Saltar navegación

Activa JavaScript para disfrutar de los vídeos de la Mediateca.

Ecuaciones de la recta. Ecuaciones implícita de la recta en el espacio. - Contenido educativo

Ajuste de pantalla

El ajuste de pantalla se aprecia al ver el vídeo en pantalla completa. Elige la presentación que más te guste:

Subido el 10 de noviembre de 2025 por Roberto A.

13 visualizaciones

Descargar la transcripción

Bueno, buenos días. Hoy vamos a tener un día 10 y vamos a probar todos el examen de historia. 00:00:00
¡Vamos! Venga, 10 de noviembre del 20 premio, que se nos acaba el año. 00:00:07
Bueno, chavales, la clase de hoy tiene manteca, ¿vale? 00:00:15
Porque es bastante importante que adquiramos los conocimientos, 00:00:19
porque nos va a valer mucho para luego Jesús. 00:00:25
Entonces, chavales, lo primero que yo os quiero es 00:00:27
Venga, vamos 00:00:30
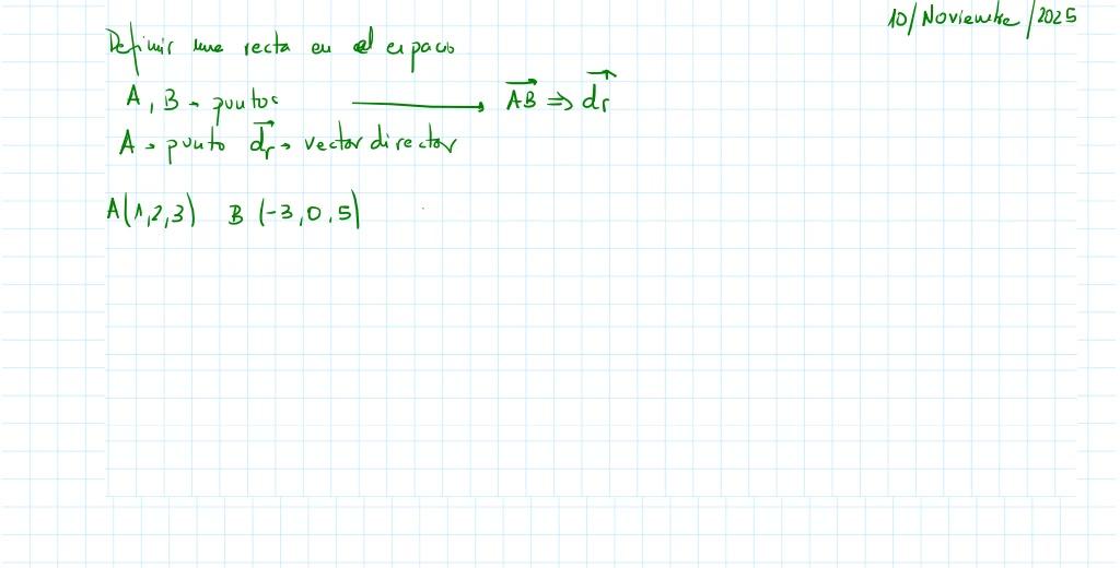
¿Cómo necesito para definir una recta? 00:00:31
Para definir una recta en el espacio 00:00:34
¿Qué necesito? 00:00:35
Definir una recta 00:00:38
En el espacio 00:00:40
A ver, chavales 00:00:45
¿Puedo necesitar 00:00:48
Dos puntos, ¿no? 00:00:50
A y B, que son puntos 00:00:51
¿O qué necesito también 00:00:53
si no tengo dos puntos lo que yo necesito es un punto vale un punto y un director vale un vector 00:00:56
directo director entonces qué ocurre si yo tengo dos puntos si yo tengo dos puntos realmente si yo 00:01:05
hago el vector a b 00:01:18
ya esto de aquí 00:01:20
equivale al vector 00:01:22
director de la recta, ¿de acuerdo chavales? 00:01:24
sí, entonces 00:01:26
había distintas ecuaciones 00:01:28
de la recta, entonces por ejemplo 00:01:30
si hacemos, yo que sé, venga 00:01:32
el punto a, venga, decidme 00:01:34
un punto a, ¿qué queráis? 00:01:36
un 2 00:01:38
vamos a poner algo negativo 00:01:39
venga, y el punto b 00:01:43
menos 3, 0, 5 00:01:45
¿no? tiene premio, entonces 00:01:47
chavales, yo me tenéis que decir 00:01:49
las ecuaciones de la recta 00:01:51
que pasan por esos dos puntos 00:01:53
entonces 00:01:55
lo que primero tengo que hacer es 00:01:56
el vector a b y el vector a b 00:01:59
es tan fácil como restar coordenada 00:02:01
a coordenada, es decir, sería 00:02:03
menos uno, sería cero menos 00:02:04
dos y cinco menos tres 00:02:07
es decir, yo tendría aquí el vector 00:02:09
menos cuatro 00:02:11
menos dos y dos 00:02:12
¿de acuerdo? entonces 00:02:15
¿cuál sería la ecuación 00:02:17
la ecuación vectorial la ecuación vectorial de la recta sería x sería un punto de los dos me da 00:02:18
igual vamos a el 123 más un parámetro por ejemplo lambda multiplica el vector director en este caso 00:02:27
sería menos 4 menos 2 y 2 y aquí super importante chavales vemos aquí que todos son pares verdad 00:02:34
Estoy haciendo la ecuación 00:02:45
De la recta que pasa por estos dos puntos 00:02:48
¿Vale? La ecuación de la recta 00:02:50
Que pasa por estos dos puntos 00:02:52
Entonces, si yo tengo dos puntos 00:02:53
Lo que tengo también es un vector director 00:02:55
¿De acuerdo? Que es el vector que une 00:02:57
Esos dos puntos 00:03:00
Tírame el chicle, no, por fin 00:03:01
Entonces, ¿no hay chicle? 00:03:03
Entonces tengo el punto 1, 2, 3 00:03:05
Y aquí tengo el vector director 00:03:07
Que es precisamente la recta 00:03:10
El vector que va de A a B 00:03:11
Pero quiero que veáis una cosa, chavales. ¿Yo puedo utilizar cualquier vector que sea proporcional a este? ¿Lo puedo utilizar? Lo puedo utilizar. Yo, de hecho, uno equivalente podría ser 2, 1 menos 1, ¿verdad? 2, 1 menos 1. 00:03:13
Entonces, yo lo que quiero que veáis, y es súper importante en lo de las rectas, que yo puedo utilizar cualquier vector que sea proporcional a otro y eso me va a valer sobre todo también para rectas paralelas y demás, ¿de acuerdo? 00:03:33
Entonces, fijaros, yo con esto ya tengo mi ecuación vectorial, 00:03:48
que también nos la podemos encontrar de este tipo, ¿vale? 00:03:53
X, Y, Z es igual a 1, 2, 3. 00:03:57
Fijaros, vamos a utilizar el equivalente, que es 2, 1, menos 1, ¿vale? 00:04:00
Esto es equivalente a este, ¿de acuerdo? 00:04:05
¿Sí? 00:04:08
Entonces, ¿cuáles son las paramétricas? 00:04:09
¿Alguien me lo sabría decir? 00:04:11
¿X es igual a qué? 00:04:17
1 más 2 lambda 00:04:18
la I 00:04:21
es igual a 2 más lambda 00:04:23
y la Z es igual a 00:04:25
3 menos lambda, ¿lo veis? 00:04:27
entonces, súper importante 00:04:29
cuando veamos 00:04:30
cuando veamos una ecuación 00:04:33
yo tengo que saber ya del 00:04:35
tirón, si es la vectorial, es que esto 00:04:37
es un punto 00:04:39
y lo que multiplica a lambda 00:04:40
es el vector director 00:04:43
¿de acuerdo? 00:04:45
Y aquí igual, lo que no lleve lambda, esto es el punto, ¿de acuerdo? 00:04:46
Y lo que vaya con lambda, aquí me falta una de estas para todo lambda que pertenece a R, ¿vale? 00:04:53
Las paramétricas tengo que poner una llave y para todo lambda que pertenece a R. 00:04:58
Pues todos los parámetros que acompañan a lambda es el vector director, ¿vale? 00:05:03
Vector director. 00:05:08
Y ahora, chavales, había otro tipo de ecuación, ¿os acordáis? 00:05:10
La continua. 00:05:14
Y la continua, chavales, no la aprendáis de memoria, que os la podéis aprender también, pero si se os olvida, es despejar lambda de cada uno de ellos, ¿de acuerdo? 00:05:15
Entonces, si yo despejo de la x lambda, resulta que tengo x menos 1 partido de 2. Si yo despejo lambda de la otra, resulta que esto es y menos 2 partido de 1. 00:05:25
