Saltar navegación

Activa JavaScript para disfrutar de los vídeos de la Mediateca.

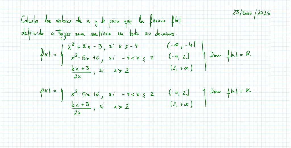
Hallar parámetros para que una función sea continua. Una función de valor absoluto en trozos y Teoremas de Bolzano, Darboux. - Contenido educativo

Ajuste de pantalla

El ajuste de pantalla se aprecia al ver el vídeo en pantalla completa. Elige la presentación que más te guste:

Subido el 23 de enero de 2026 por Roberto A.

18 visualizaciones

Descargar la transcripción

Mira chavales, ¿cómo le metemos mano a esto? ¿Qué es lo que me piden? 00:00:00
Me dicen que realmente que calcule A y B para que esa función sea continua, ¿no? 00:00:04
¿Sí o no? Entonces, ¿qué es lo primero que creéis que voy a hacer? 00:00:10
¿Eh? El dominio está bien, ¿vale? El dominio está bien, pero bueno, ¿cuál sería el dominio de esa función? 00:00:15
Todos los reales. 00:00:21
¿Todos los reales? ¿Todo el mundo ve que es todos los reales? ¿Sí? 00:00:22
De hecho, fijarse, ¿esto qué sería realmente? Esto sería desde menos infinito a menos 4 cerrado. Esto sería desde menos 4 abierto a 2 cerrado. Y esto es desde 2 abierto a más infinito. ¿Están todos los valores? Sí, ¿verdad? Pues entonces, el dominio de f de x, el dominio de f de x son todos los reales. ¿Vale? Hasta ahí bien. 00:00:25
Entonces, a mí lo que me dice es que esta función sea continua. 00:00:51
Dime, hijo. 00:00:54
¿Sí? Vale, estupendo. 00:00:58
Entonces, ¿qué es lo que ocurre ahora, chavales? 00:00:59
Lo primero que me tienes que decir, para que una función sea continua, 00:01:02
súper importante y a estas alturas, 00:01:06
¿sabemos la definición, la teoría matemática de definición 00:01:08
de cuándo una función es continua en un punto? 00:01:12
¿Sabemos eso? Porque si no lo sabemos, malagueña. 00:01:17
Pues al final es la única teoría que de momento importante estamos viendo. 00:01:20
Estamos viendo muchas cositas, pero así de teoría matemática, poquitas cosas. 00:01:25
Entonces, aquí, chavales, ¿esta función cómo es? 00:01:29
¿Esta función cómo es? 00:01:32
¿Es una función? 00:01:33
Bueno, sí, digo, pero es que esto que está aquí. 00:01:36
Es una función a trozos, ¿vale? 00:01:38
Ahora ya una vez definí a trozos. 00:01:40
Esta x cuadrado más ax menos 3, ¿es una función polinómica? 00:01:42
Una función polinómica siempre es continua, ¿de acuerdo? 00:01:46
Esta función de aquí, ¿esto qué es? 00:01:51
Polinómica, esto es una parábola de Cristo, ¿vale? 00:01:54
Entonces, ¿qué ocurre? 00:01:56
Pues que también es continua siempre. 00:01:57
Y esta función de aquí, chavales, ¿dónde tendríamos el problema nosotros aquí? 00:02:00
En el denominador, que sí sería 2x igual a 0, ¿cuánto valdría x, chavales? 00:02:04
¿Me afecta? 00:02:11
Natilla. 00:02:13
¿Vale? 00:02:14
No me afecta. 00:02:15
eso lo veis todos, si esto fuese 00:02:16
un menos 2 y esto un menos 2 00:02:19
pues entonces sí que me afectaría 00:02:21
a mí el 00:02:23
el 0 00:02:25
¿lo entendéis? si esto fuese aquí en vez de un 2 00:02:26
un menos 2 y esto sería un menos 2 00:02:29
como el 0 ya si está en el 00:02:30
intervalo menos 2 más infinito 00:02:33
sí que me afecta y entonces también 00:02:34
tendría que estudiar la continuidad 00:02:37
ahí en principio en el 0 que bueno 00:02:39
a mí lo que me piden aquí no me haría falta 00:02:40
estudiarlo en el 0 porque lo que me piden 00:02:42
es que a y b sea 00:02:44
continua. ¿Vale? ¿Sí o no? 00:02:46
¿Hasta ahora sí? 00:02:50
Entonces, una función. 00:02:51
Esto lo tenemos que saber como el comé. 00:02:53
¡Guau! Una función 00:02:55
f de x 00:02:57
es continua 00:03:00
en x 00:03:02
igual a 00:03:06
sí, solo sí. Esta frase como 00:03:07
el comé, ¿eh? 00:03:10
Sí, solo sí, ¿qué? Jimena, ¿te acuerdas? 00:03:11
Natillas Danone. 00:03:15
Límite 00:03:16
cuando x tiende a 00:03:17
de f de x 00:03:20
se llama f de a 00:03:22
f de a, muy bien 00:03:27
vale, esa es la definición 00:03:29
y esta la tenéis que escribir 00:03:31
vale, entonces voy a hacer 00:03:32
lo que me dice la definición 00:03:35
¿de acuerdo? entonces 00:03:38
como es una función definida a trozos 00:03:39
esto es polinómico 00:03:41
esto es polinómico y aunque esto es racional 00:03:42
no me afecta, pues nada 00:03:45
Yo que voy a estudiar aquí la continuidad donde en x igual a menos 4 y en x igual a 2, ¿sí o no? 00:03:46
¿Veis? Entonces, x igual a menos 4, pues nada, ¿cuánto vale el límite de f de x cuando x tiende a menos 4? 00:03:55
Resulta que yo aquí, al tener una función definida a trozos, tengo que hacer los límites laterales, ¿lo veis? 00:04:07
¿Por qué? Porque cuando yo estoy por la izquierda del menos 4 de las 3 funciones, 00:04:15
o la primera, la segunda o la tercera, la primera, ¿eso lo veis todos, chavales? 00:04:22
Sí. Entonces es el límite de x cuadrado más ax menos 3 cuando x tiende a menos 4. 00:04:27
