos 2 00:04:17
Tienen igual signo, dejo el signo y sumo los valores absolutos 00:04:21
Menos 5 00:04:25
¿Cuánto vale la y cuando la x vale 0? 00:04:26
Pues menos 3 más 0, menos 3 00:04:29
¿Y cuánto vale la y cuando la x vale 3? 00:04:33
Menos 3 más el valor de la x que es 3, 0 00:04:40
¿Vale? Pues estos son los puntos que tengo que dibujar 00:04:44
x menos 2, x menos 2 00:04:47
y menos 5 00:04:49
y menos 5, este le saco para aquí 00:04:50
así, ahí me queda 00:04:54
x 0 y menos 3 00:04:56
1, 2 y 3 00:04:59
aquí me queda 00:05:00
y x 3, 1 00:05:02
2 y 3 00:05:04
ay perdón, ese no es el punto 00:05:06
así, y 0 00:05:09
aquí está el punto, ¿de acuerdo? 00:05:10
vale, pues vuelvo a representar 00:05:13
uno de los puntos 00:05:15
y me queda esto 00:05:16
Chicos, ¿cuántos puntos comparten estas dos rectas? 00:05:17
Ninguno, son rectas paralelas, nunca se van a cortar 00:05:25
Entonces no existe ningún punto que cumpla las dos ecuaciones 00:05:28
Por lo tanto el sistema no tiene solución 00:05:34
Por eso se llama sistema incompatible 00:05:37
¿De acuerdo? 00:05:40
Vale, y ahora a modo de resumen decimos 00:05:42
Hemos visto que teníamos tres tipos de sistemas, sistema compatible determinado, sistema compatible indeterminado y sistema incompatible. 00:05:47
El sistema compatible determinado o sistema compatible indeterminado, estos dos tipos de sistemas sí tienen solución. 00:06:03
Y este también tienen soluciones, ¿de acuerdo? 00:06:17
Determinado, la solución es determinada, existe una única solución, ¿vale? 00:06:22
Indeterminado, la solución no está determinada, existen infinitas soluciones. 00:06:31
Las rectas en el primer caso se cortaban en un punto y esa era la solución 00:06:39
Y estas eran rectas coincidentes, eran la misma recta, ¿de acuerdo? 00:06:44
Por eso tienen infinitas soluciones 00:06:49
Y en el último caso ya no es un sistema compatible, es un sistema incompatible 00:06:51
Dos personas son incompatibles cuando no tienen nada en común, ¿no? 00:06:56
No tienen nada en común 00:07:00
Pues los sistemas igual, son incompatibles y entonces no tienen solución 00:07:00
Y en este caso se trata de rectas paralelas que no van a cruzarse nunca, no van a cortarse nunca. 00:07:07
Materias:
Matemáticas
Niveles educativos:
▼ Mostrar / ocultar niveles
  • Educación Secundaria Obligatoria
    • Ordinaria
      • Primer Ciclo
        • Primer Curso
        • Segundo Curso
      • Segundo Ciclo
        • Tercer Curso
        • Cuarto Curso
        • Diversificacion Curricular 1
        • Diversificacion Curricular 2
    • Compensatoria
Subido por:
Maria Rosario R.
Licencia:
Todos los derechos reservados
Visualizaciones:
11
Fecha:
7 de marzo de 2025 - 16:10
Visibilidad:
Público
Centro:
IES PALAS ATENEA
Duración:
07′ 20″
Relación de aspecto:
0.60:1
Resolución:
1080x1800 píxeles
Tamaño:
15.36 MBytes

Del mismo autor…

Ver más del mismo autor


EducaMadrid, Plataforma Educativa de la Comunidad de Madrid

Plataforma Educativa EducaMadrid