Y si yo despejo la onda de la otra, sería z menos 3 partido de menos 1. 00:05:37
¿Lo veis? 00:05:45
Y entonces, chavales, aquí que tengo lo que acompaña a la x, esto es el punto, 00:05:46
y lo que hay abajo es el vector director. 00:05:53
Dime. 00:05:59
¿Y el punto cuánto es el último? 00:05:59
El punto siempre es x menos. 00:06:02
Entonces, si el punto fuera, por ejemplo, vamos a hacer un ejemplito. 00:06:04
Si yo tuviera, más me interesa la continua mucho, ¿vale? Si yo tuviera el punto C, ¿vale? Que es, yo qué sé, menos 2, 4, 5. Y mi vector director de C, ¿vale? Yo qué sé, 3, 0, menos 2. ¿Cuál sería su ecuación de la recta continua? Pues sería x más 2, ¿vale? Partido de 3. 00:06:07
Esto sería y menos 4 partido de 0 00:06:32
Fijaros que es aquí una de las pocas veces 00:06:36
Donde vais a ver un 0 en el denominador 00:06:39
Y un negativo en el denominador 00:06:42
¿Vale? Normalmente en matemáticas los menos se ponen arriba 00:06:44
¿Vale? Y esto sería igual a z menos 5 partido de menos 2 00:06:47
¿Vale? Esta sería la ecuación continua de la recta 00:06:51
Que pasa por el punto C 00:06:55
Y cuyo vector director es 3, 0, menos 2 00:06:56
Y me interesa, lo he puesto de ejemplo 00:06:59
Porque me interesa para que os acostumbréis 00:07:01
haber un cero, ¿de acuerdo? 00:07:02
en el denominador 00:07:05
entonces chavales, nos queda otra 00:07:06
nos queda otra 00:07:09
que es muy importante 00:07:11
y que por ejemplo desde mi punto de vista 00:07:13
como lo explica el libro 00:07:16
a mí me parece un poquillo más lioso 00:07:17
y es la ecuación 00:07:19
la ecuación, lo diré 00:07:22
la ecuación implícita 00:07:24
¿vale? 00:07:27
la ecuación implícita 00:07:28
ecuación implícita 00:07:30
entonces chavales 00:07:32
la ecuación 00:07:34
todo lo que he hecho anteriormente 00:07:36
es la recta que pasa 00:07:41
por estos dos puntos 00:07:43
que pasa por A y por B 00:07:44
me dan dos puntos 00:07:46
entonces al darme dos puntos yo puedo hallar 00:07:47
el vector directo 00:07:50
y esto es otro ejemplo 00:07:51
esto es una recta 00:07:54
que pasa por este punto y tiene 00:07:57
otro ejemplo 00:07:58
¿vale? otro ejemplo 00:07:59
pasa que me interesa que veáis un 0 00:08:01
abajo y también números negativos 00:08:05
¿vale? este es otro ejemplo 00:08:07
de una recta que pasa por el punto C 00:08:09
y el vector director es este de aquí 00:08:11
¿vale? 00:08:13
entonces cuando a mí me dan dos puntos yo realmente 00:08:14
intrínsecamente tengo un punto y un vector 00:08:17
si tengo un punto y un vector 00:08:19
yo ya tengo todo 00:08:21
la vectorial es 00:08:22
x o x y z 00:08:24
es igual a 1, 2, 3, es decir el punto 00:08:26
más lambda, esto es para todo lambda que pertenece a R, más lambda y el vector 00:08:28
director. La paramétrica es X es igual al punto más el vector por lambda, la Y es 00:08:33
igual a la componente Y del punto más la componente Y del vector director por 00:08:40
lambda, la Z es igual a la componente Z del punto más la componente Z del vector 00:08:45
director por lambda, ¿de acuerdo? 00:08:52
La continua es 00:08:55
despejando lambda precisamente 00:08:56
de la paramétrica, o si no, siempre 00:08:58
es x menos la 00:09:00
componente x del punto 00:09:02
y menos la componente y del 00:09:04
punto z menos la componente 00:09:06
z del punto, y abajo 00:09:08
partido precisamente por el vector 00:09:10
director, ¿lo veis? 00:09:12
Ahora, la implica... 00:09:14
Puedes utilizar el punto 00:09:19
ve también, ¿vale? Cualquiera 00:09:22
de los puntos que tú quieras, ¿vale? 00:09:24
Lo que pasa es que como es el 1, 2, 3, pues es más fácil, 00:09:26
¿vale? Entonces, pero vamos, 00:09:28
puedo poner aquí el menos 3, 0, 00:09:30
5 y no hay problema, ¿vale, 00:09:32
Raúl? Igual, 00:09:34
aquí, esto es otro ejemplo, dime, Noa. 00:09:36
Este no hay algo que no se... 00:09:38
No, no, no, no, por eso digo, es el único 00:09:40
sitio donde vais a ver un cero dividiendo, 00:09:42
¿vale? Entonces, chavales, 00:09:44
fijaros aquí. Lo que quiero 00:09:46
es la ecuación implícita. La ecuación 00:09:48
implícita resulta de una recta 00:09:50
Aquí a lo mejor Martín, llevad ahí los que no sé si habéis dado dibujo o no 00:09:52
La intersección de dos planos 00:09:57
La intersección de dos planos, ¿alguien sabe lo que es geométricamente siempre? 00:10:00
Es una recta, ¿vale? 00:10:05
La intersección de dos planos es una recta, ¿vale? 00:10:07
Yo ahora estos ejemplos los voy a poner en GeoGebra 00:10:11
Para que lo veáis y os lo creáis que realmente es así, ¿vale? 00:10:14
Entonces, en la ecuación implícita 00:10:17
La ecuación implícita de una recta 00:10:20
Lo que vamos a tener siempre van a ser dos planos y siempre tiene que ser igual a 0, ¿vale? Siempre tiene que ser igual a 0. Entonces, fijaros cómo se hace, chavales. Partiendo de la continua, partiendo de la continua es mucho más fácil, ¿vale? Partiendo de la continua es mucho más fácil. 00:10:23
Entonces, yo tengo aquí esta igualdad, ¿verdad? 00:10:41
Entonces, yo cojo, tengo aquí dos igualdades. 00:10:43
Cojo, por ejemplo, este primero y este segundo y ¿qué tengo? 00:10:47
X menos 1 partido de 2 es igual a Y menos 2 partido de 1, ¿verdad? 00:10:52
Yo lo multiplico en Q y ¿qué me queda? 00:10:57
X menos 1 es igual a 2Y menos 4. 00:10:59
Todo el mundo me sigue y ahora lo llevo todo a un miembro, ¿vale? 00:11:03