Y chavales, por la izquierda, perdón. Esto que siempre lo tengáis que poner. 00:04:36
vale 00:04:40
entonces, por la derecha 00:04:52
es exactamente lo mismo, pero 00:04:54
en vez de coger la primera, ¿cuál cojo? 00:04:57
la segunda 00:04:59
y ahora, ¿qué es lo primero que hago 00:05:00
para calcular un límite? ¿qué es lo que dijimos 00:05:07
que hacemos lo primero? 00:05:08
sustituir, ¿no? entonces, ¿esto qué es? 00:05:10
menos 4 al cuadrado 00:05:12
más a por menos 4 00:05:14
menos 3 00:05:17
4 al cuadrado es 16 00:05:18
menos 4a 00:05:21
menos 3, ¿esto cuánto da, chavales? 00:05:23
da 13 00:05:25
con premio, menos 4a 00:05:27
¿estáis de acuerdo conmigo? 00:05:29
¿sí? da esto, ¿y ahora aquí qué hago? 00:05:31
pues lo mismo, sustituyo 00:05:33
¿y esto qué es? menos 4 al cuadrado 00:05:34
menos 5, Jesús 00:05:37
oh, tú triunfasta 00:05:38
¿no os llegó algo? 00:05:41
¿Estás malito? 00:05:42
Ay, Omar. 00:05:47
Entonces, ¿esto cuánto da? 00:05:48
42, ¿no? 00:05:50
¿Sí o no? 00:05:52
Entonces, chavales, para que exista 00:05:53
el límite, para que exista 00:05:56
el límite de una función, 00:05:58
cuando yo tengo los límites 00:06:00
laterales, ¿cómo tienen que ser 00:06:02
esos límites laterales? 00:06:04
Iguales. ¿Vale? 00:06:06
Porque si no, no existe el límite 00:06:08
de f de x. ¿Vale? 00:06:10
Elena, aquí. ¿Sí o no? Chavales, entonces, ¿qué hago? Pues ya está. 13 menos 4A es igual a 42. ¿Cuánto vale A, chavales? Esto sale una fracción, ¿no? Esto que es 29 cuartos, menos 29 cuartos, ¿no? 00:06:12
Gracias, Martín. Menos 29 cuartos. ¿Lo veis? ¿Sí o no? Entonces, si a es igual a menos 29 cuartos, voy a ir aquí, ¿vale? 00:06:39
Estoy con el límite primero, ¿vale? Si a es igual a menos 24 cuartos, ¿qué ocurre? 00:06:59
¿Qué ocurre? Que el límite f de x cuando x tiende a menos 4 por la izquierda es igual al límite de f de x cuando x tiende a menos 4 por la derecha, por lo tanto, existe el límite de f de x cuando x tiende a menos 4, ¿y cuánto vale, chavales? ¿Cuánto valdría el límite? 00:07:05
42, ¿no? 00:07:31
¿Sí o no? 00:07:33
42. 00:07:34
¿Lo veis? 00:07:36
¿Sí o no? 00:07:37
¿No? 00:07:39
¿Estás perdido? 00:07:40
Ok. 00:07:41
Entonces, ¿qué ocurre? 00:07:43
Ahora sí. 00:07:44
Carla. 00:07:47
¿Cuánto vale f de menos 4? 00:07:49
Vale, f de menos 4, ¿dónde lo tendría que sustituir? 00:07:52
¿Arriba o abajo? 00:07:55
Arriba. 00:07:57
¿Y me saldría cuánto? 00:07:58
me sale 13 menos 4a, ¿verdad? 00:08:00
13 menos 4a me saldría, ¿vale? 00:08:16
Si ya no. 00:08:20
Y entonces, como tiene que ser igual a 42, 00:08:21
pues obtengo lo mismo, ¿verdad? 00:08:24
¿Vale? 00:08:27
Entonces, ¿qué ocurre? 00:08:29
Si a es igual a menos 29 cuartos, 00:08:31
Pues ¿qué ocurre? Que f de menos 4 también es 42 y por lo tanto el límite de f de x cuando x tiende a menos 4 es igual a f de menos 4. 00:08:34
Entonces f de x es continua en x igual a menos 4. 00:08:48
¿Lo veis chavales? ¿Es complicado? Yo creo que no. 00:08:58
Ahora, si no me sé la definición de continuidad malagueña. 00:09:02
¿vale? si yo me sé 00:09:05
la definición 00:09:07
de continuidad, pues es súper fácil 00:09:10
lo único que tengo que hacer son los límites 00:09:12
hago el límite en el punto 00:09:13
¿qué me ocurre en ese punto que está 00:09:15
definido a trozos? como está definido a trozos 00:09:17
pues tengo que hacer ya vale los 00:09:19
límites laterales, los límites laterales 00:09:21
para que exista el límite tienen 00:09:24
que ser iguales, entonces 00:09:25
cuando los límites laterales 00:09:27
son iguales, que es lo que yo esfuerzo aquí 00:09:29
pues entonces existe el límite 00:09:31
y además vale 42 00:09:34
Además, tiene que ser f de a, en este caso f de menos 4, 00:09:36
pues entonces ya es continua. 00:09:43
Si la a no vale ese valor, si la a no vale ese valor, 00:09:44
ya no sería continua. 00:09:49
¿Alguien me sabría decir con otro valor de a cómo sería esta función? 00:09:50
¿En ese punto? 00:09:55
¿Cómo? 00:10:01
¿Carla? 00:10:03
Que si A no vale menos 29 cuartos, 00:10:05
¿qué continuidad, qué tipo de continuidad 00:10:13
tendría esta función en X igual a menos 4? 00:10:15
Dímelo tú. 00:10:23
Dímelo tú, Maribel. 00:10:24
Si A no vale menos 29 cuartos, 00:10:26
si A no vale menos 29 cuartos, 00:10:30
¿son iguales los límites? 00:10:32
Natilla. 00:10:34
Entonces sería de salto finito de Córdoba, ¿vale? 00:10:35
¿Sí? 00:10:39
¿Sí, chavales? 00:10:40
Venga. 00:10:42
Muy bien, Hernán, padre. 00:10:43
Entonces, chavales, ¿ahora qué hago? 00:10:45
¿Qué creéis que voy a hacer? 00:10:48
Voy a hacer exactamente lo mismo, ¿vale? 00:10:51
Voy a hacer exactamente lo mismo con el punto... 00:10:55
Venga, chavalas, que oscunden, ¿eh? 00:11:02
Oscunden, oscunden. 00:11:06
Se jugaba en el Barça, ¿no? 00:11:12
