Saltar navegación

Activa JavaScript para disfrutar de los vídeos de la Mediateca.

ESO-2º-ELECTRICIDAD 2 SOLUCIONES LEY DE OHM Y CAMBIO UNIDADES-TPR-FORMACIÓN - Contenido educativo

Ajuste de pantalla

El ajuste de pantalla se aprecia al ver el vídeo en pantalla completa. Elige la presentación que más te guste:

Subido el 8 de octubre de 2020 por Cp santodomingo algete

69 visualizaciones

Descargar la transcripción

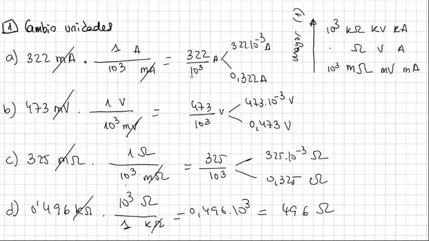
Hola chicos, vamos a empezar corrigiendo los ejercicios del vídeo 1, que eran cambio de unidades, ley de Ohm con las unidades ya bien puestas 00:00:11
y ley de Ohm en las que había que cambiar primero la unidad antes de operar, era todo lo que venía en el vídeo 1. 00:00:20
Tenéis que coger vuestro cuaderno, ir siguiendo el vídeo, ir corrigiendo y tenéis que marcar a rojo los errores 00:00:27
y tenéis que volver a hacerle foto que yo vea que habéis corregido los ejercicios. 00:00:33
Vale, no borréis, queda igual, si te ponéis arriba rojo, tacháis o esto está todo mal y me lo ponéis al lado, que yo vea que habéis trabajado la solución, ¿de acuerdo? 00:00:37
Entonces, era 322 miliamperios, había que cambiar amperios. 00:00:48
Se ponía un punto, raya de inflación, abajo la que quiero que se me marche, mili y arriba la. 00:00:53
Un 1 a la más grande de esta pareja, de A y miliamperios. 00:00:59
Pues aquí la tablita, el que se le pone el 1 es el que esté más por encima aquí. 00:01:02
Entonces si tú comparas amperio y miliamperio está más alto la A, por eso la A lleva el 1 00:01:07
Y abajo 10 elevado a 3, voy a ponerlo más pequeñito porque parece, en ese caso, vale el cubo 00:01:13
Tachamos, tachamos y nos queda el 322 arriba y en 10 elevado a 3 abajo 00:01:21
Recordarlo, ¿vale? Entonces podéis dejármelo de dos maneras 00:01:26
O dividiendo entre mil, que es lo que significa esto, que es esto 00:01:30
pero no me vale pasar de aquí y ver dividido entre mil 00:01:34
que eso es como en primaria 00:01:37
o si no me lo ponéis así 00:01:38
aunque no está justo en notación científica 00:01:41
ya veremos un poco más adelante 00:01:43
que es eso pero si ya va empezando 00:01:45
a tener más aspecto de notación científica 00:01:47
este número que está dividiendo 00:01:49
pasa para arriba cambiando el signo 00:01:51
de la potencia 00:01:53
entonces se queda así 00:01:54
que es la misma operación que dividir entre mil 00:01:56
me vale cualquiera de las dos 00:01:58
segundo es 473 milivoltios 00:02:00
es lo mismo, mili amperios, mili voltios, mili ohmios 00:02:03
es el mismo cambio, mili abajo, la unidad fundamental arriba 00:02:07
un 1 a la más grande que está aquí 00:02:11
con respecto a esta, tacháis, tacháis 00:02:14
la unidad y os queda otra vez el 10 al cubo abajo, dos opciones 00:02:18
o dividís entre mil, que es ese 10 al cubo 00:02:22
recordad que un 10 al cubo es lo mismo que un mil, que son tres ceros 00:02:25
o si no, subís la potencia 00:02:31
multiplicando en vez de dividiendo 00:02:34
entonces le ponéis un menos 00:02:36
hacéis lo mismo con el mili ohmios 00:02:37
lo mismo, tenéis ahí las soluciones 00:02:41
ahora empezamos con las que están por encima 00:02:43
kilo, kilo ohmio 00:02:45
punto, raya de fracción 00:02:47
kilo abajo, que es la que quiero que se marcha 00:02:48
ohmio arriba, si nos venimos para aquí 00:02:50
de todo lo que tenemos aquí 00:02:53
vemos que es 00:02:55
voltio, era kilo ohmio 00:02:56
entonces estamos aquí 00:02:59
Y aquí, ohmio, le tendremos que poner un 1 a la más alta, que en este caso es la palabra kilo. 00:03:00
Por eso ahora el 1 está abajo en vez de estar arriba, porque mi pareja hace que la más grande me quede en el denominador. 00:03:08
Tachamos la letra, tachamos y resulta que este 10 al cubo queda arriba. 00:03:15
¿Veis que aquí quedaba abajo? Por eso lo subí y le cambiaba el signo a la potencia. 00:03:19
Cuando quedaba arriba no se hacía nada. 00:03:23
Quedar arriba es lo mismo que multiplicar por mil. 00:03:26
¿Vale? Y se quedaría así 00:03:29
Siguiente corrección, nos quedan estos dos 00:03:30
Los mismos con kilovolta y kiloamperio 00:03:34
Pero es el mismo fundamento 00:03:36
¿Vale? Para ese vídeo yo voy a ir siguiendo 00:03:38
¿Vale? Ahora vamos a corregir los de la ley de Ohm 00:03:40
El ejercicio 2A 00:03:43
Te daban de datos la I y la V 00:03:45
Comprobamos que están en un estado fundamental 00:03:47
¿Vale? 00:03:49
Tendríamos que cambiar si no está en voltio, amperio y ohmio 00:03:51
¿Vale? Me tengo que asegurar que están 00:03:55
cada una a la que le corresponda 00:03:57