Lo llevo todo, por ejemplo, al primer miembro. 00:11:07
y esto me queda 00:11:09
aquí, y esto ya vale 00:11:10
no ajuste o no, esto es un plano 00:11:13
¿vale? esto es un plano 00:11:15
¿veis lo que he hecho? 00:11:17
he cogido la igualdad primera y segunda 00:11:20
la igualo, la multiplico 00:11:22
en Q y me da un plano 00:11:23
ahora cojo por ejemplo la segunda 00:11:25
y la tercera, puedo coger la primera y la 00:11:27
tercera a U1 ¿vale? 00:11:29
entonces yo cojo por ejemplo la segunda 00:11:31
y la tercera y tengo 00:11:33
menos 2 partido de 1 es igual 00:11:35
la z menos 3 partido de menos 1. 00:11:37
¿Todo el mundo me sigue? Multiplico 00:11:40
en cruz. Menos i más 2 00:11:41
es igual a z menos 3. 00:11:43
¿Lo veis? ¿Cómo? 00:11:46
Sí, sí, sí. 00:11:52
Y esta no es la paramétrica, esta es la continua, ¿vale? 00:11:53
En la continua siempre, por favor, 00:11:56
ponerlo, ponerlo, ¿vale? 00:11:58
El 1, el 0, el negativo 00:12:00
son los únicos sitios donde vais a ver 00:12:01
un 1 como 00:12:03
denominador, un 0 como 00:12:05
denominador y un número negativo como denominador vale entonces yo aquí si me lo llevo todo yo que 00:12:07
sé al segundo miembro que tengo y maceta menos 5 verdad igual a 0 esto es otro plano lo veis 00:12:14
veis todo el mundo lo que he hecho y entonces que resulte que pasa que la ecuación implícita 00:12:24
que está de la resta es un sistema 00:12:30
formado de x menos 00:12:32
2y más 3 00:12:34
igual a 0 y 00:12:35
más z menos 5 00:12:37
igual a 0. Esto de aquí 00:12:39
son las ecuaciones 00:12:42
implícitas de la resta. 00:12:43
Estamos hablando 00:12:48
en todo momento de la misma 00:12:49
resta. ¿Lo veis, chavales? 00:12:51
¿Sí? Entonces, ¿qué ocurre? 00:12:53
Vamos a analizar un momentillo. 00:12:56
Esto realmente, ¿qué sería? 00:12:57
Sería un sistema 00:13:00
de dos ecuaciones con tres incógnitas. 00:13:01
Yo tengo aquí la x, la y y la z, ¿lo veis? 00:13:04
Es un sistema de tres ecuaciones con dos incógnitas, ¿vale? 00:13:07
Entonces, chavales, 00:13:11
sistema de dos ecuaciones con tres incógnitas. 00:13:13
Ah, lo he dicho al revés, ¿no? 00:13:15
Sistema de dos ecuaciones con tres incógnitas. 00:13:16
Gracias, claro. 00:13:18
Entonces, ¿qué es lo que ocurre? 00:13:19
Que aquí, que aquí el rango, el rango de a, 00:13:21
Jesús, el rango de a sería uno o dos, 00:13:25
como no son proporcionales, ¿lo veis? 00:13:28
El rango de A es 2, ¿veis? 00:13:29
Y el rango de la ampliada, a cojones tiene que ser 2, no puede ser 3, ¿vale? 00:13:32
Y entonces, ¿qué ocurre? 00:13:37
Que el número del rango de A es igual a 2, que es igual a la ampliada, 00:13:39
que es distinto de 3, que es el número de incógnita, eso que era, chavales. 00:13:45
Sistema compatible indeterminada, ¿cuántas soluciones tendríamos? 00:13:52
Infinita. 00:13:57
¿Y cuántos puntos tiene una recta? 00:13:58
infinito. ¿Lo veis? 00:13:59
Está todo ligado. 00:14:02
Está todo ligado. No tenemos que discutirlo. 00:14:04
Lo que quiero que veáis es que realmente 00:14:06
todo esto es una resta. 00:14:08
¿Lo veis, chavales? Dime. 00:14:10
Entonces, si te tiras de la posición implícita, son dos. 00:14:11
Suelen ser 00:14:14
la intersección de dos planos. 00:14:15
¿Vale, chavales? ¿Sí o no? 00:14:18
¿Sí? Venga. 00:14:20
Pues, chavales, voy a hacer 00:14:22
un momentillo. Me interesa mucho 00:14:24
hacer la ecuación implícita de aquí 00:14:25
porque hay casos 00:14:28
Hay casos que, como cuando tenemos un 0, se hace exactamente igual, pero hay una parte un poquito, desde mi punto de vista, más fácil o a la gente le lía, ¿vale? 00:14:29
Entonces, chavales, lo voy a hacer esto en colorado, ¿vale? 00:14:44
Si yo tengo x más 2 partido de 3 es igual a y menos 4 partido de 0. 00:14:47
Esto era otra ecuación de la resta, ¿vale? 00:14:55
X menos 5 partido de menos 2 00:14:57
Cuando yo tengo aquí algo partido de 0 00:15:00
¿Vale? 00:15:03
No me la juego 00:15:04
Directamente hago 00:15:05
Y menos 4 es igual a 0 00:15:06
Ya tengo un plano 00:15:10
Eso, aunque no nos parezca 00:15:11
Es un plano, ¿vale? 00:15:13
Es el plano igual a 4 00:15:14
Es un plano paralelo al eje XZ 00:15:16
¿Vale? 00:15:20
Y ahora cojo la primera y la tercera 00:15:21
Y hago lo mismo 00:15:23
X más 2 partido de 3 00:15:24
es igual a z menos 5 00:15:26
partido de menos 2. Esto se supone 00:15:29
que es un 3. ¿Y qué tengo? 00:15:31
Menos 2x menos 4 00:15:33
es igual a 3z 00:15:35
menos 15. 00:15:36
¿Y entonces qué ocurre? Que tengo aquí 00:15:39
más 3z 00:15:43
menos 11 00:15:44
igual a 0. Si esto me lo 00:15:47
llevo aquí y menos 00:15:49
4 es igual a 0 y chavales, muy 00:15:51
importante, porque si no es un error. 00:15:53
las implícitas siempre van 00:15:54
igualadas a cero 00:15:57
igualadas a cero 00:15:58
entonces, todo esto de aquí 00:16:00
que son dos planos 00:16:03
su intersección es una recta 00:16:04
precisamente es esta 00:16:07
recta de aquí 00:16:09
¿vale? 00:16:10
¿sí chavales? 00:16:12
venga, me voy ahí un momento a GeoGebra 00:16:15
necesito que me apuntéis 00:16:17
los 00:16:18
esto de C y de D, C 00:16:20
y el A y el B, ¿vale? 00:16:22
¿Sí o no? 00:16:24
¿Todo el mundo? 00:16:26
Y lo de los planos estos también, ¿vale? 00:16:27
Esto de aquí también lo necesito que lo tengáis apuntado. 00:16:31
Esto de aquí también necesito que lo tengáis apuntado. 00:16:34
¿Sí? 00:16:38
¿Todo el mundo entiende lo que estoy haciendo o no? 00:16:39
