Saltar navegación

Activa JavaScript para disfrutar de los vídeos de la Mediateca.

Ejercicios de probabilidad. Sucesos independientes y sucesos incompatibles. - Contenido educativo

Ajuste de pantalla

El ajuste de pantalla se aprecia al ver el vídeo en pantalla completa. Elige la presentación que más te guste:

Subido el 20 de abril de 2026 por Roberto A.

5 visualizaciones

Descargar la transcripción

Buenos días, 17 de abril, ¿vale? 00:00:00
Del 26. 00:00:06
Venga, chavales, vamos a hacer dos o tres... 00:00:08
Guilla, Karol, te cumple. 00:00:11
¡Oye, Karol, venga, esa energía, Karol, vamos! 00:00:13
Vamos a hacer dos o tres ejercicios de probabilidad 00:00:17
y ya vamos a empezar con la binomía, ¿vale? 00:00:19
No, el disco te va a venir de la binomía, te va a venir fenomenal. 00:00:22
¿Vale, Guilla? ¿Sí? 00:00:25
Venga, chavales, entonces, me interesa este tipo de ejercicio 00:00:26
porque son muy típicos, ¿vale? Aunque ya hemos 00:00:30
hecho unos cuantos. Me dicen 00:00:32
dos sucesos, me dicen la probabilidad 00:00:33
de A, me dicen la probabilidad 00:00:36
de B condicionada 00:00:37
A y la probabilidad de 00:00:40
A B condicionada. Entonces lo que me 00:00:42
dicen es que calcule la probabilidad 00:00:44
de A 00:00:46
intersección de B. Entonces 00:00:47
recordamos, chavales, una cosilla, 00:00:49
¿no? Que precisamente la 00:00:52
probabilidad condicionada de 00:00:54
A sobre B 00:00:56
es la probabilidad de esa 00:00:57
intersección de la partida de la probabilidad debe pero que también por otro lado y esto es 00:01:00
una definición la probabilidad debe condicionada es precisamente también esa intersección que la 00:01:07
intersección de ave es lo mismo que la intersección de la vea partido de la probabilidad de a que si 00:01:13
yo pongo esta fórmula yo esto lo desconozco y esto si lo conozco pero esto también lo desconozco 00:01:20
¿Lo veis? Sin embargo, en la segunda, yo conozco esto, yo conozco esto, y precisamente esto es lo que me piden. 00:01:27
Hola, Raurillo. Entonces, ¿qué es lo que ocurre? Pues que yo de aquí voy a despejar, ¿vale? 00:01:35
Yo despejo, y entonces la probabilidad de A intersección B, ¿qué es lo que es, chavales? 00:01:41
La probabilidad de A, la probabilidad de B partido de A. 00:01:46
Y esto, ya hago un inciso, esto es cuando tenemos un diagrama de Argo, ¿vale? 00:01:51
Cuando tenemos un diagrama de Argo, yo precisamente, es una de las ramas, ¿vale? 00:01:56
Es una de las ramas. 00:02:01
Entonces, si yo aquí ya sustituyo la probabilidad de A intersección B, 00:02:03
la probabilidad de A que es tres cuartos, ¿vale? 00:02:08
Por la probabilidad de B condicionada a A que es un cuarto. 00:02:11
Con lo cual, yo tengo aquí tres dieciséis A. 00:02:16
¿Vale, chavales? 00:02:19
Y lo dejo en fracción. 00:02:20
Que queréis poner decimales, pero lo suyo es dejarlo en fracción. 00:02:21
¿Vale, chavales? 00:02:25
