Saltar navegación

Activa JavaScript para disfrutar de los vídeos de la Mediateca.

Fracciones generatrices decimales periódicos puros - Contenido educativo

Ajuste de pantalla

El ajuste de pantalla se aprecia al ver el vídeo en pantalla completa. Elige la presentación que más te guste:

Subido el 28 de octubre de 2024 por Ignacio L.

7 visualizaciones

Descargar la transcripción

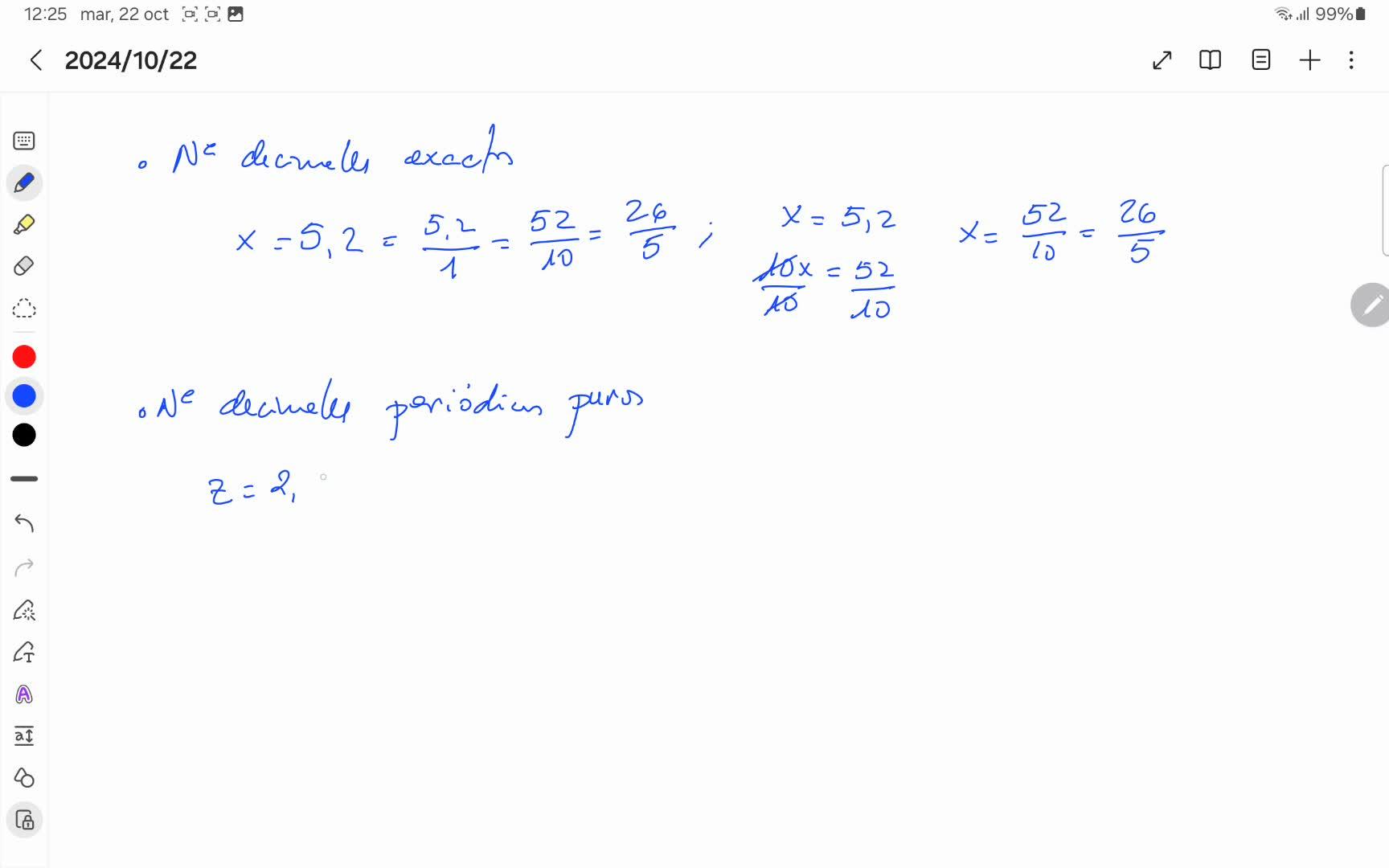
Por los siguientes, que serían las fracciones generatrices de números decimales periódicos puros, ¿vale? 00:00:00
Entonces, mi número, lo voy a llamar, una letra, Z, ¿vale? 00:00:16
Es un número periódico puro, por ejemplo, 2,35 periodo. 00:00:23
Lo que es lo mismo, 2,35, 35, 35, así hasta el infinito. 00:00:29
¿Cuál es mi problema? 00:00:39
Mi problema es que ahora el truco que he utilizado con los demestimales exactos 00:00:41
de multiplicar por 10 hasta que la coma no aparezca, 00:00:44
aquí no va a pasar porque por mucho que empuje la coma hacia la derecha, 00:00:49
siempre hay 00:00:53
yo hago un número 00:00:54
a infinitos números, le quito 00:00:56
10.000 números y sigue 00:00:58
habiendo infinitos, entonces 00:01:00
por más que yo empuje esa coma hacia la derecha 00:01:02
no me va a valer 00:01:05
necesito otra estrategia 00:01:06
¿qué estrategia necesito? 00:01:08
necesito un número 00:01:10
que tenga la misma parte decimal 00:01:12
¿vale? 00:01:14
¿qué significa eso? significa que necesito 00:01:16
un número que tenga también como 00:01:18
parte decimal 35 periodo 00:01:20
¿Cómo puedo conseguir ese número? Pues moviendo la coma hasta que pare en 35 periodos. Podría moverla aquí, o aquí, o aquí, así sucesivamente. Solo necesito uno. El más sencillo sería ponerla aquí, en el primero. 00:01:23
¿por cuántas veces tengo que multiplicar por 10 00:01:43
para llevar la coma 00:01:47
hasta allí? pues tengo que dar 00:01:49
dos saltos, uno hasta el 3 00:01:50
y otro hasta el 5 00:01:52
así que lo que tengo que hacer es multiplicar por 100 00:01:54
pues entonces cojo mi 00:01:57
igualdad 00:01:58
y la multiplico por 100 00:02:01
en los dos lados del igual, siempre 00:02:02
¿vale? entonces en el lado de la izquierda 00:02:05
tengo Z, así que como voy a multiplicar 00:02:07
por 100 tendré 100 Z 00:02:09
y en el otro lado 00:02:11
pues ya no tendré 2,35 00:02:13
sino que tendré 235 00:02:15
porque he movido la coma hasta allí 00:02:17
235 00:02:19
coma 35 00:02:21
y 35 y 35 00:02:23
y 35 y 35 00:02:25
entonces acabo de conseguir un número 00:02:26
que tiene la misma parte decimal 00:02:28
sigue teniendo infinitos decimales 00:02:30