Venga. 00:16:42
Pues, chavales, me voy ahí un momento a GeoGebra. 00:16:43
Ay, este no es. 00:16:49
Siempre tengo este un favorito. 00:16:50
GeoGebra clásico, ¿vale? 00:16:55
Entonces, chavales, aquí como estamos en el espacio, 00:17:00
yo me tengo que ir sí o sí al 13, a la vista 13. 00:17:03
Venga, el punto A, si no me equivoco, era un 2, 3, ¿verdad? 00:17:08
Tengo el punto A. 00:17:12
¿Y el punto B cuál era? 00:17:13
Hola. 00:17:17
¿Punto B? 00:17:18
Menos 3, 0, 5. 00:17:20
¿Menos 3, 0, 5 seguro? 00:17:21
Venga. 00:17:24
Entonces, chavales, si yo hago el vector director, 00:17:25
¿Vale? El vector director es el que une A con B, ¿verdad? 00:17:29
Entonces lo pongo en minúscula. 00:17:34
¿Esto qué era? Menos 4, ¿verdad? 00:17:35
Menos 4, menos 2, 2. 00:17:38
Menos 4, 2, 2. 00:17:47
Vale, ese es el vector. ¿Lo veis? 00:17:50
Menos 2, 2, ¿verdad? 00:17:54
Menos 2. 00:18:00
Vale, pues si os fijáis, chavales, no sé si lo veis aquí o no. 00:18:01
Si yo uno los puntos AB 00:18:04
Lo que vamos a hallar ahora 00:18:09
La recta que pasa por AB 00:18:10
No sé si veis aquí 00:18:12
Realmente este vector es paralelo al vector AB 00:18:13
¿Lo veis que es paralelo o no? 00:18:17
00:18:19
Vale, pues entonces 00:18:19
Necesito que me digáis, chavales 00:18:21
Bueno, si yo hago la recta 00:18:23
Si yo hago, por ejemplo 00:18:27
Yo hallo el punto C 00:18:29
Es igual a 00:18:30
Ah, bueno, espérate, voy a hacer una A, ¿no? 00:18:33
Y aquí hago C es igual a A más A D. 00:18:35
¿Vale? Yo aquí tengo un punto, que no sé si veis ese punto. 00:18:41
Ese punto de aquí realmente lo que me está haciendo es, 00:18:47
me está pasando por el punto A, por el punto B, 00:18:51
lo que está definiéndome es la recta. 00:18:54
Si yo, de hecho, yo aquí le pongo en propiedades mostrar rastro, 00:18:56
al final, ¿qué es lo que me está haciendo? 00:19:01
Me va a dibujar la recta, ¿verdad? 00:19:03
Que pasa por A y por B. 00:19:05
Esa sería la ecuación vectorial, ¿vale? 00:19:07
Pero vamos a hablar de plano. 00:19:10
Vamos a hablar de plano. 00:19:13
Necesito que me digáis el primer plano de esta recta. 00:19:14
X menos 2Y más 3 igual a 0, ¿verdad? 00:19:18
Vale, pues esto es un plano que no lo veo dibujado. 00:19:26
A ver. 00:19:32
X menos 2Y más 3 igual a 0 00:19:32
¿O qué? 00:19:37
Ahora, ¿no? 00:19:38
Ah, bueno, porque contiene a esta resta, ¿no? 00:19:40
Que feo ha salido 00:19:42
¿Vale? 00:19:43
¿Seguro? 00:19:47
Vale, ¿y la otra? 00:19:49
Y más Z igual 00:19:53
Menos 5 00:19:54
Igual a 0 00:19:57
No sé si veis la intersección de los dos planos 00:19:57
Que no sé por qué los dos han salido tan feísimos 00:20:03
veis que la intersección 00:20:06
de los dos planos es precisamente 00:20:10
mi recta, eso lo ve 00:20:12
todo el mundo chavales 00:20:17
de hecho fijaros, si yo hago 00:20:18
aquí, interseca 00:20:21
F1 y F2 00:20:23
lo que me sale 00:20:25
si yo quito ahora los planos 00:20:27
estos, lo que me sale 00:20:29
que es, la recta lo veis 00:20:31
que pasa por A y por B 00:20:33
¿lo veis? la intersección 00:20:35
de estos dos planos, que no sé por qué 00:20:37
me sale esto tan asqueroso 00:20:39
¿Vale? De estos dos 00:20:40
La intersección de esos dos planos 00:20:42
Es precisamente la recta que pasa 00:20:44
Por ahí por dentro. ¿Lo veis todo el mundo? 00:20:46
¿Sí? ¿Lo veis todo el mundo? 00:20:49
Vale 00:20:51
Pues os lo creéis 00:20:51
¿No? Os lo creéis 00:20:55
Entonces, para estos ejercicios 00:20:56
Sí que os recomiendo mucho que utilicéis 00:20:58
GeoGebra, porque la 00:21:00
Posibilidad de equivocarse 00:21:01
Es bastante, ¿vale? Es bastante 00:21:03
Entonces, chavales 00:21:06
Vamos a ver ahora el otro ejemplito, ¿vale? 00:21:07
el otro ejemplito venga decirme un momento el punto se vale un segundo en 00:21:10
víctor y el punto se era 00:21:27
menos 245 no vale y el resto directo cual era 00:21:32
pero menos menos 2 00:21:42
Entonces, chavales, fijaros dónde está el punto C y fijaros cuál es el vector director. 00:21:46
Si yo hago la ecuación implícita, que es menos 2... 00:21:53
Bueno, voy a hacer un momentillo esto en una, ¿no? 00:22:04
Y a ver si me sale aquí. 00:22:06
A ver, decir un momentillo. 00:22:08
Hemos hecho la implícita. 00:22:09
Sería x menos 2, ¿no? 00:22:12
x más 2 partido de 3, ¿verdad? 00:22:13
igual a 00:22:18
i, no la hemos hecho 00:22:20
creo, ¿no? Partido 00:22:23
a i menos 4, ¿no? 00:22:24
i menos 4 00:22:26
partido de 00:22:28
y es igual a 00:22:34
z menos 5, ¿verdad? 00:22:37
Partido de menos 2 00:22:40
¿He hecho algo más? 00:22:41
00:22:45
Borra 00:22:46
Chavales, por favor, necesito silencio, si no 00:22:48
se me va la olla, ¿vale? 00:22:51
y menos 4, ¿verdad? 00:22:56
partido de 0 00:23:01
partido de 0 00:23:02
y es igual a 00:23:06
z menos 5, ¿verdad? 00:23:08
partido de menos 2 00:23:12
y no me lo dibuja 00:23:14
bueno, espérate, vamos a hacer 00:23:18
una cosilla 00:23:23
venga 00:23:25
sí, sí, es lo que voy a hacer, ¿vale? 00:23:27
Venga, borrar 00:23:29
Voy a hacer un momentillo a ver si esto es menos 2, ¿verdad? 00:23:32
Menos 2, 4, 5 00:23:36
Más A que multiplica a 3 00:23:37
Menos 2, ¿no? 00:23:42
Y esto al final 00:23:47
Es paralelo aquí, ¿verdad? 00:23:48
Y pasa por C, ¿verdad? 00:23:54
Venga, estupendo 00:23:56
Pues venga, decidme los planos, al favor 00:23:57
¿Cómo? 00:23:59
y menos 4 igual a 0 00:24:02
por favor silencio 00:24:05
veis como contiene el punto 00:24:06
veis que el punto está contenido en el plano 00:24:09