Entonces, si x es igual, en x igual a 2, ¿vale, chavales? En x igual a 2. 00:11:13
Venga, como yo, con retraso. 00:11:23
Entonces, el límite de f de x cuando x tiende a 2, resulta que como está definida a trozos, 00:11:26
pues también tengo que hacer el límite de f de x cuando x tiende a 2 por la izquierda. 00:11:35
esta parte si os fijáis es muy mecánica 00:11:40
¿vale? y x cuando tiende a 2 00:11:43
por la derecha 00:11:45
a la 2 a la izquierda ¿qué función cojo? 00:11:46
¿primera, segunda o tercera? 00:11:49
segunda 00:11:52
entonces es x cuadrado menos 00:11:52
5x más 6 es igual 00:11:57
a 2 al cuadrado 00:11:59
menos 5 por 2 00:12:01
más 6 00:12:03
y esto es un terapio 00:12:05
y esto es igual al límite 00:12:06
cuando x tiende a 2 por la derecha 00:12:09
de bx más 3 00:12:11
como la bici 00:12:13
entonces esto que es 00:12:15
2b más 3 00:12:19
partido de 2 por 2 00:12:21
que es 4 ¿verdad? entonces 00:12:23
2b más 3 partido 00:12:25
de 4 ¿lo veis chavales? 00:12:27
¿si o no? y entonces para 00:12:30
que exista el límite ¿no? 00:12:31
existe el límite de f de x 00:12:33
cuando x tiende a 2 00:12:35
si, solo si 00:12:37
el límite de f de x 00:12:39
por la izquierda 00:12:41
es igual que el límite 00:12:43
por la derecha, ¿verdad? 00:12:46
¿Sí o no? 00:12:49
Y entonces 00:12:51
¿con qué me encuentro, chavales? 00:12:51
Con que 00:12:55
2b más 3 00:12:56
partido de 4 es igual a 0 00:12:58
la b que vale 00:13:00
menos 3 medios, ¿verdad? 00:13:01
¿Sí? 00:13:04
¿Sí? 00:13:06
¿vale? pues ya está 00:13:06
ya está 00:13:09
ya estaría hecho 00:13:10
y luego ya si lo rematamos 00:13:12
con una frasecita, fenomenal 00:13:15
¿vale? que es lo que voy a hacer ahora 00:13:17
y eso por favor ponerlo, normalmente 00:13:19
subrayáis y demás ¿vale? 00:13:21
¿puedo pasar o no? 00:13:23
entonces tú tienes que decir 00:13:30
la frase realmente 00:13:31
si a es igual a menos 29 00:13:33
cuartos y b es igual 00:13:35
a menos 3 medios 00:13:37
la función f de x es continua 00:13:39
en todo su dominio. 00:13:41
¿Vale? Sí, la escribo ahora 00:13:43
y la rematamos. 00:13:45
¿Vale? ¿Puedo pasar? 00:13:47
¿Sí? 00:13:51
Vale. 00:13:53
Bueno. 00:13:53
¿Ya seguro puedo pasar, todo el mundo? 00:14:02
Venga. Entonces, 00:14:05
si a 00:14:07
recordarme los valores, menos 29 cuartos 00:14:08
puede ser y ve menos tres medios explica que efe de x es continua en todo su dominio así chavales 00:14:10
antes de dar los teoremas que me interesan muchísimo teorema de borzano de valle extra 00:14:35
de Darboux, o como se diga 00:14:41
alguien de la francia aquí 00:14:42
Darboux o algo de eso, Darboux 00:14:43
luego Rho lo veremos 00:14:46
con las derivadas, ¿vale? 00:14:49
lo que me interesa es que veáis una cosilla 00:14:50
chavales, funciones 00:14:53
con valor absoluto 00:14:54
¿vale? 00:14:59
lo recordamos esto, ¿vale? vamos a hacer tres ejemplillos 00:15:00
por ejemplo chavales 00:15:02
si f de x es igual 00:15:06
a x menos 5 00:15:08
¿vale? 00:15:12
esta función, si yo tengo que analizar 00:15:14
su continuidad, por ejemplo 00:15:17
esta función de aquí 00:15:19
realmente, ¿qué? 00:15:24
¿Qué estás haciendo, mi herma? 00:15:26
Nada, pues atiende 00:15:29
mi herma 00:15:31
Esta de aquí, chavales 00:15:31
si os fijáis, esto es 00:15:39
un valor absoluto, ¿no? Un valor absoluto 00:15:41
que es lo que me hace que 00:15:43
siempre va a ser positivo 00:15:45
de hecho, ¿alguien me sabe representar 00:15:47
la recta x menos 5? 00:15:49
Muy bien, Katia, mi arma. 00:15:51
Pero la X menos 5 00:16:00
realmente como hecha, ¿vale? 00:16:01
Bajada. 00:16:06
Bajada. 00:16:09
O, bueno, bajada. Depende de cómo lo veas. 00:16:10
Realmente es desplazada, en este 00:16:13
caso, hacia 00:16:15
la derecha. 00:16:15
¿Vale? Chavales, esta sería 00:16:19
a ver si lo hago bien. 00:16:21
45 grados. 00:16:23
más o menos, ¿vale? 45 grados 00:16:24
yo esto me lo bajo 00:16:29
esta sería, chavales 00:16:31
esto va más lento que el caballo 00:16:35
es malo, aquí más o menos 00:16:38
esto sería 00:16:42
f de x igual a x, ¿vale? 00:16:43
y esto de aquí 00:16:47
si este es el zinqui 00:16:48
a ver, que coraje 00:16:51
esto es desplazada esta función 00:17:00
a la derecha, ¿vale? Esto sería aquí, más o menos, esto sería g de x es igual a x menos 5, ¿vale? 00:17:10
Y esto se supone que es un 5. Y no sé si habéis visto la expresión que ha hecho Katia, pero el 00:17:31
valor absoluto esto de aquí, ¿qué hace? Que todo esto que sea aquí negativo, ¿cómo pasaría, chavales? 00:17:36
a ser positivo, ¿vale? 00:17:41
Por lo tanto, mi representación gráfica 00:17:43
de f de x menos 5, ¿vale? 00:17:46
¿Cuál sería? 00:17:49
Pues sería una cosita tal que así, ¿vale? 00:17:51
Estoy dibujándolo a mi manera, ¿vale? 00:17:57
Ustedes me perdonáis, ¿no? 00:18:00
¿Vale? 00:18:02
Sería una cosita así en v. 00:18:03
Muy bien, Katia, mi arma. 00:18:05