Entonces, el, venga, date bulla, el B, ¿vale? El B que es lo que ocurre y aquí es donde por eso quería hacer este ejercicio porque mucha gente todavía no sabe estos conceptos y es súper importante porque muchas veces en vez de darme probabilidades que también me la dan, me dice el enunciado, son independientes, son incompatibles, ¿de acuerdo? 00:02:26
Entonces, aquí tenemos que saber distinguir cuando somos compatibles o independientes. Entonces, para que sea independiente, fijaros, yo, por ejemplo, la probabilidad de A condicionada a B, si son independientes, yo soy A y soy independiente de B, yo estoy condicionado a B, no, que le den, ¿vale? 00:02:47
Entonces, esto es igual que la probabilidad de A. 00:03:09
También la probabilidad de B condicionada a A, si son independientes, esto es igual a la probabilidad de B, ¿de acuerdo? 00:03:12
Esto es si A y B son independientes, ¿vale? 00:03:20
Que ya hemos hecho algún ejercicio de esto, pero me gustaría recargarlo, ¿vale? 00:03:25
Son independientes. 00:03:29
Entonces, ¿qué ocurre? 00:03:30
Que precisamente por la definición, ¿vale? 00:03:31
Si yo tengo que probabilidad de A condicionada a B, como hemos visto arriba, es la intersección de los dos partidos desde abajo, ¿vale? Como todo esto es igual a P de A, ¿vale? Pues resulta que cuando son independientes y únicamente cuando son independientes, la probabilidad de la intersección es igual a P de A por P de B, ¿vale? 00:03:34
Pero esto solo ocurre si son independientes. Si no son independientes, no. Y es un fallo muy general que me encuentro yo en mis alumnos, ¿vale? Que me dicen que esto es siempre cuando no es verdad. Esto únicamente ocurre si son, si hay B, independientes. ¿Vale, chavales? 00:03:59
Entonces, ¿qué es lo que ocurre? Jesús. ¿Qué es lo que ocurre, chavales? Jesús. Vamos a ver. Aquí, por ejemplo, la probabilidad de B yo la sé. No, ¿no? Pero la puedo hallar ya. Sí, ¿verdad? 00:04:17
La puedo hallar precisamente de esta fórmula de aquí, ¿verdad? ¿Sí o no? Y entonces, ¿qué ocurre? Probabilidad de B, si yo despejo esto que es probabilidad de A intersección B, ¿verdad? Partido de probabilidad de A condicionado a B. 00:04:40
Como yo esto lo he hecho en el apartado A, ¿verdad?, que son 3 dieciséis avos, y la probabilidad de A condicionada a B me lo da el enunciado, que son tres cuartos, estos chavales, ¿a qué es igual? A un cuarto. ¿Vale? Tres dieciséis entre tres cuartos es cuadro dieciséis avos, que es un cuarto. 00:05:00
Un cuarto es la probabilidad de B 00:05:22
Y yo ahora me pregunto 00:05:25
¿Esto es igual, me pregunto, a la probabilidad de B condicionada A? 00:05:26
Pues la probabilidad de B condicionada A 00:05:31
También es un cuarto, me lo da el enunciado 00:05:34
¿Lo veis? 00:05:37
¿Estáis viendo lo que estoy haciendo? 00:05:42
Esto es más perdido que el barco de arroz 00:05:43
Enunciado 00:05:45
Entonces, ¿cómo la probabilidad de B es igual a la probabilidad de B partido de A? 00:05:46
¿Vale? Entonces, ¿cómo son los sucesos? 00:05:53
hello 00:05:55