veis que el punto 00:24:11
está contenido en el plano 00:24:13
venga el otro plano 00:24:15
más 3x 00:24:21
si yo interseco 00:24:22
es por donde 00:24:30
está pasando mi punto lo veis 00:24:32
es por donde está pasando el punto 00:24:34
¿Lo veis? Si yo ahora hago aquí 00:24:37
Interseca 00:24:38
Interseca F1 y F2 00:24:39
Precisamente me da 00:24:43
La recta 00:24:45
¿Lo veis? Precisamente me da 00:24:46
La recta de intersección de ambos 00:24:49
De ambos puntos y es donde 00:24:51
Está el punto este 00:24:53
¿Lo veis? Entonces 00:24:54
La intersección, por favor silencio 00:24:56
La intersección de dos planos 00:24:58
¿Vale? 00:25:00
Claro, que se cruzan 00:25:02
Evidentemente, porque si son dos 00:25:04
planos paralelos, no hay resta. 00:25:06
¿Vale? ¿Lo veis todo el mundo 00:25:09
o no? ¿Sí? 00:25:11
Pues chavales, 00:25:14
la implícita ya sabemos cómo 00:25:15
se halla, ¿no? Es a través, sobre 00:25:17
todo, de la... 00:25:19
Lo diré. De la... 00:25:21
De la continua. 00:25:23
¿De acuerdo? Entonces, 00:25:26
chavales, ahora que tengo esto de aquí, 00:25:27
me interesa muchísimo que veamos una 00:25:29
cosilla. 00:25:31
Voy a copiar esto. 00:25:33
voy a copiar esto. 00:25:35
Lo digo porque 00:25:39
me interesa muchísimo 00:25:40
una cosa. 00:25:43
¿Recordáis cuál era el vector 00:25:45
director de esta recta? 00:25:47
¿Cuál era el vector director? 00:25:49
No. 00:25:52
De esta recta. El primero. 00:25:53
2, 1, menos 1. 00:25:57
¿Verdad? Habíamos hecho 00:25:59
a lo mejor era menos 4, menos 2, 2. 00:26:01
Pero nos hemos quedado en 2, menos 1, 1. 00:26:03
Vale, chavales. 00:26:05
Esto de aquí, ¿qué es? 00:26:07
Esto realmente es un plano, ¿no? 00:26:08
Y esto es otro plano. 00:26:11
Bueno, pues aunque es adelantado un poco de materia, 00:26:12
me interesa muchísimo. 00:26:14
Esto de aquí, ¿qué es un plano? 00:26:16
El x menos 2y más 3 igual a 0. 00:26:18
Si yo aquí dibujo un plano, 00:26:22
hay un vector que es perpendicular a ese plano. 00:26:27
Un vector que es perpendicular a ese plano, ¿de acuerdo? 00:26:31
Y que cuando ahora veamos las ecuaciones de un plano es súper importante, ¿vale? Si este plano es pi, este vector es npi, que es perpendicular a ese plano. Es decir, esto forma un ángulo de 90 grados con el plano. ¿Lo veis? ¿Sí? 00:26:34
Bueno, pues, ¿cómo hallo ese vector perpendicular? 00:26:53
Pues precisamente este npi, si pi es, esto es el plano pi sub 1, ¿vale? 00:26:58
Vamos a ir aquí a pi sub 1, npi sub 1. 00:27:05
Las coordenadas de ese vector que es perpendicular al plano 00:27:08
son precisamente los coeficientes que acompañan a la x, 00:27:13
que acompañan a la y y que acompañan a la z. 00:27:17
¿La habéis comprendido esto? 00:27:20
No hay lía 00:27:23
Yo tengo aquí un plano 00:27:23
Tengo aquí un coeficiente que es el 1 00:27:25
¿Verdad? 00:27:29
Es el coeficiente que es el menos 2 00:27:29
Y es el coeficiente que es el 3 00:27:31
Bueno, pues un vector 00:27:33
Perpendicular al plano piso 1 00:27:35
Es precisamente esto de aquí 00:27:38
¿Lo veis? 00:27:40
¿Sí o no? 00:27:41
Dime, hijo 00:27:43
Bueno, es una cosa que 00:27:44
Si por ejemplo me da la cuarta multiplícita 00:27:46
¿Cómo puedo usarlo en el vector director? 00:27:48
si no te dan la implícita 00:27:50
si te dan la implícita 00:27:53
si te dan, pues mira, lo vamos a ver 00:27:55
¿vale? 00:27:57
en el vector normal 00:27:58
el 3 es independiente 00:28:00
¡ay! vale, vale, vale 00:28:03
muy bien, muy bien, esto es un serapio 00:28:04
perdonad chavales, me he dejado llevar 00:28:06
¿vale? esto es un serapio 00:28:08
porque la sed no existe 00:28:10
¿vale? eso tened cuidadito 00:28:12
gracias padre 00:28:14
por menos mal que me lo has dicho 00:28:16
y aquí igual, entonces chavales, aquí yo tengo 00:28:17
otro vector, lo dibujo así, imagina 00:28:20
porque me es más fácil, ¿vale? 00:28:22
Esto es pi2. Bueno, pues 00:28:24
un vector normal, que es n 00:28:26
pi2, ¿vale? 00:28:28
Aquí, ¿cuál sería? ¿Alguien me sabe decir 00:28:30
cuál es el vector normal a pi2? 00:28:32
0, 1 00:28:36
y 1, ¿vale? 00:28:36
¿Sí o no? 0, 1 y 1. 00:28:38
Entonces, Guillo, 00:28:41
Hugo, a tu pregunta, y esto 00:28:42
es súper importante porque nos va 00:28:44
a valer 00:28:46
para todo, ¿de acuerdo? 00:28:48
Chavales, es que a ver si soy capaz de representarlo en GeoGebra 00:28:50
Chavales, esto de aquí 00:28:56
Esto de aquí, ¿veis que un vector de aquí 00:29:00
No sé si lo veis 00:29:04
Si yo hago un vector perpendicular al plano 00:29:05
Si yo hago un vector perpendicular a este plano 00:29:08
¿Es también perpendicular a la recta? 00:29:11
Si yo hago un vector perpendicular a este plano de aquí 00:29:15
¿También sería perpendicular a la recta? 00:29:19
¿Sí o no? ¿Sí? Vale. Pues eso me interesa mucho porque precisamente si yo hago, chavales, el producto vectorial, el producto vectorial de los vectores perpendiculares a los planos que forman cuya intersección es la recta, 1 menos 2, 0, y 0, 1, 1, ¿qué creéis que me va a dar el director? 00:29:22
me da Javier 00:29:49
¿lo veis? entonces si yo tengo 00:29:50
si yo tengo chavales 00:29:53
dos 00:29:55
planos que se cruzan, que es una 00:29:57
recta, y yo tengo 00:29:59
los vectores 00:30:01
perpendiculares a esos planos 00:30:03
si yo hago su vector director 00:30:05
porque al final, es verdad, su 00:30:07
producto vectorial, me daba el 00:30:09
producto vectorial siempre de dos 00:30:11