¿Vale? ¿Por qué? 00:18:06
Porque todo lo que es negativo pasa a ser positivo. 00:18:07
Esto es gráficamente, Jesús. 00:18:10
Pero, oye, pero ¿cómo, chavales, lo hacemos analíticamente? Pues parece complicado, pero es fácil, ¿vale? Entonces, siempre cojo el argumento del valor absoluto igual a 0, ¿vale? En este caso, tan solo tenemos un valor, ¿de acuerdo?, donde lo, donde, como es de primer grado, tan solo hay un valor que lo hace 0, que es el 5, ¿vale? ¿Sí o no? 00:18:11
Y ahora lo que tengo que estudiar, chavales, es el signo. Yo tengo aquí dos intervalos, desde menos infinito a 5 y de 5 a más infinito, ¿verdad? Entonces lo que tengo que ver es dónde está, uno es positivo y otro es negativo. Yo siempre a mis chavales siempre les recomiendo esto porque esto al final son como en ecuaciones, ¿no? 00:18:40
¿no? ¿Dónde está el 0? En los dos, está aquí, ¿verdad? x igual a 0, entonces yo sustituyo 0 menos 5, 00:18:57
o mejor, si lo hacemos bien, si x es igual a 0, x menos 5 es igual a menos 5, ¿lo veis? 00:19:09
Entonces aquí todo esto es negativo y todo esto es positivo, lo hemos visto aquí gráficamente, ¿no? 00:19:16
¿Lo veis? Aquí toda la función por debajo del 5 es negativo y a la derecha del 5 es positivo. 00:19:21
Entonces, analíticamente, cuando yo tengo una función así, equivale a una función definida a trozos. 00:19:29
¿De acuerdo? ¿Vale? 00:19:37
Entonces, chavales, aquí me cambio el signo, ¿verdad? 00:19:39
¿Lo veis? Pues le cambio el signo a todo. 00:19:42
Es decir, esto sería menos x más 5 si x es más chico que 5, ¿verdad? 00:19:45
¿Veis lo que he hecho o no? 00:19:54
Y la otra, como es positivo, lo dejo igual. 00:19:55
Dejo x menos 5 si x es mayor que 5. 00:19:59
¿Lo entendéis? 00:20:04
¿Sí? 00:20:06
Sí, chavales, ¿veis lo que hago? 00:20:08
realmente lo que hago es estudiar 00:20:10
el signo del argumento 00:20:12
del valor absoluto 00:20:14
¿de acuerdo? y donde sea negativo 00:20:16
pues cambio el signo de todo 00:20:18
¿sí? 00:20:20
vamos a ver si podéis 00:20:22
hacer mientras que yo busco otra cosita 00:20:24
¿puedo pasar verdad chavales? 00:20:26
dime dime dime 00:20:29
no hay que coger ninguno 00:20:30
¿a qué te refieres? 00:20:33
ah sí sí sí 00:20:39
Ayugón. Ayugón. Es verdad. Perdona. Ayugón. Estaría igual de bien, tal, porque aquí, fíjate, esta función es continua. Chavales, no sé si os acordáis del año pasado. Esta función es continua, ¿vale? Es continua. ¿Por qué? Porque yo lo puedo dibujar, como lo ha dicho Katia perfectamente, sin levantar el lápiz. 00:20:41
¿sabéis si esa función 00:21:02
esta de aquí, esta función 00:21:04
es derivable? ¿sabéis si 00:21:06
esta función de aquí es derivable? 00:21:08
¿sí? 00:21:11
¿esta función es derivable, chavales? 00:21:12
¿cuál era la derivada de x más 5? 00:21:14
1, ¿y eso qué 00:21:17
significa? que siempre 00:21:18
independientemente del 00:21:20
valor su derivada sea 1, chavales 00:21:22
que la pendiente 00:21:24
de la recta tangente de k 00:21:28
es siempre 1, de hecho 00:21:30
yo aquí voy de escalón en escalón 00:21:32
si esto lo hubiera yo dibujado bien 00:21:34
yo iría de escalón 00:21:35
en escalón, ¿vale? siempre de 1 00:21:38
¿lo veis? aquí igual 00:21:40
¿verdad? ¿cuál es la derivada de x 00:21:42
menos 5? 1 también 00:21:44
yo crezco por cada unidad de x 00:21:45
crezco una unidad de x 00:21:48
¿de acuerdo? ¿sí o no? ¿pero qué es lo que 00:21:49
ocurre aquí, chavales? ¿qué es lo que 00:21:52
ocurre aquí? pues que aquí 00:21:54
esta función que 00:21:56
si es continua, esto adelanta bastante 00:21:58
¿Vale? Pero no es derivable. 00:22:00
No es derivable. 00:22:02
Pero no es derivable ¿en qué punto? 00:22:03
En el x igual a 5. 00:22:05
¿Por qué? Porque, chavales, 00:22:07
¿qué pendiente tiene esto? ¿Alguien me lo sabe 00:22:09
decir? 1. 00:22:12
¿Verdad? 1. 00:22:14
En x menos 5 su derivada 00:22:15
es 1. ¿Verdad? 00:22:17
Pero sin embargo aquí, ¿cuál es su derivada, 00:22:19
chavales? Menos 1, ¿lo veis? 00:22:21
Aquí voy, la pendiente 00:22:24
es decreciente. ¿Vale? ¿Qué 00:22:25
ocurre aquí? Que la pendiente 00:22:27
a la izquierda es menos 1, la pendiente a la derecha es 1, por lo tanto la función 00:22:29
no es derivada. ¿Os acordáis de la definición de continuidad? ¿Os acordáis que tiene que 00:22:34
ser el límite igual a f de x? Cuando tenemos límites laterales, el límite de la izquierda 00:22:40
tiene que ser igual al límite de la derecha más que nada para que el límite exista y 00:22:45
sea igual. Pues con las derivadas, que lo vamos a ver próximamente, pasa exactamente 00:22:49
igual. Una función es derivable, ¿de acuerdo? Si su derivada por la izquierda y su derivada 00:22:54
por la derecha, es exactamente la misma. 00:22:58
¿Vale, chavales? 00:23:01
Entonces, en las funciones, 00:23:02
siempre que veáis una función con un pico, 00:23:04