son independientes 00:05:57
¿habéis visto lo que he hecho o no? 00:05:59
¿vale? ¿habéis visto? 00:06:05
Hugo 00:06:07
estás más enojado que yo 00:06:07
copetín, a ver, sí o no, dime 00:06:10
sí, aquí no me han tenido por no hacer 00:06:12
aportes y de la venta 00:06:14
sí, está bien, pero 00:06:16
sea 00:06:20
vale, también, también es otra 00:06:21
posibilidad, venga, vamos a hacer lo que dice 00:06:24
Gallito, me cae bien 00:06:26
Entonces, otra posibilidad del B es que A y B son independientes. 00:06:27
¿Tenéis los datos apuntados? Si no, vuelvo para atrás, ¿vale? 00:06:36
Si, solo si, probabilidad de A por probabilidad de B, perdón, es igual a la probabilidad de A intersección B. 00:06:40
Es decir, esto solo ocurre si son independientes. 00:06:48
La probabilidad de A, corregirme, es un cuarto. 00:06:51
Es todo, no da ni uno. 00:06:54
Tres cuartos. ¿La probabilidad de B es la C? No. 00:06:55
No la he sacado todavía, ¿no? 00:07:04
Con esto de aquí, ¿no? 00:07:10
Que es un cuarto, ¿verdad? 00:07:12
Un cuarto. 00:07:15
Y la probabilidad de la intersección es del apartado A, ¿no? 00:07:16
Claro, tengo que hacer esto de aquí, efectivamente. 00:07:21
Tengo que hacer esto de aquí. 00:07:23
lo voy a hacer, ¿vale? porque si no 00:07:24
estamos igual 00:07:26
hoy el copy pay 00:07:27
¿vale bachales? y la intersección 00:07:33
la sé, si no, de la 00:07:44
partida A que es 3 dieciséis 00:07:46
¿qué? dieciséis 00:07:48
de la partida A 00:07:50
entonces ¿qué ocurre? ¿es verdad 00:07:52
que tres cuartos por un 00:07:54
cuarto es igual a tres partidos 00:07:56
de dieciséis? sí, ¿verdad? 00:07:58
entonces ¿qué ocurre? que PDA 00:08:00
por pdb es igual a pda intersección vale es otra forma de hacerlo vale las dos son buenas 00:08:02
entonces chavales pues cuando tú eres incompatible con alguien incompatible cuando es incompatible 00:08:15
con alguien? 00:08:26
¿Cuándo eres incompatible 00:08:29
con alguien en general? 00:08:30
Cuando no tienes nada en común, ¿vale? 00:08:32
Entonces, A y B 00:08:35
son incompatibles, 00:08:36
son incompatibles. 00:08:40
Y esto ponerlo siempre, ¿eh, chavales? 00:08:41
Son incompatibles. 00:08:44
Sí, sí, sólo sí. 00:08:45
La probabilidad de la 00:08:47
intersección, que es lo común de los 00:08:49
dos, es cero. ¿Y qué ocurre? 00:08:51
Que precisamente del 00:08:53
apartado A, ¿verdad? 00:08:55
del apartado A 00:08:56
hemos visto que la probabilidad 00:08:58
de A intersección B 00:09:02
es igual a 3 partido 00:09:03
de 16 que distinto de 0 00:09:05
por lo tanto yo puedo 00:09:07
decir que A y B 00:09:09
no son incompatibles 00:09:10
¿entendéis esto chavales? 00:09:13
es que si tenemos 00:09:18
fíjate que son dos conceptos 00:09:18
que son una farfollet y que nos pueden 00:09:20
hacer perder dos puntos 00:09:23
de la pauta o incluso del examen 00:09:24
final ¿vale? 00:09:26
Entonces, tenemos que tener muy claro cuándo son independientes y cuándo son incompatibles. 00:09:28
