Saltar navegación

Activa JavaScript para disfrutar de los vídeos de la Mediateca.

Problema 6 página 30 - Contenido educativo

Ajuste de pantalla

El ajuste de pantalla se aprecia al ver el vídeo en pantalla completa. Elige la presentación que más te guste:

Subido el 22 de noviembre de 2021 por Juan C. F.

84 visualizaciones

Descargar la transcripción

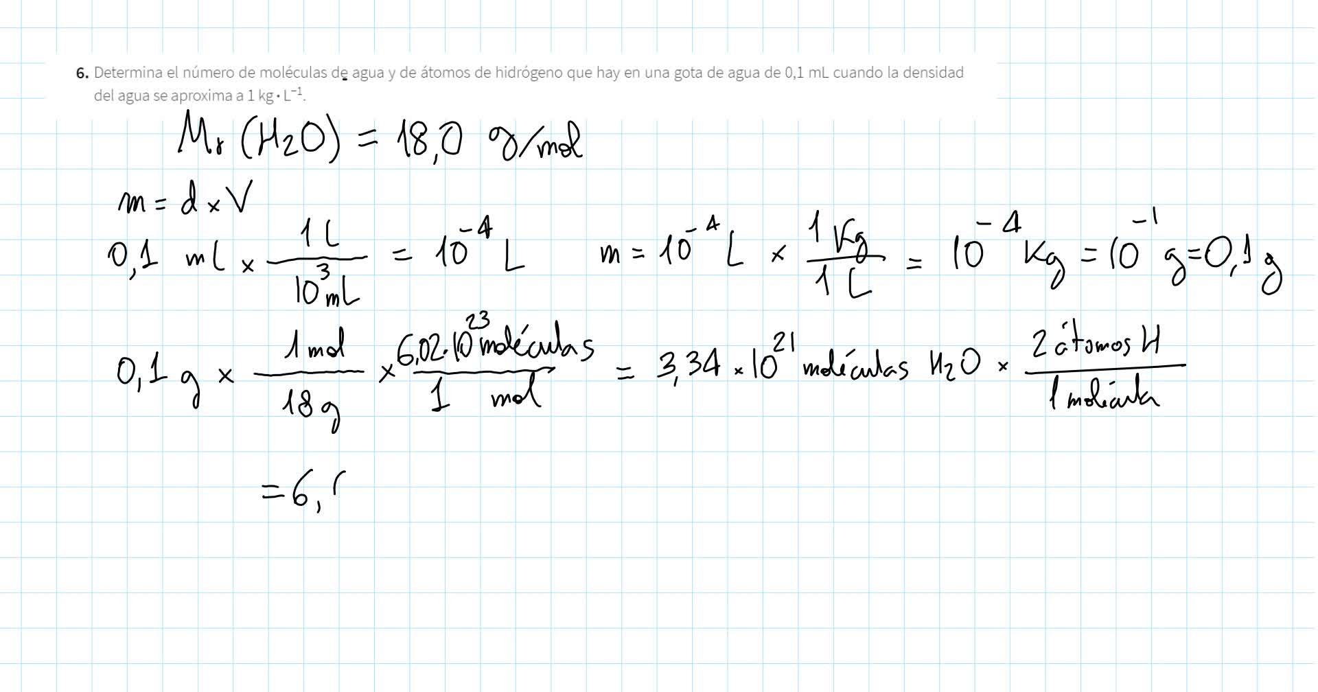
Vamos a resolver el problema número 6 de la página 30, que me pide determinar el número de moléculas de agua y de tomos de hidrógeno que hay en la gota de agua de 0,1 mililitros con la densidad del agua se aproxima a 1 kilo por litro. 00:00:01
Es un problema normal, te calcula de moléculas y de, a partir del número de moles, pero en lugar de darme la masa directamente, me dan el volumen de agua y la densidad. 00:00:14
Entonces, bueno, lo primer paso que hacemos siempre es calcular la masa molecular del agua 00:00:25
a partir de sus masas atómicas. 00:00:32
No me voy a determinar mucho, 18 gramos por mol. 00:00:36
Y vamos a ver primero cómo se calcula la masa de una gota de agua de hace un mililitro. 00:00:40
Ya sabéis, y si no lo sabéis os lo recuerdo, aunque bueno, se puede hacer un factor de conversión, 00:00:46
que la masa es la densidad por el volumen. 00:00:50
Pero tengo el volumen en mililitros y la densidad en kilos por litro. 00:00:52
Entonces hay que hacer un pequeño factor de conversión, que es pasar estos mililitros a litros. 00:00:55
Esto lo estudiamos bien el año pasado y sacamos que un mililitro, hacer un mililitro son 10 a la menos 4 litros. 00:01:03
Con lo cual la masa es el volumen, 10 a la menos 4 litros, por un kilogramo por litro, que es la densidad, un kilogramo por litro, 00:01:17
Bueno, empezará en 10 elevado a menos 4 kilogramos, que son 10 elevado a menos 1 gramos. 00:01:29
Entonces yo tengo una masa en forma de, o 0,1 gramos, vamos a duplicar la vida, en gramos. 00:01:38
Entonces nada, para saber el número de moléculas de agua, primero voy a pasarlo 0,1 gramos a moles, 00:01:48
y ya directamente, sin hacer el cálculo intermedio, pues pasamos los moles a moléculas. 00:02:00
ya sabéis que un mol 00:02:05
es el número de abogados de moléculas 00:02:12
cogemos la calculadora 00:02:14
me salen 00:02:21
estas moléculas 00:02:32
recordad que son de agua 00:02:34
y como me piden también el número de átomos 00:02:44
de hidrógeno, pues cada molécula 00:02:47
como pueden ver en la fórmula son dos átomos de hidrógeno 00:02:49
entonces hay dos 00:02:51
átomos de hidrógeno 00:02:53
en cada molécula 00:02:57
hacemos el cálculo que simplemente es multiplicar esto 00:02:58
por 2 y me sale el segundo resultado. 00:03:04
Idioma/s:
es
Autor/es:
Juan Carlos Fajardo
Subido por:
Juan C. F.
Licencia:
Reconocimiento - Compartir igual
Visualizaciones:
84
Fecha:
22 de noviembre de 2021 - 19:18
Visibilidad:
Público
Centro:
IES CLARA CAMPOAMOR
Duración:
03′ 20″
Relación de aspecto:
17:9 Es más ancho pero igual de alto que 16:9 (1.77:1). Se utiliza en algunas resoluciones, como por ejemplo: 2K, 4K y 8K.
Resolución:
1920x1008 píxeles
Tamaño:
14.50 MBytes

Del mismo autor…

Ver más del mismo autor


EducaMadrid, Plataforma Educativa de la Comunidad de Madrid

Plataforma Educativa EducaMadrid