¿vale? Esa, pues, 00:23:07
no es derivable. 00:23:08
¿Vale? ¿Sí? 00:23:10
Venga, ¿me habéis hecho este? 00:23:12
¿Me habéis 00:23:16
hecho este? 00:23:16
Venga, hacérmelo. 00:23:18
Tampoco sería derivable. 00:23:21
Ahora, pero solamente 00:23:23
la otra no es derivable en el 5. 00:23:24
En el resto sí es derivable, ¿vale? 00:23:26
Venga, métele mano, Rufo 00:23:28
¿Qué te pasa hoy? Llevas una semana 00:23:37
Que no levantas cabeza 00:23:39
Que ya que es viernes 00:23:41
Hoy se sale 00:23:42
Que ya 00:23:45
Pues entonces que está animadita 00:23:45
Imagínate que tú sales 00:23:48
Haciendo 00:23:50
Ser representado 00:23:51
Una función 00:23:54
un aplauso a través de una de estas. 00:23:57
Tú sales con 00:23:59
otro espíritu. Va, la gente 00:24:00
se lo cuenta por la calle. 00:24:03
Se deriva. 00:24:05
Dime. 00:24:07
Ah, sí. 00:24:09
Anda. En la Soli. 00:24:11
¿O qué? 00:24:13
¿Eso es un garito? 00:24:15
¿No? ¿Eso qué es? 00:24:17
Ah, el LIDE es un instituto. 00:24:21
Ah, el Cali también. 00:24:24
Y que vayáis a 00:24:25
¿Quién? 00:24:27
¿Y te pones fardita y todo? 00:24:40
Serías monísima, Hugo. 00:24:43
Eso lo llevas integrado. 00:24:46
Ole, ole, ole. 00:24:52
Venga, chavales. 00:24:56
venga, me desle mano 00:24:57
pero Rufo 00:25:00
¿cómo que te tienes que poner? 00:25:03
Rufo, si te he explicado cómo hacerlo 00:25:07
¿qué estás pasando de mí, eh? 00:25:09
sí, pues todo eso 00:25:11
¿qué tenemos que hacer? ¿cuál es el primer 00:25:13
proceso cuando vemos, chavales 00:25:15
un valor absoluto? 00:25:17
y lo igualamos 00:25:19
a cero, y después de igualarlo 00:25:21
a cero, ¿qué hacemos? 00:25:23
y la rectita, pero con la 00:25:24
resta, ¿qué me ayuda a mí a hacer la resta? A ver, ¿el qué? ¿El signo? ¿El signo? Entonces... 00:25:27
No, no te lo aconsejo porque no vas a dar con la tecla, ¿vale? 00:25:34
Venga, uff, mi amigo Borsano y toda esta gente, guillo. 00:25:43
Wow 00:25:46
Carla, la has hecho ya 00:25:58
Pon todo aquí ya, que te pierdes 00:26:06
La muñita 00:26:09
Le vamos a poner a la Carla 00:26:11
La has hecho ya, André 00:26:13
Sí, sí, de Cristo. 00:26:17
Efectivamente. 00:26:30
Esas son las raíces 00:26:34
de la parábola. De hecho, ¿por qué hacemos 00:26:37
esto, chavales? 00:26:39
¿Sí, sí? 00:26:42
¿Por qué hacemos cero esto, chavales? 00:26:45
¿Por qué hacemos cero? Precisamente 00:26:47
nosotros, esto sabéis 00:26:49
gráficamente lo que es, lo ha dicho Andrés. 00:26:51
Esto, ¿qué valores os sale 00:26:53
cuando lo hacemos cero? 00:26:55
Dos y tres. Esto es una parábola 00:26:56
la A 00:26:59
coeficiente de la X cuadrado. ¿Cuánto 00:27:02
vale? 00:27:05
Uno. ¿Es positivo? 00:27:08
Pues los puestos no son para arriba. 00:27:09
Esto es una parábola que los puestos no son 00:27:11
para arriba. ¿Vale? Si esto hubiese 00:27:13
sido un menos, los puestos no son para abajo. 00:27:15
¿De acuerdo? Entonces, ¿qué ocurre? Voy a descongelar. Voy a poner microondas. Tío más gracioso. Entonces, a ver chavales, esto siempre se hace igual. Entonces, x cuadrado menos 5x más 6 es igual a 0. Os dejo a ustedes que hagáis la ecuación de segundo grado, pero esto sale x igual a 2 y x igual a 3. 00:27:17
gráficamente esta función, esto es una parábola 00:27:44
como me habéis dicho, y las parábolas son 00:27:47
o con los cuernos para arriba o con los cuernos 00:27:49
para abajo, ¿vale? Siempre que sea 00:27:51
una función de segundo 00:27:53
grado, ¿de acuerdo? Entonces 00:27:55
¿cuándo son los cuernos para arriba? 00:27:57
Cuando A es mayor que cero 00:27:59
¿y cuándo son los cornudos para abajo? 00:28:01
Cuando A es menor que cero 00:28:03
¿vale? 00:28:05
¿con positivo o negativo? 00:28:06
Aju, siempre 00:28:10
positivo, Aju 00:28:11
Bueno, eso es lo que tú no sabes. 00:28:12
Venga, vámonos. 00:28:14
Entonces, chavales, lo que yo quiero que veáis 00:28:18
es que al final todo está tan sumamente relacionado 00:28:20
que yo aquí, por ejemplo, fijaros. 00:28:23
Si yo hago aquí el amago de representación, 00:28:26
y perdonadme, me va a salir un mojón, ¿vale? 00:28:28
Sería una cosita así. 00:28:31
Guau, vaya mojón. 00:28:32
Esto se supone que es una parábola, ¿vale? 00:28:34
Se supone que es una parábola y que en el 2 y en el 3, ¿vale? 00:28:36
Esto es con GeoGebra, Karol 00:28:40
Esto es con GeoGebra 00:28:43
Yo cada vez que veo 00:28:44
Abro GeoGebra, veo la Karol 00:28:45
Pero 00:28:48
Es un puntazo 00:28:52
Tú no te enfades, yo te lo digo desde el cariño 00:28:55
Pero es verdad, ¿no? 00:28:57
Entonces, el caso que pasa, chavales 00:28:59
En la graduación me voy a llevar 00:29:00
Bueno, chavales, que me pierdo 00:29:10
Entonces 00:29:13
Lo que quiero que veáis 00:29:14
Lo que quiero que veáis es súper importante 00:29:18
Aquí, ¿cómo es entre el menos infinito y el 2? 00:29:20
Siempre positivo 00:29:23