Y además llevarlo a vuestro terreno. 00:09:32
¿Cuándo eres incompatible con un tío, con una tía? 00:09:34
Cuando no tengo nada en común. 00:09:36
Entonces, la intersección, que es lo común, pues es cero. 00:09:38
¿Vale? 00:09:41
¿Cuándo soy independiente yo de alguien? 00:09:42
Cuando yo soy yo mismo sin depender de lo que sea esa persona. 00:09:44
¿De acuerdo? 00:09:48
Entonces, la probabilidad de A condicionada a B es igual a B. 00:09:48
A, perdona. 00:09:52
Y la probabilidad de B condicionada a A es igual a B. 00:09:53
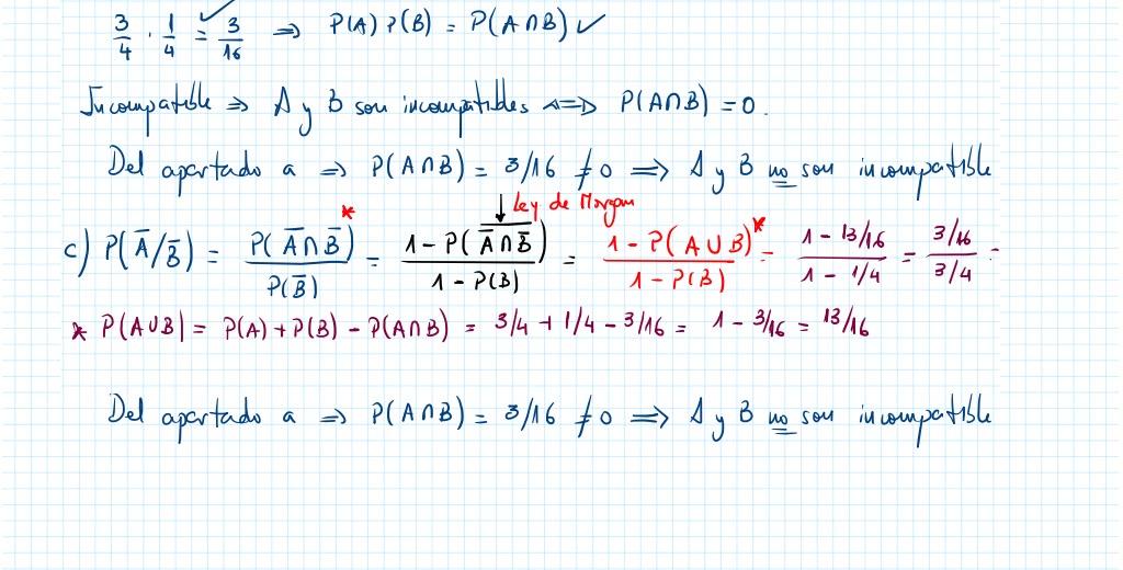
¿De acuerdo? ¿Sí? Pues venga, ¿qué nos queda? La probabilidad de A condicionada a B condicionada, ¿no? El C, probabilidad de A condicionada a B condicionada. 00:09:58
Y esto que voy a hacer ya, ¿vale? Pues aplico definición. Ximena, ¿te sabes la fórmula de la condicionada? 00:10:12
La de arriba. Por probabilidad de A interseccionar 2 partido de la probabilidad de B. 00:10:20
te has inventado un poquillo algunas cosas 00:10:30
es la intersección de las dos 00:10:35
en este caso las dos negadas 00:10:37
y la de abajo negada también 00:10:38
¿vale? 00:10:41
moronle, moronle 00:10:43
entonces chavales, yo esto lo tengo 00:10:45
esto lo tengo 00:10:47
esto no lo tengo, pero ¿qué voy a aplicar? 00:10:48
uno menos el negado de esto 00:10:59
¿vale? esto es igual a 00:11:01
uno menos la probabilidad 00:11:03
de A negado, intersección 00:11:05
B negado, pero todo ello 00:11:08
negado. ¿Vale, André? 00:11:10
Sí, es la unión. 00:11:12
Y esto aquí, ¿qué es lo que ocurre? 00:11:14
Y bueno, ¿y abajo qué es? Yo no sé 00:11:16
la probabilidad de B negado, pero 00:11:18
sí sé la probabilidad de B, ¿verdad? 00:11:20
Esto es uno menos la probabilidad de B. 00:11:22
¿Vale? Y aquí 00:11:24
¿qué voy a aplicar, chavales? 00:11:26
¿Qué voy a aplicar aquí? 00:11:29
¡Eh! Bueno, bueno, bueno. 00:11:34
La ley de Morgan. 00:11:36
Sería un detalle. 00:11:38
¿Vale? 00:11:41
Entonces, esto es uno menos la probabilidad del negado del negado de A. 00:11:42
¿Eso qué es? 00:11:49
La intersección se convierte en la unión. 00:11:50
El negado del negado de B es B. 00:11:53
¿Vale? 00:11:56
Uno menos Pb. 00:11:57
¿Y ahora qué ocurre? 00:11:58
Que yo la unión la sé. 00:11:59
Todavía no, ¿verdad? 00:12:03
Pero ¿qué ocurre? 00:12:04
Este ejercicio es orgánico, ¿eh? 00:12:05
Ejercicio, apuntarlo. 00:12:08
Entonces, A unión B, que es por definición, porque es la probabilidad de A más la probabilidad de B menos la probabilidad de lo común. 00:12:13
¿Por qué tengo que restar la intersección, chavales? 00:12:25
Porque precisamente los elementos que pertenezcan tanto a como a B, los estoy contando dos veces. 00:12:30
Los estoy contando en A y los estoy contando en B. 00:12:36
¿Vale? 00:12:38
Entonces, ¿esto qué necesito dando? Esto es 3 cuartos más 1 cuarto, ¿sí? Menos la intersección, 3 dieciséisavos, ¿no? Entonces, esto es carnaval. Bueno, estos son 4 cuartos, ¿no? Estos son 4 cuartos, que es 1. 1 menos 3 partido de 16, esto es 3 dieciséisavos. ¿Vale, chavales? 00:12:38
