Saltar navegación

Activa JavaScript para disfrutar de los vídeos de la Mediateca.

Rangos 1 - Contenido educativo

Ajuste de pantalla

El ajuste de pantalla se aprecia al ver el vídeo en pantalla completa. Elige la presentación que más te guste:

Subido el 24 de octubre de 2023 por M.gracia M.

15 visualizaciones

Cálculo de rangos por el método de determinantes

Descargar la transcripción

Hola, buenas. Vamos a hacer ahora ejercicios usando los determinantes para averiguar el 00:00:00
rango. Ya habíamos hecho el rango por medio del método de Gauss-Jordan, pero nos puede 00:00:09
resultar más sencillo hacer los rangos por el método de determinantes. Por ejemplo, 00:00:14
tenemos aquí dos ejercicios, el 11 y el 12, y en ambos tenemos que estudiar el rango de 00:00:21
la matriz. En el caso del ejercicio número 11, si nos damos cuenta, nuestra matriz tiene 00:00:25
tres filas y cuatro columnas, es decir, M es una matriz 3x4. ¿Eso qué quiere decir? 00:00:32
Pues que el rango, como mucho, puede llegar a ser 3, puesto que directamente sabemos que 00:00:41
el rango tiene que ser menor o igual que el mínimo de filas y columnas. Entonces podemos 00:00:54
tener rango 1, rango 2, o en este caso podríamos tener rango 3, ¿de acuerdo? Entonces en este 00:01:14
caso tendríamos 1 menor o igual que el rango de M, menor o igual que 3, puesto que yo tengo 00:01:21
tres filas y cuatro columnas. Entonces, ¿cómo podemos hacer el estudio en este caso? Bueno, 00:01:32
pues vamos a coger de la matriz M un menor de orden 2. Por ejemplo, este de aquí. Vamos 00:01:38
a coger este primer menor y vamos a calcular su determinante. De esa manera, como mínimo, 00:01:46
nos garantizamos que el rango de nuestra matriz es 2. Entonces cogemos ese menor 00:01:54
y lo vamos a calcular. 00:02:07
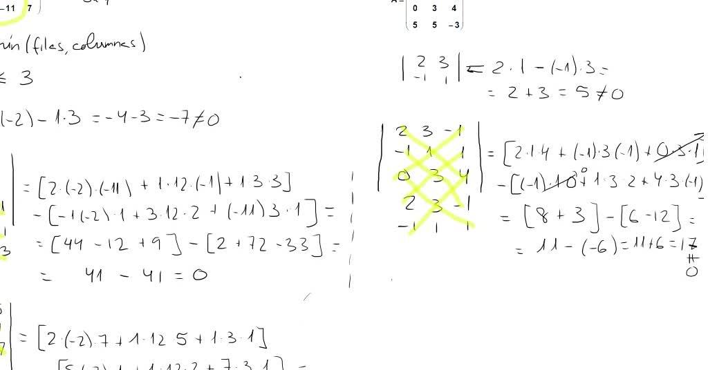
Y esto nos da menos 4 menos 3, que es igual a menos 7, que es distinto de 0. Entonces, 00:02:17
sabemos que al menos el rango es 2, ¿pero podríamos garantizar que el rango es 3? Bueno, 00:02:26
pues para eso lo que vamos a hacer en este caso es completar y vamos ahora a coger un menor de 00:02:34
orden 3 y vamos a buscar si su determinante es distinto de 0. Si en este caso, por ejemplo, 00:02:44
este determinante fuera igual a 0, siempre nos queda la otra columna para probar a hallar un 00:02:55
determinante de orden 3. Entonces, en este caso, vamos a averiguar ese determinante 00:03:04
y lo podemos hacer por el método que quedamos. Por ejemplo, lo vamos a hacer por el método 00:03:12
de siempre. Vamos a empezar, como siempre, por estas diagonales paralelas a la diagonal principal. 00:03:38
Por 12 y por menos 1, más 1 por 3 y por 3, menos y ahora empezamos por las otras diagonales. En 00:04:09
este caso, las diagonales paralelas a la secundaria. Con lo cual, tendríamos menos 1 por menos 2, 00:04:24
por 1, más 3 por 12 y por 2, más menos 11 por 3 y por 1. En este caso, no tenemos algo que nos 00:04:38
facilite, que nos pudiera dar ceros, pero bueno, simplemente es hacer los cálculos. Tenemos en el 00:04:59
primer caso, menos por menos más, 2 por 2 y por 11, 44. 1 por 12 y por menos 1 es menos 12. 1 por 3 y por 3 es más 9. 00:05:06
Menos, menos 1 por menos 2 y por 1 es 2. 2 por 3 es 6, por 12 es 72. Menos 11 por 3 y por 1 es menos 33. 00:05:23
Seguimos operando, tenemos que 44 y 9 son 53. 53 menos 12 son de 2 a 3 es 1. 00:05:42
41 menos 74 menos 33 son 41. En este caso, nos da cero. Con lo cual, esa primera columna que hemos 00:06:06
escogido no nos sirve. ¿Qué tendríamos que hacer entonces? Tendríamos que coger las dos primeras 00:06:29
columnas y la última columna, que es lo que vamos a hacer y vamos a comprobar si en este caso nuestro 00:06:35
determinante nos da distinto de cero. Entonces, ahora lo que haremos es sustituir la última 00:06:42