¿Cómo es entre el 3 y el más infinito? 00:29:24
Siempre positivo 00:29:25
¿Cómo es entre el 2 y el 3? 00:29:26
Negativo 00:29:28
De hecho, esta función es f de x 00:29:29
Igual a x cuadrado menos 5 más 6 00:29:32
¿Vale? 00:29:35
Y ahora la voy a poner en negro como mi futuro 00:29:35
El valor absoluto, el valor absoluto, chavales, es exactamente lo mismo que aquí hace esto de aquí, un Batman largo, ¿vale? Un paro, como yo dibujaba los paros de Chico, ¿vale? ¿Lo veis? Todo lo que pasa negativo es positivo, ¿vale? Por ser valor absoluto. 00:29:37
Entonces, chavales, ¿qué ocurre? 00:29:58
Yo, claro, si tengo una ecuación de TAR, 00:30:00
no me voy a poner aquí a representar y demás. 00:30:04
Entonces, ¿cómo lo hacemos? 00:30:06
Tengo aquí el 2, yo tengo aquí el 3. 00:30:08
¿Vale, Carla? 00:30:10
Vale, pero la tabla de valores como TAR 00:30:13
no tiene mucho sentido porque te explico por qué. 00:30:14
Es Jimena, yo no te lo quería decir. 00:30:22
Y ya la abaste. 00:30:26
Entonces, ya vale 00:30:28
¿Qué es lo que ocurre? 00:30:31
¿Qué es lo que ocurre? 00:30:32
No te hace falta 00:30:35
Las polinómicas 00:30:36
Después otro tipo de función vale 00:30:37
Pero las polinómicas que tienen un puntazo 00:30:40
Las polinómicas son siempre continuas 00:30:42
Las polinómicas 00:30:44
Su dominio es todo R 00:30:45
Y las polinómicas cuando tenemos raíces 00:30:48
Que son los valores que igualan a 0 00:30:50
Ese polinomio cambian de signo 00:30:52
Cambian de signo 00:30:55
Y es un puntazo 00:30:56
entonces, ¿tengo que hacer la tabla de valores que tú me dices 00:30:57
aquí, aquí y aquí? 00:31:00
no, yo voy a ver 00:31:02
¿cuál es el valor más cero? 00:31:04
¿cuál es el valor más fácil para sustituir? 00:31:06
¿cómo lo sabéis? 00:31:09
¿por qué? 00:31:11
¿por qué? porque al final me quito 00:31:12
muchos términos, ¿vale? 00:31:14
entonces, ¿dónde está el serapio aquí, chavales? 00:31:15
el serapio está en el primer 00:31:18
intervalo, ¿verdad? 00:31:20
aquí está el cero, entonces 00:31:22
si x es igual a cero 00:31:23
¿Cuánto vale todo esto, chavales? 00:31:25
¿Y 6 qué es? 00:31:28
Positivo 00:31:31
Son todos positivos 00:31:32
Aquí negativos y positivos 00:31:35
Voy alternando 00:31:37
¿Vale? 00:31:38
Forever 00:31:39
¿Vale? 00:31:40
Claro 00:31:44
Si es polinómica 00:31:44
Aquí el único problema que tendríamos 00:31:46
Es cuando tendríamos raíces 00:31:49
De multiplicidad mayor que 1 00:31:51
ahí ya me habría un poquito de problema 00:31:53
pero si son las polinómicas normalmente 00:31:55
con raíces 00:31:58
distintas en multiplicidad 1 00:32:00
pues siempre se van alternando 00:32:01
¿de acuerdo? entonces 00:32:03
¿qué es lo que ocurre? 00:32:04
que aquí, de hecho 00:32:08
fijaros la azul y la negra, ¿ha variado? 00:32:09
¿ha variado en la misma? 00:32:12
en la negra sí, esto se supone 00:32:14
que es simétrico a esto, aquí tenéis que hacer 00:32:16
un acto de 00:32:18
que no vea, esto se supone 00:32:20
que es simétrico a esto, ¿de acuerdo? 00:32:22
Aquí sí me ha cambiado mi función. 00:32:23
Y aquí yo sigo con mi Batman, ¿vale? 00:32:25
Y son exactamente iguales. 00:32:27
Entonces, analíticamente, ¿cómo se traduce eso, chavales? 00:32:29
¿Cómo se traduce eso? 00:32:33
Pues mi función, que era f de x, bueno, colorado no, que es de Sevilla. 00:32:34
Vámonos. 00:32:40
f de x, que es igual a x cuadrado menos 5x más 6, pues fijaros cómo se define a trozos, ¿vale? 00:32:40
es x cuadrado menos 5x más 6. 00:32:48
¿Por qué? 00:32:53
Porque no varía el primer trozo donde es azul y negro a la vez 00:32:53
si x es menor que 2. 00:32:56
¿De acuerdo? 00:33:00
Ahora, sin embargo, le cambio el signo a todo. 00:33:02
Así que si está entre 2 y 3, 00:33:07
lo veis que aquí cambiaba, 00:33:11
y este, sin embargo, no se altera 00:33:12
si la x es mayor que 3. 00:33:15
¿lo veis? y ahora con la apreciación 00:33:19
que me dijo Carla, que eso está estupendo 00:33:22
ahora yo le pongo el igual 00:33:23
donde yo quiera, ¿vale? se lo puedo poner aquí 00:33:25
y aquí, por ejemplo, lo que no puedo 00:33:27
tener es un igual aquí 00:33:29
y otro igual aquí, ¿de acuerdo? 00:33:31
y ya esta es la definición, ¿veis lo que 00:33:33
he hecho analíticamente? es 00:33:35
lo igual a cero, veo las 00:33:37
raíces, estudio 00:33:39
perdón, estudio el signo en cada uno 00:33:41
de los intervalos, como es polinómico 00:33:43
con que estudio el intervalo 00:33:45
donde está el cero, yo alterno 00:33:47
el signo. ¿Vale? 00:33:49
Y ahora lo que hago es, donde es positivo 00:33:51
lo dejo cargado. Donde es 00:33:53
negativo le cambio el signo a 2. 00:33:55
No tengo que hacer más nada. 00:33:57
¿Vale? ¿Sí o no? 00:33:59
Y aquí volviendo, este amago de dibujo 00:34:01
que es un mojón. 00:34:04
¡Guau! Continua 00:34:05
es siempre y aquí en el 00:34:07
2 y en el 3 no es derivable. Hay un 00:34:09