entonces ¿qué ocurre? que tengo aquí 00:13:03
1 menos 13 partido de 16 00:13:05
1 menos 00:13:08
p de b era 1 cuarto 00:13:09
1 menos 1 cuarto 00:13:11
esto que es 00:13:13
de 16 avos partido 00:13:14
de 3 cuartos 00:13:17
esto es igual a 1 cuarto si no me equivoco 00:13:18
¿cómo veis este ejercicio? 00:13:21
porque este ejercicio es para ponerle 00:13:25
un pisito a Madrid 00:13:27
es súper completo 00:13:28
es súper completo, tenemos que saber 00:13:30
toda la teoría 00:13:33
matemática de probabilidad 00:13:35
se concentra en este ejercicio 00:13:37
¿vale? es un ejercicio 00:13:38
FIRI 00:13:41
concentrado, concentrado 00:13:41
¿vale? 00:13:44
por eso lo quería hacer con ustedes 00:13:46
antes de empezar con la binomía 00:13:48
¿la habéis entendido todo bien? 00:13:51
este echarle un vistazo ¿vale? 00:13:56
os estoy subiendo ejercicio 00:13:57
solucionado ¿vale? 00:13:59
tenéis unos 8 documentos 00:14:02
creo que de todo esto 00:14:04
echarle un vistazo, ¿vale? 00:14:05
Intentarle a ustedes, meted mano, porque esto al final 00:14:07
verlo aquí es muy fácil, pero tenéis que meterle mano 00:14:09
a ustedes. Y tenéis ejercicio 00:14:11
hecho. Yo creo que no hay ninguna errata, ¿vale? 00:14:13
Pero 00:14:16
si hay, me lo decís, ¿vale? 00:14:16
¿Puedo pasar? 00:14:20
Venga. Este ejercicio 00:14:22
de aquí, este ejercicio de aquí me 00:14:24
interesa, aunque es un poco 00:14:25
largo, no sé si voy a hacer todo, porque vamos 00:14:27
de tiempo un poco fatal, ¿vale? Pero sí me interesa 00:14:29
mucho que lo veáis, ¿no? 00:14:31
yo tengo dos urnas 00:14:32
¿vale? tengo la urna A y la urna B 00:14:36
¿qué ocurre con la urna A? que tengo 00:14:37
dos bolas rojas y una bola negra 00:14:39
¿vale? y ¿qué ocurre en la urna B? 00:14:41
perdón, que tengo una roja 00:14:44
y dos negras, ¿vale? 00:14:46
entonces, ¿qué es lo que me dice este? 00:14:48
que removemos, ¿vale? como cuando son 00:14:49
la Champions y demás 00:14:51
removemos 00:14:53
son bolas calientes, una perra 00:14:54
entonces removemos 00:14:57
se me ha ido la olla 00:15:00
entonces yo extraigo 00:15:03
al azar una bola de la urna A 00:15:05
¿vale? yo saco una bola 00:15:07
de la urna A, la miro 00:15:09
y ahora la pongo en la urna B 00:15:11
¿de acuerdo? entonces evidentemente 00:15:13
la extracción de la urna B 00:15:15
es independiente de la urna A 00:15:17
¿la extracción segunda es independiente 00:15:20
de la primera? no, ¿sí o no? 00:15:22
no lo es, ¿vale? no lo es 00:15:23
entonces ¿qué es lo que ocurre chavales? 00:15:25
aquí lo suyo es acción diagramita de árbol 00:15:27
Entonces, si yo estoy al principio de todo y extraigo una bola de la urna A, ¿qué me puede ocurrir? ¿Qué me puede ocurrir al extraer una bola de la urna A? Que salga colorada, ¿verdad? La probabilidad de rojo, ¿vale? La probabilidad de rojo o que me salga negra, ¿vale? ¿Cuál es la probabilidad de rojo en la urna A, chavales? 00:15:29