de dos vectores, otro que era 00:30:13
perpendicular, ¿sí o no? 00:30:15
¿sí o no? entonces chavales 00:30:17
¿Esto qué es? La I por menos 2, 0, 1, 1, menos J por 1, 0, 0, 1, más K por 1, menos 2, 0, 1. 00:30:19
¿Sí o no? ¿Y esto qué es? Esto sería menos 2. Esto sería 1, menos 1. Fijarse. 00:30:33
y esto sería 1, anda 00:30:42
este y este 00:30:45
como son ya, vale 00:30:47
como son, iguales 00:30:48
me refiero, son paralelos 00:30:51
son proporcionales 00:30:53
vale, entonces 00:30:55
así puedo yo obtener el vector 00:30:56
director, dadas las 00:30:59
ecuaciones implícitas de una resta 00:31:01
haciendo el producto 00:31:03
vectorial de los 00:31:05
vectores 00:31:07
perpendiculares a cada uno 00:31:09
de los planos que conforman la resta. 00:31:11
¿Sí o no? 00:31:13
¿Sí o no? 00:31:15
Elena, ¿cómo que no? 00:31:19
Dime un plano. 00:31:20
¿Cómo que no? 00:31:21
¿Eh? 00:31:22
Venga, un plano. 00:31:26
más 2Y 00:31:29
menos Z y ya está. 00:31:31
¿Y un término independiente o...? 00:31:34
Venga, pues igual a cero. 00:31:37
Venga, ahora otro. 00:31:38
más Z 00:31:42
No, igual a 2 no, me tienes que darlo así 00:31:44
Menos 2 igual a 0 00:31:48
¿Vale? Estas son las ecuaciones implícitas 00:31:49
Estos son dos rectas 00:31:51
¿Son dos rectas o no? 00:31:53
¿Por qué? ¿Por qué son dos rectas? 00:31:55
Bueno, estos son dos planos, perdona 00:32:02
¿Y estos planos son paralelos o no? 00:32:05
¿Cuál es el vector normal a este? 00:32:09
1, 2 00:32:13
Menos 1 00:32:13
¿Y cuál es el vector normal a este? 00:32:15
0, 1 00:32:17
0, 1 y 1 00:32:18
¿Vale? 00:32:20
¿Son proporcionales? 00:32:22
Natilla 00:32:23
Pues entonces no son paralelos 00:32:24
¿Vale? 00:32:26
No son paralelos 00:32:27
Si esto es pi 1 00:32:28
Y esto es pi 2 00:32:29
Pi 1 00:32:32
No es paralelo a pi 2 00:32:33
¿Vale? 00:32:37
Entonces, chavales 00:32:38
Si yo hago el producto 00:32:39
Estos son 00:32:40
Este es el vector normal a pi 1 y este es el vector normal a pi 2, ¿vale? 00:32:45
Y lo cojo de los coeficientes que acompañan a la x, a la y, a la z. 00:32:52
Si yo hago el producto vectorial, ¿vale? 00:32:56
Obtengo la y que es 2 menos 1, esto es 3. 00:33:01
Esto es 1 menos 1, esto que es 1 también. 00:33:06
Este es el vector director de esta recta de aquí, ¿vale? 00:33:10
Y ahora, chavales, ¿cómo conseguiría 00:33:15
yo un punto? ¿Cómo consigo 00:33:17
yo un punto, chavales? 00:33:19
Pues estoy pidiendo 00:33:22
de que sí. 00:33:23
¿Cómo? 00:33:25
Venga, dímelo. Por ejemplo, de este. 00:33:27
¿Cómo consigo yo un punto de la resta? 00:33:29
Lo que quieras y despejar la otra. 00:33:35
O sea, 2... Pero dímelo. 00:33:37
O sea, y es igual a 2. 00:33:39
Y es igual a 2. 2 más z 00:33:41
menos 2 es igual a 0. 00:33:43
Entonces, 2 más z 00:33:46
menos 2 es igual a 0. ¿De dónde 00:33:48
z es igual a cero, ¿no? 00:33:50
¿Y ahora qué hago? Me voy a la 00:33:52
x, x más 4 00:33:54
es igual a cero, 00:33:56
pues x es igual a menos 4. 00:33:59
¿Sí o no? Entonces, ¿qué punto 00:34:01
tengo? Menos 4, 2 00:34:02
y cero. 00:34:04
¿Nos lo creemos? 00:34:06
¿Sí? Pues yo no me lo creo. 00:34:08
¿Dónde me voy a ir? 00:34:11
A GeoGebra. 00:34:12
¿Vale? Me voy a ir a GeoGebra. 00:34:14
¿Vale? GeoGebra. 00:34:17
necesito que tengáis copiado chavales 00:34:18
porque tengo la memoria de un P 00:34:21
y la Dori 00:34:23
que me copiéis esto 00:34:24
que me copiéis esto 00:34:26
necesito que me copiéis 00:34:28
esto que es el vector directo 00:34:31
y este punto ¿vale? 00:34:33
¿si o no? 00:34:35
pero que le ha molado a 00:34:39
a Juste 00:34:41
le ha molado, tú puedes elegir 00:34:42
el que tú quieras 00:34:45
¿Vale? 00:34:47
Lo que sí tiene que ocurrir... 00:34:47
¿Cuál es tu número favorito? 00:34:50
El 5, que viene premio. 00:34:52
Pues venga, pues lo hacemos con el 5. 00:34:53
Y es igual a 5, ¿vale, Guilla? 00:34:55
¿Sí o no? 00:34:57
Entonces, de esta ecuación, 00:34:58
si la Y vale 5, ¿cuánto vale Z? 00:35:01
Menos 3, ¿no? 00:35:04
¿Sí? 00:35:06
Pues sí, ahora, si Y vale 5 y Z vale menos 3, 00:35:08
pues X... 00:35:11
Y yo callarse un poco, por fin. 00:35:12
X es igual a menos 13. 00:35:14
Anda, pues hoy no vamos a llevar el premio bien. 00:35:18
Menos 13, 5 menos 3. 00:35:20
¿Sí o no? 00:35:23
¿Sí? 00:35:24
Este es otro punto de esa recta. 00:35:25
¿Vale? 00:35:28
¿Me lo apuntáis? 00:35:29
¿Me apuntáis a esto, chavales? 00:35:32
Si me lo apuntáis... 00:35:35
Gracias. 00:35:37
Venga, Gio, Gio. 00:35:39
Venga, salimos. 00:35:41
Eh, ¿me podéis decir, chavales, los planos? 00:35:42
Ey, ey, ey, ey, ey 00:35:49
X más 2Y menos Z igual a cero, ¿verdad? 00:35:50
Venga, ¿qué más? 00:35:57
Y yo 00:36:02
Fernando y Claudia, chavales, por favor 00:36:03
Venga, ¿qué más? 00:36:06
Jimena, cállate ya, aquí ya 00:36:10
Y más Z 00:36:12
menos 2 igual a 0. 00:36:15
¿Veis todo el mundo, chavales, 00:36:18
que se intersecan? 00:36:20
¿Sí o no? 00:36:22
Si yo interseco, 00:36:23
interseca F1, F2, 00:36:25
me da una ecuación. 00:36:28
Fijaros, ya me aparece el 3 menos 1, 1. 00:36:30
¿Lo veis? 00:36:33
¿Me aparecía eso o no? 00:36:33
Sí. 00:36:35
¿Cuál era el primer punto de tuyo y usted? 00:36:37
¿Cuál era tu primer punto? 00:36:40
¿2? 00:36:42
¿Cómo? 00:36:42
Menos 4, 2, 0 00:36:47
El punto A 00:36:48
Fijaros dónde está el punto A 00:36:52
El punto A, chavales 00:36:55
Está en la recta 00:36:58
Interseca a los dos 00:36:59
Y ahora el de NOA 00:37:01
Un momentillo 00:37:03