piquito ahí. ¿Vale? 00:34:11
¿Sí? 00:34:13
¡Guau! 00:34:17
Menos, más, menos, sí 00:34:17
Sí, sí 00:34:23
Emperatriz 00:34:24
De hecho, guía, si tú representas 00:34:26
Esta función de aquí abajo 00:34:29
Y tú representas 00:34:30
Tú representas en GeoGebra 00:34:32
Esta de aquí, mira, la función es 00:34:35
Así 00:34:37
A ver, los cuernos para abajo, porque esto es negativo 00:34:38
El 2 y el 3 es el mismo 00:34:41
Pero sería todo así 00:34:43
Entonces ahí, sí que sería 00:34:44
menos, más, menos. 00:34:47
Es que se hace la pendiente 00:34:51
aquí como es la pendiente. 00:34:53
¿Positiva o negativa? 00:34:55
Positiva porque va creciendo. 00:34:57
Y aquí como es negativa. 00:34:58
Y aquí como es la pendiente. 00:35:00
Y aquí positiva. 00:35:02
¿Vale? 00:35:05
Ya veremos las derivadas. 00:35:06
Chavales, lo que sí necesito es una cosa. 00:35:07
Este fin de semana, como vamos, 00:35:09
como siempre, fatal, 00:35:11
y es que encima nos queda nada. 00:35:12
Vamos a ver ahora los teoremas 00:35:14
de Borsano, de Darbú este 00:35:15
y de Valle Estras 00:35:18
de rol me los reservo para las derivadas 00:35:20
voy a subir ya el tema 9 00:35:22
que es de derivadas 00:35:25
¿vale? entonces necesito que repaséis 00:35:26
porque eso es del año pasado 00:35:28
que repaséis chavales 00:35:29
las derivadas 00:35:31
yo siempre hay dos tablitas ¿vale? 00:35:33
hay una tablita 00:35:35
que es digamos la fácil 00:35:36
que yo no recomiendo que estudiéis esa 00:35:38
ni de coña porque luego viene 00:35:40
el problema con la regla de la cadena 00:35:42
sin embargo, la de la derecha 00:35:44
yo voy a intentar poner los lazos, ¿vale? 00:35:46
Entonces, ¿qué es lo que ocurre? Que la de la 00:35:49
izquierda, que es la que normalmente os aprendéis 00:35:50
es cuando la f de 00:35:53
x vale x, ¿de acuerdo? 00:35:55
Entonces, ahí, ¿cuál es la 00:35:57
derivada de x, chavales? 00:35:58
Un 1. Entonces, como no se pone 00:36:00
os olvidáis cuando tenemos que hacer 00:36:02
la regla de la cabeza. Y entonces 00:36:04
en este tema, que yo no sé el libro 00:36:06
si el tema siguiente 00:36:08
es derivada, aplica el orbital, que 00:36:10
¿Te acuerdas que tú me preguntaste que l'hôpital es un puntazo? 00:36:12
¿Vale? 00:36:16
L'hôpital es un puntazo. 00:36:16
Entonces, yo quiero ver las derivadas antes porque l'hôpital se basa precisamente en derivados. 00:36:18
Pero aquí, sin embargo, lo ponen aquí a solo. 00:36:23
¿Vale? 00:36:25
¿Sí o no? 00:36:26
Entonces. 00:36:26
¡Guau! 00:36:30
Vale. 00:36:32
Chavales, la continuidad en un intervalo. 00:36:32
¿Vale? 00:36:35
Hemos visto siempre la continuidad de una función, la continuidad en un punto. 00:36:36
Y también vamos a ver la continuidad en un intervalo. 00:36:41
Entonces, chavales, ¿qué es lo que se dice que una función es continua en un intervalo? 00:36:43
¿Vale? Finito, infinito, me da igual. 00:36:51
Que al final sí es continua en cada punto del intervalo. 00:36:53
Es decir, yo puedo dibujar esa función desde el principio del intervalo hasta el final del intervalo sin levantar el lápiz. 00:36:56
¿De acuerdo? 00:37:03
Entonces, ¿qué es lo que ocurre? 00:37:04
Pues basándonos en esto, hay una serie de, por ejemplo, estas funciones continuas en el intervalo. 00:37:06
imagínate que esto vale 3, esto vale 3 00:37:13
en el 1 y 2 es continua 00:37:15
aquí esta función 00:37:17
es continua en el 1 y 2, no, tengo un sarto 00:37:19
finito, ¿vale? entonces 00:37:21
chavales, ¿qué es lo que quiero? 00:37:23
bueno, esta es una función de Dirichlet 00:37:25
que esto es una fumada 00:37:27
que no vea, esto me lo tuve 00:37:28
estudiado yo para las oposiciones 00:37:31
y les dice esto, anda Dirichlet, mi arma 00:37:32
has quedado 00:37:35
a gustito, hijo 00:37:37
entonces chavales, problema de Borsano 00:37:38
Y esto es súper importante porque hay algunos ejercicios que además también nos lo piden, ¿vale? Entonces, lo importante del teorema de Borzano, que parece de perogrullo, pero que es un puntazo, es si yo tengo una función, si yo tengo una función que es continua en un intervalo cerrado, súper importante, yo tengo un intervalo AB y yo sé que es continua. 00:37:41
Por ejemplo, ¿cuál es una función continua que sabemos todos? 00:38:01
Una función polinómica, ¿vale? 00:38:03
Es continua todo el intervalo. 00:38:06
Y en sus extremos, en sus extremos del intervalo, toma valores distintos. 00:38:08
¿Qué significa eso? 00:38:14
Que yo, por ejemplo, fijaros. 00:38:15
Yo tengo aquí mi función. 00:38:17
Esta función es continua. 00:38:18
Yo si levanta el lápiz, si levanta el lápiz, dame dos minutillos, ¿vale? 00:38:20
Si yo si levanta el lápiz, chavales, ¿qué ocurre? 00:38:23
Que yo lo puedo dibujar, ¿sí o no? 00:38:26
Entonces, ¿qué es lo que me dice? 00:38:28
Pero fíjate, si yo me voy a A, ¿vale? 00:38:29
