• Área bajo una curva I.
  • Área bajo una curva II.
  • Ejercicio 18 Integrales SM
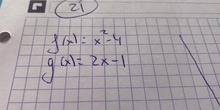
  • Ejercicio 21 Integrales SM
  • Área encerrada entre dos curvas.
  • Ejercicio 23 Integrales SM
  • Ejercicio 22 SM