Dos tercios. 00:15:55
Ay, hostia, voy a un ejercicio, me cago en la madre que parió. 00:15:56
Y un tercio. 00:15:59
¿Vale, chavales? 00:16:01
¿Sí? 00:16:02
¿Sí? 00:16:03
¿Sí? 00:16:04
¿Sí? 00:16:05
Vale. 00:16:05
Entonces, ¿qué ocurre ahora? 00:16:06
Si yo estoy aquí, en este punto de aquí, fijaros que mi urna B, mi urna B, ¿vale? 00:16:08
Esta roja la meto en la B. 00:16:17
¿Lo veis, chavales? 00:16:19
¿Sí o no? 00:16:21
Entonces, ¿qué tengo? 00:16:23
2 rojas y 2 negras, ¿vale? Eso lo ve todo el mundo y si yo estoy aquí en este punto, ¿vale? Resulta que mi urna B pasa a tener una bola roja pero 3 negras, ¿vale? Y ya, luego se lo cuenta, ¿vale? 00:16:24
Entonces, ¿qué es lo que ocurre? Yo lo que hago es extraigo una bola de A y la meto en B. Por lo tanto, las condiciones de la urna B dependen completamente de la urna A, ¿vale? 00:16:41
Entonces, ¿qué puede ocurrir cuando yo traigo una bola de la urna B en el caso de que yo haya sacado una roja? Aquí voy a poner R1 y N1, ¿vale? R1 y N1. Entonces, esto de aquí es la probabilidad de sacar una bola roja en la segunda extracción sabiendo que yo he sacado una roja en la primera, ¿vale? 00:16:56
Fijaros la anotación. Si yo estoy aquí en la primera rama, es la probabilidad de sacar una bola roja en la segunda bola, habiendo sacado una roja en la primera, ¿vale? 00:17:20
¿Y esta qué probabilidad es ella, vale? Un medio, ¿vale? 00:17:31
Y si estoy aquí, es porque Jesús, la primera es roja y la segunda es roja también, ¿vale? 00:17:37
Y esto de aquí es la probabilidad de que la primera sea roja multiplicada por la probabilidad de sacar una bola roja en la segunda extracción sabiendo que la primera extracción ha sido roja, ¿vale? 00:17:46
Y esto es que es igual. Como estoy recorriendo la rama, yo multiplico, ¿vale? Multiplico. Y esto es dos tercios por un medio. Esto es igual a un tercio, ¿vale, chavales? 00:18:02
Y ahora que ocurre aquí, que esto sería la probabilidad de sacar una negra en la segunda extracción sabiendo que la primera es colorada y esto es igual a un medio también, ¿vale, chavales? Por lo tanto, esta probabilidad es la primera sea roja y la segunda sea negra, es decir, la probabilidad de que la primera sea roja por la probabilidad de que la segunda sea negra sabiendo que la primera es roja, te cagas, ¿vale? 00:18:14
Y entonces esto es dos tercios por un medio, esto es, chavales, un tercio también. 00:18:43
Y fijaros que si yo sumo un tercio más un tercio, ¿qué es? 00:18:49
Dos tercios, ¿no? 00:18:54
Que es precisamente la rama esta de aquí. 00:18:55
Importantísimo, chavales. 00:18:59
¿Cuánto tienen que sumar todas las ramas de un nodo? 00:19:00
Siempre uno, dos tercios más un tercio, tres tercios que es uno. 00:19:04
Aquí, ¿cuánto suman las dos ramas de este nodo? 00:19:08
Un medio más un medio es uno. 00:19:11
¿Vale? Y aquí, si estamos en esta rama, esta es la probabilidad de que la segunda sea roja sabiendo que la primera es negra. 00:19:13