Si yo me voy a A y yo hago F de A, ¿qué me sale? 00:38:34
¿Positivo o negativo? 00:38:38
Negativo. 00:38:39
Y si yo me voy a B y hago F de B, ¿qué me sale? 00:38:40
¿Positivo o negativo? 00:38:43
Entonces, ¿qué significa esto? 00:38:44
Como la función es continua, para yo ir de A a B, 00:38:45
tengo que pasar a cojones por el cero, ¿sí o no? 00:38:50
Entonces, ¿qué es lo que me dice el teorema de Borsal? 00:38:54
que si yo tengo en un intervalo 00:38:57
una función que es continua 00:38:59
y los límites, ¿vale, chaval? 00:39:01
Si los límites son de signos distintos 00:39:03
significa que al menos 00:39:05
hay una raíz. En este caso 00:39:07
hay tres raíces, ¿vale? 00:39:09
En este caso hay tres raíces. 00:39:10
Pero aquí lo que yo sé 00:39:12
es que por lo menos una tiene que haber. 00:39:15
¿Por qué? Porque si yo dibujo esto 00:39:17
de aquí a aquí, hay una. 00:39:19
Si yo dibujo esto de aquí, hay tres. 00:39:20
Si yo dibujo esto de aquí, 00:39:23
hay cinco. 00:39:25
¿Lo veis, chavales? 00:39:25
¿Lo veis? 00:39:28
Raíces son aquellos valores 00:39:30
que nace el cero 00:39:32
en la función, ¿vale? 00:39:33
Y una cosilla solo, chavales. 00:39:36
El teorema de Darbú, 00:39:39
chavales, 00:39:43
el teorema de Darbú, 00:39:44
este de aquí, o no sé cómo se dice, 00:39:46
chavales, un momentillo, por favor. 00:39:50
Una consecuencia 00:39:53
del teorema de Bolzano 00:39:54
son estos dos porque entran ejercicios 00:39:56
así, ¿vale? Entonces, chavales 00:39:58
¡Ay, no! 00:40:01
Me estáis poniendo nervioso 00:40:05
¡Ole, 00:40:07
titocho! 00:40:11
Venga, chavales 00:40:13
¿Os acordáis lo que me decía 00:40:14
Borzano, verdad? Borzano me decía 00:40:16
que si es continua en todas las 00:40:19
funciones, y uno es positivo y otro negativo 00:40:21
tiene que haber un valor que sea igual a cero 00:40:22
y el dar word que es lo que dice 00:40:25
es más genérico, ¿no? Si yo tengo 00:40:26
que tengo A y B, yo sé que 00:40:28
es continua, en A 00:40:30
vale F de A y en B 00:40:33
vale F de B, ¿vale? 00:40:35
Lo que me dice el árbol es que 00:40:36
existe 00:40:38
un valor dentro de este intervalo 00:40:39
donde su función, donde la función 00:40:42
esté entre F de A 00:40:44
y F de B. Parece una 00:40:47
parcoye. Pero ¿sabes lo que digo? 00:40:48
Si yo voy de aquí 00:40:51
a aquí y es continuo, 00:40:53
pues lo que me dice es que existe un punto 00:40:55
de aquí donde el valor de la función 00:40:57
está comprendido entre 00:40:59
estos dos trozos. Es lo que me dijo. 00:41:01
No, no, no, no, que existe 00:41:03
un valor más de que esto es 00:41:05
esto vale 00:41:07
8 y esto vale 00:41:09
11. Pues va a haber un 00:41:10
valor aquí 00:41:13
cuya función va a estar entre 00:41:14
8 y 11. El de 00:41:16
el de Bolsano que me decía que si 00:41:18
esto era un 2 00:41:20
y esto era un 4, un menos 4 00:41:22
pues va a haber un valor donde 00:41:25
elevaba al 0 lo veis exactamente lo mismo y luego ya terminó con esto que es 00:41:26
importante porque haremos un ejercicio y yo tengo dos funciones vale dos 00:41:31
funciones que son continuas en el intervalo vale y ahora coge el punto a 00:41:36
veis que la roja es mayor que la verde sí y luego yo hago en el otro intervalo 00:41:40
las dos son continuas y veis que ahora la verde es más grande que la colora 00:41:47
pues entonces a cojones se han tenido que cruzar 00:41:53
es lo que quiere decir 00:41:55
una consecuencia del teorema de Darby 00:41:56
eso significa que entre estas dos 00:41:59
tiene que pasar siempre 00:42:01
por algún valor de aquí, de Darby 00:42:03
esta entre dos tiene que pasar 00:42:05
siempre entre dos valores 00:42:07
entonces va a existir 00:42:08
al menos un punto de forma 00:42:11
¿lo veis? esas son las consecuencias 00:42:12
del teorema de Bolsán 00:42:15
nos queda también el de Bayer 00:42:17
por favor repasaros bien, voy a abrir 00:42:18
este fin de semana lo de las derivadas. 00:42:21
Gracias, Bachave. 00:42:24
Valoración:
  • 1
  • 2
  • 3
  • 4
  • 5
Eres el primero. Inicia sesión para valorar el vídeo.
Idioma/s:
es
Idioma/s subtítulos:
es
Materias:
Matemáticas
Niveles educativos:
▼ Mostrar / ocultar niveles
  • Bachillerato
    • Segundo Curso
Autor/es:
Roberto Aznar
Subido por:
Roberto A.
Licencia:
Reconocimiento - No comercial - Compartir igual
Visualizaciones:
18
Fecha:
23 de enero de 2026 - 14:04
Visibilidad:
Público
Centro:
IES JIMENA MENÉNDEZ PIDAL
Duración:
42′ 29″
Relación de aspecto:
1.97:1
Resolución:
1024x520 píxeles
Tamaño:
72.27 MBytes

Del mismo autor…

Ver más del mismo autor

Comentarios

Para publicar comentarios debes entrar con tu nombre de usuario de EducaMadrid.

Comentarios

Este vídeo todavía no tiene comentarios. Sé el primero en comentar.



EducaMadrid, Plataforma Educativa de la Comunidad de Madrid

Plataforma Educativa EducaMadrid