Menos 3, 5, menos 13 00:37:06
Menos 13, 5, menos 3 00:37:09
Menos 13, 5, menos 3 00:37:13
¿Ve que la N de NOA también pertenece a la recta? 00:37:16
¿Lo veis? 00:37:26
¿Lo veis? 00:37:27
Entonces, cuando yo tenga unas ecuaciones implícitas, 00:37:28
que son la intersección de dos planos, 00:37:32
para hallar el vector director, 00:37:36
hago el vector normal de los vectores perpendiculares a los planos. 00:37:38
plano, es decir, hago el producto vectorial de los vectores perpendiculares al plano, y yo quiero 00:37:44
hallar un punto, pues elijo mi número favorito, en la coordenada que yo quiera, en la x, en la y o en 00:37:51
la z, ¿vale? Entonces, normalmente yo me iría aquella que tiene dos incógnitas nada más, que 00:37:57
habéis hecho ustedes, la he hecho igual a 2, la he hecho igual a 5. De como tengo 2, pues como si 00:38:06
quiero hallar, me refiero, 00:38:13
le doy a una un valor 00:38:16
y despejo de las otras dos ecuaciones 00:38:17
la x y la z en este 00:38:19
caso. ¿Lo veis, chavales, o no? 00:38:21
¿Sí o no? 00:38:24
Entonces, chavales, ahora, súper 00:38:25
importante, por favor, súper importante. 00:38:27
Si yo 00:38:31
quiero hallar una 00:38:32
recta perpendicular a otra, 00:38:33
¿cómo lo hago? 00:38:36
Venga, decirme un punto. 00:38:40
Decirme un punto. Venga. 00:38:42
Venga, Jimena, 00:38:45
el punto J 00:38:46
2, 4 00:38:47
menos 8 00:38:51
venga, otro punto, ¿alguien me lo dice? 00:38:52
¿quién? 00:38:55
¿quién? 00:38:57
hostia, aquí yo no eres casino, el Martín 00:38:58
1, 2, 3 00:39:00
¿vale? entonces, todo el mundo sabe 00:39:02
hallarme, chavales 00:39:04
la ecuación de la 00:39:06
resta que pasa por estos dos puntos 00:39:08
¿el JM o el MJ? 00:39:10
¿el JM o el MJ? 00:39:12
Venga, ¿cuál quiere? ¿Qué ecuación quiere? 00:39:12
¿La continua? Venga, vamos a la continua 00:39:17
¿Cómo sería? 00:39:20
¿X? 00:39:25
¿Meno? 00:39:27
¿Dos? 00:39:29
¿Partido de? 00:39:30
Ah, muy bien, este es un fallo más típico 00:39:34
Hay gente que me pone aquí un 1 y eso es un mojón, ¿vale? 00:39:37
Tengo que hallar el vector JM 00:39:40
o MJ, a you want 00:39:42
este es el vector director 00:39:44
¿vale? este es el vector director 00:39:49
¿vale? 00:39:52
entonces aquí que pongo un menos 1 00:39:53
o si me hace ilusión 00:39:55
el 1, 2, menos 11 00:39:57
este que es el MJ 00:39:59
a María José 00:40:01
¿vale? entonces aquí puedo poner un 1, es que me da igual 00:40:02
es que aquí puedo poner cualquiera que sea 00:40:07
proporcional ¿vale? 00:40:09
Entonces, esto sería y menos 4 partido de 2 y esto sería z más 8 partido de e menos 11. 00:40:10
Raúl, a tu pregunta, if you want, podemos poner esto de aquí, ¿vale? 00:40:19
x menos 1 y menos 2 partido de 2 y z menos 3 partido de menos 11. 00:40:24
Si ponéis esto y ponéis esto, estamos en la misma recta, ¿vale? 00:40:32
¿Sí o no? 00:40:36
Entonces, ¿cómo serían aquí las implícitas? 00:40:37
¿Cómo sería la implícita, chavales? 00:40:40
¿Pero de cuál cojo? ¿Arriba o abajo? 00:40:51
¿De abajo y qué has cogido? 00:40:54
¿Estos dos, por ejemplo, cuáles? 00:40:56
¿O la primera o la tercera? 00:40:58
La primera y la tercera 00:41:00
Venga, tiene que haber de todo en esta viña 00:41:01
Más 11, ¿verdad? 00:41:03
Es igual a z menos 3, ¿verdad? 00:41:05
Entonces, ¿qué ocurre? 00:41:08
Que yo tengo 11x más z 00:41:09
menos 14 igual a 0, ¿verdad? 00:41:12
Y ahora, ¿qué coge? La primera a la segunda, ¿no, guillo? 00:41:15
Más que nada porque como es un 1, es más fácil, ¿no? 00:41:18
Si no, miénteme, ¿eh? 00:41:20
2x menos 2, ¿verdad? 00:41:23
2x menos 2 es igual a y menos 2. 00:41:26
¿Sí o no? 00:41:29
¿Y qué ocurre? Que 2x menos y es igual a 0, ¿verdad? 00:41:30
¿Sí o no? 00:41:35
Estos son todos la misma resta. 00:41:36
Probarlo ustedes en GeoGebra. 00:41:38
Pero yo ahora, si quiero, por ejemplo, la paramétrica. 00:41:40
Muchas gracias, Guilla. 00:41:51
2X, ¿vale? 00:41:57
Entonces, chavales, la paramétrica es muy fácil, ¿no? 00:41:59
¿Cómo hago la paramétrica? 00:42:02
2 menos lambda, yo voy a poner del martín, que es más fácil, ¿vale? 00:42:08
Para putearte. 00:42:11
¿Vale? 00:42:13
Un 2, 3. 00:42:13
Y ahora que pongo más lambda, más 2 lambda, menos 11 lambda. 00:42:13
la banda pertenece a los números reales esta es la paramétrica vale si o no en 00:42:19
fecha vales esta es la paramétrica noelia sabes cómo ha llegado a la 00:42:25
paramétrica 00:42:28
y aquí un del martín me gusta más que de jimena porque es más fácil puedo poner 00:42:31
de jimena sin problema y luego lo que sí tengo que poner aquí el resto directo 00:42:36
date cuenta de esto directo cualquiera proporcional a 12 menos 00:42:40
Sorry. Ah, porque he pasado 00:42:46
todo a la derecha. 00:42:52
Esto es una igualdad. 00:42:54
Entonces paso todo a la derecha, al segundo 00:42:56
miembro, ¿vale? 00:42:58
Y para que me quede el once 00:43:00
positivo. 00:43:01
Pruébalo, pruébalo. Él cogió la primera y la tercera. 00:43:05
Es que a Rubén 00:43:09
a Rubén no, yo otra vez. 00:43:10
A Rubén, el Hugo, tío. 00:43:11
Primera y tercera, ya está. Primera y 00:43:13
segunda. Dime, hija. 00:43:15
Si lo paso, tengo esto. Si no, 00:43:17
con tranquilidad 00:43:19
¿vale? entonces chavales 00:43:21
¿cómo hallo yo? si esta es mi recta R 00:43:22
pues la recta S 00:43:24
es perpendicular 00:43:27
es perpendicular a R 00:43:29
y además pasa por el punto M123 00:43:32
¿cómo la hallaría chavales? 00:43:35
¿cómo hallaría 00:43:38