Y entonces, ¿cuál es? Un cuarto, ¿verdad? Y esto es la probabilidad de que la segunda sea negra sabiendo que la primera es negra es tres cuartos. 00:19:22
¿Vale, chavales? Entonces, si yo estoy aquí, esto es la probabilidad de que la primera sea negra, que se me ha ido la olla, ¿vale? 00:19:31
Y la segunda sea roja, es decir, la probabilidad de que la primera sea negra por la probabilidad de que la segunda sea roja sabiendo que la primera es negra, ¿vale? Y esto que es un tercio por un cuarto, ¿esto cuánto es? Un doceavo, ¿vale? 00:19:39
Volvemos aquí otra vez a comprobar que un cuarto más tres cuartos, ¿cuánto hecha? ¿Vale? Cuatro cuartos y cuatro cuartos, que es un uno. 00:19:59
Y si ya estoy en la rama final, esto es la probabilidad de que la primera sea negra y la segunda sea negra. 00:20:07
Es decir, es la multiplicación de la probabilidad de que la primera sea negra por la probabilidad condicionada de que la segunda sea negra sabiendo que la primera es negra, ¿vale? 00:20:15
Y siempre es igual, ¿vale? Entonces esto es un tercio por tres cuartos. ¿Y esto cuánto es, chavales? Esto es, esto es carnaval, esto es un cuarto, ¿vale? 00:20:26
Si yo no reduzco, fijaros, si yo no reduzco, esto es, ah, bueno, dos sextos, tengo doce avos. Bueno, el caso es que si yo sumo todo esto, ¿vale? Me tiene que dar, chavales, un uno, ¿vale? Si sumo estas cuatro, si no, malagueña. ¿Vale, chavales? Sí. 00:20:42
Entonces, yo ya puedo contestar todo esto de aquí, ¿lo veis? 00:21:01
Y aquí, sí, bueno, no, esto de aquí, ¿qué es? 00:21:07
En el A, me dice la probabilidad de que la primera sea roja y la segunda sea roja 00:21:11
Y eso que hecha, ¿vale? Esto de aquí, ¿lo veis? 00:21:20
¿Sí o no? Es un tercio 00:21:24
Luego, la probabilidad de que la segunda sea roja, sabiendo que la primera es roja, ¿vale? 00:21:26
Esto de aquí es esto, ¿vale? 00:21:38
Los veis todos, ¿no? 00:21:41
Y eso de aquí, ¿qué era, chavales? 00:21:43
Pues precisamente esto, ¿vale? 00:21:45
Es un medio. 00:21:48
¿Alguien se me ha perdido? 00:21:51
Jimena, ¿estás con esto o estás con otra asignatura aquí ya? 00:21:53
Porque entonces me voy a cabrear. 00:21:56
Ah, vale. 00:21:58
La primera sea negra y la segunda sea roja, ¿vale? 00:21:58
Entonces, que la primera sea negra y la segunda sea roja es un doceavo. 00:22:06
La probabilidad, el B, la probabilidad de que la segunda sea roja, condicionada a que la primera sea negra, es precisamente una rama. 00:22:13
¿Lo veis? 00:22:23
Entonces, ¿qué es? Un cuarto. 00:22:24
¿Vale? 00:22:28
Y ahora esta sí que me interesa. 00:22:29
La probabilidad de que la segunda sea roja. 00:22:31
Vale, ¿cuál es la probabilidad de que la segunda sea roja? 00:22:36
Estoy aquí. 00:22:40
¿Cuál es la probabilidad? 00:22:41
De las dos, ¿qué? 00:22:43
Perdona. 00:22:48
Si yo voy por aquí, la segunda es colorada, me quedo con ella. 00:22:51
Si yo voy por aquí, la segunda es colorada, Natilla. 00:22:55