claro, pero ¿qué pasa si era el resto de los dos? 00:02:34
¿qué pasa si yo a este 00:02:36
100z, a esta ecuación 00:02:38
100z 00:02:40
igual a 235 00:02:41
coma 35 periodo, le resto 00:02:43
la ecuación que tenía al principio, o sea, una z 00:02:46
era igual a 2 coma 35 periodo 00:02:50
¿vale? voy a restar 00:02:55
esas dos ecuaciones, para restar las dos ecuaciones, restaré 00:02:59
los términos por su lado, es decir, por eso lo he puesto de forma vertical 00:03:03
voy a restar todo lo que esté a la izquierda del igual 00:03:07
y todo lo que esté a la derecha del igual. 00:03:11
Lo estamos despejando. 00:03:13
No, no, no, estoy restando, ¿vale? 00:03:14
Entonces, en el lado de la izquierda tengo 100 zetas menos una zeta. 00:03:16
¿Cuántas zetas tengo? 00:03:21
99. 00:03:23
99 zetas, ¿vale? 00:03:24
Entonces, en el lado de la izquierda me quedan 99 zetas. 00:03:26
Y en el lado de la derecha tengo dos números que tienen la misma parte decimal. 00:03:29
Con lo cual, la parte decimal me va a quedar 0, que era lo que yo quería. 00:03:34
y ahora me quedan 235 menos 2 00:03:38
que son 233 00:03:42
me olvido de la parte decimal 00:03:44
es decir, no la escribo y me queda 00:03:47
99z es igual a 00:03:49
233 00:03:51
y ya no hay números decimales 00:03:52
lo único que tengo que hacer es despejar z 00:03:55
que era mi número original, el 2,35 00:03:57
periodo, y entonces 00:04:00
si despejo z 00:04:01
dividiendo en los dos lados por 99 00:04:02
y entonces con las comillas 00:04:06
es ese 99 pasa al otro lado no aquí tengo 99 multiplicando 99 dividiendo de ninguna 00:04:07
suma no hay nada que más fácil y entonces ese 9 ha pasado es otro 99 no al otro lado 00:04:13
y que me queda pues que z es igual a 233 partido por 99 y luego la 00:04:20
Materias:
Matemáticas
Niveles educativos:
▼ Mostrar / ocultar niveles
  • Educación Secundaria Obligatoria
    • Ordinaria
      • Primer Ciclo
        • Primer Curso
        • Segundo Curso
      • Segundo Ciclo
        • Tercer Curso
        • Cuarto Curso
        • Diversificacion Curricular 1
        • Diversificacion Curricular 2
    • Compensatoria
Subido por:
Ignacio L.
Licencia:
Reconocimiento - Compartir igual
Visualizaciones:
7
Fecha:
28 de octubre de 2024 - 17:22
Visibilidad:
Público
Centro:
CEPAPUB BUITRAGO DE LOZOYA
Duración:
04′ 33″
Relación de aspecto:
16:10 El estándar usado por los portátiles de 15,4" y algunos otros, es ancho como el 16:9.
Resolución:
1728x1080 píxeles
Tamaño:
27.48 MBytes

Del mismo autor…

Ver más del mismo autor


EducaMadrid, Plataforma Educativa de la Comunidad de Madrid

Plataforma Educativa EducaMadrid