una recta perpendicular 00:43:39
a R que pase por el 00:43:40
punto M de Martín? 00:43:43
¿eh? 00:43:44
¿Y qué hago? 00:43:50
¿De qué? ¿Vector normal de qué? 00:43:55
¿Es que me está diciendo? 00:44:01
Dime cuál sería el vector normal. 00:44:08
2 menos 1, 0. 00:44:12
Muy bien. 00:44:15
Muy bien. 00:44:18
¿Y ahora sería 11? 00:44:20
el que quiera 00:44:21
porque tanto este 00:44:23
el 11.01 y el 2-1.0 00:44:25
son perpendiculares al director 00:44:28
¿vale? 00:44:30
¿si o no? entonces yo que 00:44:32
necesito para mi resta 00:44:34
ese, si es perpendicular, me da igual 00:44:36
si cojo el de gallito o el de arriba 00:44:38
¿vale? 00:44:40
¿si o no? ¿eso lo veis todo el mundo o no? 00:44:42
y si no, como 00:44:45
si yo no supiera de aquí arriba 00:44:46
no supiera nada, y me dan esto 00:44:48
¿Cómo hallo un vector perpendicular a 1, 2, menos 11? 00:44:50
¿Cómo lo hacíamos? ¿Os acordáis? 00:44:53
Tengo el 1, 2, menos 11 00:45:02
¿Verdad? Que es el vector directo de R 00:45:04
Y entonces, Gallito, ¿tú qué me dices? 00:45:06
¿El directo de la S qué hago? 00:45:09
Muy bien 00:45:12
Y 0 00:45:14
Precisamente este de aquí 00:45:15
¿Pero sabéis cómo se haría o no? 00:45:19
eso lo hemos visto en teoría 00:45:21
a una de ellos le doy la componente 00:45:23
¿por qué sé que estos dos son perpendiculares? 00:45:25
¿qué me lo dice? ¿por qué sé que son perpendiculares 00:45:27
perpendicular ADS? 00:45:31
muy bien 00:45:34
estás on fire 00:45:35
everybody 00:45:36
el gallito 00:45:37
¿sí o no? 00:45:40
si yo hago el producto 00:45:43
esto es 2 por 1, 2 00:45:44
2 por menos 1, menos 2 00:45:46
menos 11 por 0, 0 00:45:47
Si yo lo sumo todo, me sale 0, ¿vale? 00:45:49
De aquí, igual, por ejemplo, este de aquí. 00:45:52
¿Este de aquí qué sería? 00:45:54
El 11, 0, 1. 00:45:56
Si yo multiplico 11, 0, 1 por este, 00:46:00
¿también me sale el producto escala 0? 00:46:04
Sí, ¿verdad? 00:46:08
11 por 1, 11. 00:46:09
2 por 0, 0. 00:46:10
1 por menos 11, 0. 00:46:12
Menos 11. 00:46:14
11 menos 11, 0. 00:46:14
¿Lo veis todo el mundo o no? 00:46:16
Entonces, mi recta S sería X igual a 1 más 2 lambda, ¿verdad? 00:46:17
Y es igual a 2 menos lambda y Z es igual a 3. 00:46:30
¿Lo veis? Para todo lambda que pertenece a los números reales. 00:46:37
Dime, Noa, claro. 00:46:42
¿Cómo se ha hallado el vector director de S? 00:46:43
El vector director de S puedo utilizar, si tengo esto de aquí, es 11, 0, 1, porque este es perpendicular a mi vector director, o puedo hallarlo de aquí como 2, menos 1, 0. 00:46:45
No tengo esta información de arriba, si no tengo esta información de arriba. Vimos en la teoría, cuando empezamos el tema, que cuando tú tengas uno, de hecho, dime tres números favoritos tuyos, venga, DDN, dime tres números tuyos. 00:47:00
O sea, que es la ceguilla que te llama o no va por la cara, tío. 00:47:15
Venga, Karol, dime 2, 4, 6. 00:47:20
¿Cómo hay un vector perpendicular a 2, 4, 6? 00:47:23
Pues tú coges dos componentes, ¿vale? 00:47:26
Molinu. 00:47:30
Venga, Molinu. 00:47:32
Tú coges dos. 00:47:34
De los tres, ¿cuál quieres? 00:47:35
El 4. 00:47:37
De los tres, elige dos. 00:47:40
Venga, el 4 lo dejo como cero, ¿vale? 00:47:42
y ahora, ojo, el 2 y el 6 00:47:44
los intercambio, ¿vale? Aquí pongo un 6 00:47:48
y aquí pongo un 2 y al que tú quieras de los dos 00:47:51
le pones un número negativo, ¿vale? 00:47:54
Estos dos son perpendiculares. ¿Por qué? Porque 2 por 6 00:47:57
¿cuánto es? Aquí ya, 12 00:48:00
4 por 0 y 6 por menos 2 00:48:03
12 menos 12 00:48:06
producto de C 00:48:08
por dm 00:48:12
es cero, por lo tanto 00:48:13
dc es 00:48:16
perpendicular a dm 00:48:18
¿vale? 00:48:20
chavales, vamos muy atrasados 00:48:22
necesito que os miréis la teoría 00:48:24
del libro, porque tenemos que ver 00:48:26
tenemos que ver 00:48:28
que tenemos que hacer un ejercicio 00:48:29
es decir, yo te doy una resta 00:48:32
y un punto, y me tienes que hallar 00:48:34
su punto simétrico, eso es súper importante 00:48:36
tenemos que ver 00:48:38
las posiciones relativas 00:48:40
entre dos rectas. Y luego tenemos 00:48:42
que ver, sabiendo las... Tenemos que ver 00:48:44
las ecuaciones del plano. 00:48:46
Y luego tenemos que ver la posición relativa 00:48:48
de dos planos. Y luego tenemos que hallar 00:48:50
también, por ejemplo, la intersección 00:48:52
de una recta con un plano. 00:48:54
Te cagas. Nos queda telita. 00:48:56
Y nos quedan 00:48:58
cinco horas. No nos quedan más. 00:48:59
No, tres, dos, cinco. 00:49:02
¿Vale? Con premio. 00:49:04
A ver, enseña. 00:49:07
Vale, chavales. 00:49:08
Valoración:
  • 1
  • 2
  • 3
  • 4
  • 5
Eres el primero. Inicia sesión para valorar el vídeo.
Idioma/s:
es
Idioma/s subtítulos:
es
Materias:
Matemáticas
Niveles educativos:
▼ Mostrar / ocultar niveles
  • Bachillerato
    • Segundo Curso
Autor/es:
Roberto Aznar
Subido por:
Roberto A.
Licencia:
Reconocimiento - No comercial - Compartir igual
Visualizaciones:
13
Fecha:
10 de noviembre de 2025 - 15:33
Visibilidad:
Público
Centro:
IES JIMENA MENÉNDEZ PIDAL
Duración:
49′ 12″
Relación de aspecto:
1.97:1
Resolución:
1024x520 píxeles
Tamaño:
110.11 MBytes

Del mismo autor…

Ver más del mismo autor

Comentarios

Para publicar comentarios debes entrar con tu nombre de usuario de EducaMadrid.

Comentarios

Este vídeo todavía no tiene comentarios. Sé el primero en comentar.



EducaMadrid, Plataforma Educativa de la Comunidad de Madrid

Plataforma Educativa EducaMadrid