pero así, sin prefijo 00:03:59
vale, entonces tendríamos 00:04:00
6 amperios, está bien, 12 voltios 00:04:03
está bien, ¿qué es la letra que me falta? 00:04:05
me falta la R 00:04:08
esta sería la ley de Ohm normal 00:04:09
y nosotros buscamos aquella 00:04:10
que tenga la letra despejada 00:04:13
que en este caso es la R, que es la incógnita 00:04:15
¿de acuerdo? es V partido I 00:04:17
12 partido 6 00:04:19
buscar bien, no equivocar estos datos 00:04:21
y da 2 00:04:23
importantísimo, pegamos la unidad 00:04:24
como es R, recuerdo que esta va con la R 00:04:27
esta va con la I y esta es la única que me incide 00:04:32
dos ohmios, ejercicio 2, tengo un V que está en voltios 00:04:34
la I que está en amperios, bien, me falta por allá 00:04:40
la R, busco la fórmula despejada de la ley de Ohm con la R 00:04:43
18 partido de 4, 4,5 ohmios 00:04:48
aquí me dan de dato la V que está bien en voltios 00:04:52
la R que está bien, ¿qué es la letra 00:04:56
que me falta? solo hay 3, entonces te dan 2 00:04:58
y te dan la 1, pues la I 00:05:00
busco la I despejada, V partido de R 00:05:01
V6, R4 00:05:04
1,5 y le pego la unidad 00:05:06
que va con la intensidad, que es el 00:05:08
amperio, que no se os olvide pegarlo 00:05:10
y el cuarto 00:05:12
tengo la I 5 amperios 00:05:13
bien la unidad, R 18 00:05:16
ohmios, bien la unidad 00:05:18
y me piden la V 00:05:20
V es igual a I por R, me queda una multiplicación 00:05:21
¿vale? 00:05:25
Los otros ejercicios que quedan son los mismos, pero con cambio de unidades. Tenéis el 3A, dado de dato V y de dato R, ¿vale? Y me faltaba la I. 00:05:25
Vale, antes de poder operar, tengo que comprobar que las unidades estén en la fundamental. 00:05:37
En la fundamental es que no lleve un prefijo, ni mili ni kilo, que no lleve nada delante de la palabra V o ohmio, ¿vale? 00:05:43
Que vaya tal cual así, voltio, amperio, ohmio. 00:05:50
No puedo tener esto ni esto, tendría que cambiar, ¿de acuerdo? Esta es la fundamental. 00:05:53
Entonces, compruebo que el V no viene bien. 00:06:01
bien, vienen milivoltios 00:06:04
como ya hemos hecho ejercicios de esto 00:06:06
lo pongo aquí, hacemos el cambio 00:06:08
tachamos, me queda abajo 00:06:10
divido y voy a utilizarlo así 00:06:12
¿vale? 00:06:14
entonces la I me va a quedar V partido de R 00:06:15
la V ya la tengo en voltios 00:06:18
la R ya estaba bien, que venían ohmios 00:06:20
divido y lo que me queda y le pego la A 00:06:22
bien 00:06:24
y el último ejercicio de estos 00:06:25
que era 00:06:27
te daba de dato V 00:06:29
conocido y te daban la I 00:06:31
Y te preguntaban la R. La fórmula sería esta, pero antes de empezar tengo que tener las cosas en las unidades adecuadas. 00:06:33
Y veo que el voltio viene bien, pero esto en vez de venir en amperios viene en miliamperios. 00:06:42
No puedo utilizar la lidión. Primero cambio. 00:06:47
Entonces cambio amperios, el mismo cambio miliamperios, tacho, tacho, me queda abajo, me queda dividiendo entre mil. 00:06:50
Y lo voy a utilizar así y lo voy a utilizar de la otra manera para que veáis cómo quedaría en la calculadora. 00:06:57
Si yo lo pongo tal cual, 24 entre 0,04 me da 6.000 ohmios. 00:07:03
Si lo queréis meter en la calculadora y vosotros queréis meter 4 por 10 elevado a menos 3, 00:07:08
mirad vuestra calculadora, hay dos modelos. 00:07:13
Hay la tecla XP en algunos modelos, que es una tecla tal cual, o una tecla que dice por 10 elevado a X. 00:07:16
La forma de meterlo sería, pones el número 4, le das a XP sin por y sin nada, y luego pones menos 3. 00:07:23
y si es la otra tecla, lo mismo 4, le dais a esta tecla 00:07:30
ya significa por 10 elevado a, ya va todo incluido el por 00:07:33
luego le ponéis el signo y el 3 y os tiene que devolver 00:07:36
esto o os puede devolver 00:07:40
en notación científica que os vendría así 00:07:43
6 por 10 elevado a 3, ¿vale? 00:07:46
probar que es lo mismo según como esté configurada 00:07:48
las calculadoras, ¿vale? pues os viene de una manera o de otra 00:07:51
bien, hasta aquí las soluciones 00:07:54
CC por Antarctica Films Argentina 00:08:00
Autor/es:
CEIP SANTO DOMINGO
Subido por:
Cp santodomingo algete
Licencia:
Reconocimiento - No comercial - Sin obra derivada
Visualizaciones:
69
Fecha:
8 de octubre de 2020 - 13:10
Visibilidad:
Público
Centro:
CP INF-PRI SANTO DOMINGO
Duración:
08′ 07″
Relación de aspecto:
1.78:1
Resolución:
854x480 píxeles
Tamaño:
13.44 MBytes

Del mismo autor…

Ver más del mismo centro


EducaMadrid, Plataforma Educativa de la Comunidad de Madrid

Plataforma Educativa EducaMadrid