columna, menos 1, 3, menos 11, por 5, 1, 7. Vamos a hacerlo de esta forma, tenemos ahora esto, 2, 3, 1, menos 2, 1, 12 y 00:06:50
tenemos esa última columna que la vamos a poner en este caso como 5, 1, 7. Vamos a hacer lo mismo de antes, vamos a 00:07:18
añadir la primera y la segunda filas y vamos a hacer el mismo procedimiento de antes. Si en este caso nos encontramos con que no podemos 00:07:38
tener determinantes distintos de cero, lo que podremos concluir es que el rango de nuestra matriz será como máximo el rango igual a 2. Entonces, vamos a hacer el resultado, 2 por 00:08:02
menos 2 y por 7, más 1 por 12 y por 5, más 1 por 3 y por 1, menos, y ahora hacemos las otras diagonales, esta diagonal, esta diagonal y esta diagonal. Entonces, 5 por menos 2 y por 1, 00:08:16
5 por menos 2 y por 1, más 1 por 12 y por 2, más 7 por 3 y por 1. Y bueno, pues seguimos operando, 7 por menos 4, menos 28, 12 por 5, 60, más 60, 00:08:42
más 3, menos, 5 por menos 2 es menos 10, 1 por 12 y por 2 es más 24, más 7 por 3, 21. Y esto es igual. 00:09:10
360 más 363 menos 28, son de 8 a 13, 5, 2 y 1 a 3, a 6, 3, menos, ahora es 24 y 21, son 45 menos 10, 35. 00:09:38
35 igual a 0. Con lo cual concluimos, como no hemos encontrado ningún determinante de orden 3 distinto de 0, concluimos que el rango de nuestra matriz M 00:10:02
es igual a 2. El otro caso lo podríamos hacer de similar manera. En este otro caso vamos a hacer lo mismo, en principio, si nosotros queremos estudiar esta otra matriz, 00:10:15
pues vamos a hacer lo mismo, vamos a coger un menor de orden 2, por ejemplo, pues el menor formado por 2, 3, menos 1 y 1, hallamos su determinante, 00:10:40
entonces es 2 por 1, menos, menos 1 por 3 y esto nos da 2 más 3, que es igual a 5 distinto de 0. Entonces sabemos que como poco el rango es igual a 2. 00:10:57
Vamos a hacer ahora, vamos a coger, por ejemplo, la fila 3 y vamos a hallar el determinante de la fila 3. Entonces, 2, 3, menos 1, menos 1, 1, 1, 0, 3, 4 y vamos a ver que es lo que ocurre. 00:11:14
Si este determinante es distinto de 0, entonces podremos concluir que el rango de nuestra matriz A será igual a 3. Entonces vamos a hacer este determinante también, como siempre, de la misma manera. 00:11:39
Y vamos a escribir la primera y la segunda filas. Y lo que vamos a hacer, pues como siempre también, es el orden de las diagonales. 00:11:57
Entonces tenemos 2 por 1 y por 4, más menos 1 por 3 y por menos 1, más 0 por 3 y por 1, menos, y ahora hacemos la otra diagonal, mejor dicho las otras diagonales. 00:12:14
Entonces tendríamos menos 1 por 1 y por 0, más 1 por 3 y por 2, más 4 por 3 y por menos 1, y hacemos las operaciones. 00:12:45
Aquí sí tenemos ventajas porque hay términos que se hacen 0. Entonces nos queda la cosa más simplificada, 2 por 1 y por 4 es igual a 8, más menos 1 por 3 y por menos 1 es 3, 00:13:11
y abajo nos queda 1 por 3 y por 2 que es 6, y 4 por 3 y por menos 1 que es menos 12, y operando tendríamos 8 y 3 es 11, menos 6 menos 12 es menos 6, con lo cual en este caso nos sale 11 más 6 que es 17, 00:13:29
que es distinto de 0. Como 17 es distinto de 0, podemos concluir que en este caso el rango de nuestra matriz es igual a 3. 00:13:54
Valoración:
  • 1
  • 2
  • 3
  • 4
  • 5
Eres el primero. Inicia sesión para valorar el vídeo.
Idioma/s:
es
Autor/es:
Gracia Moreno Flores
Subido por:
M.gracia M.
Licencia:
Todos los derechos reservados
Visualizaciones:
15
Fecha:
24 de octubre de 2023 - 22:51
Visibilidad:
Público
Centro:
IES DIONISIO AGUADO
Duración:
14′ 17″
Relación de aspecto:
1.91:1
Resolución:
1024x536 píxeles
Tamaño:
24.81 MBytes

Del mismo autor…

Ver más del mismo autor

Comentarios

Para publicar comentarios debes entrar con tu nombre de usuario de EducaMadrid.

Comentarios

Este vídeo todavía no tiene comentarios. Sé el primero en comentar.



EducaMadrid, Plataforma Educativa de la Comunidad de Madrid

Plataforma Educativa EducaMadrid