Por aquí también. 00:22:58
Entonces, es la suma de estas dos. 00:22:59
Es la suma de estas dos. 00:23:01
cuando yo voy por una rama 00:23:02
multiplico, y eso es súper importante 00:23:04
¿vale? si yo voy de esta rama 00:23:07
por esta rama, para llegar a este 00:23:08
nodo, tengo que multiplicar 00:23:10
esta por esta, pero cuando 00:23:12
yo voy por una rama primero 00:23:14
y otra rama segunda, pues 00:23:16
sumo este nodo de aquí 00:23:18
más este nodo de aquí, ¿vale chavales? 00:23:20
¿sí o no? 00:23:24
¿sí o no? 00:23:25
entonces 00:23:28
esta vez que sea 00:23:28
La otra roja la voy a poner aquí, ¿vale? La voy a poner negro como mi futuro. La probabilidad de que la segunda sea roja es la probabilidad esta de aquí de que la primera sea colorada y la segunda sea roja, más la probabilidad de que la primera sea negra y la segunda sea roja. 00:23:30
Es decir, esto de aquí y esto de aquí. 00:23:53
Por lo tanto, tengo el 1 tercio y le tengo que sumar el 1 doceavo, ¿vale? 00:23:58
Esto es 4 doceavos más 1 doceavo, 5 doceavos, ¿vale? 00:24:05
Si no tenemos tortura con las fracciones, pues calculeiros. 00:24:13
¿Vale, chavales? ¿Sí o no? 00:24:17
Y ahora, aquí el C. A ver si me cupiese aquí. Esto sería la probabilidad de que la segunda sea negra, ¿verdad? Pues ahora, ¿qué ocurre? Pues precisamente tengo que sumar las otras dos ramas que me faltan. ¿Lo veis? Tengo que sumar las dos ramas que me faltan. 00:24:18
Entonces, esto es la probabilidad de que la primera sea roja y la segunda sea negra, más la probabilidad de que la segunda sea roja y negra la segunda. 00:24:39
Es decir, un tercio más un cuarto, esto es siete doceavos. 00:24:53
Si os fijáis, estos sucesos, ¿cómo son entre ellos? 00:24:59
¿Cómo son estos dos sucesos? 00:25:03
Contrario. 00:25:06
¿vale? ¿por qué? porque la segunda 00:25:07
o me sale colorada o me sale negra 00:25:10
¿vale? por lo tanto 00:25:12
tienen que sumar cuando dos sucesos 00:25:14
complementarios ¿cuánto suman? 00:25:16
uno ¿vale chavales? 00:25:18
luego ya la última 00:25:22
que es esta de aquí 00:25:24
¿vale? la voy a hacer aquí 00:25:26
perdona el desorden un poco 00:25:28
la probabilidad de que 00:25:30
la primera sea negra condicionada 00:25:32
a que la segunda sea roja 00:25:34
esto aquí donde lo tenemos 00:25:37
chavales, por eso, Carla 00:25:38
aquí me interesa 00:25:41
mucho que pongáis esta anotación 00:25:42
porque si tú ya 00:25:44
te familiarizas con esta anotación 00:25:47
de aquí 00:25:48
pero la verdad es que te va a agobiar más 00:25:49
no hacerlo bien 00:25:56
esto es que es común para todos 00:25:57
los árboles, ¿vale? 00:26:02
esto es común para todos los árboles, entonces yo mientras 00:26:04
Para antes os acostumbréis a esta anotación, mucho más fácil, ¿vale? 00:26:06
Entonces, ¿qué ocurre? 00:26:10
Si te das cuenta, yo ya lo tengo todo aquí. 00:26:11
¿Y con cuál me quedaría, chavales? 00:26:13
Con esta, ¿lo veis? 00:26:15
Con esto de aquí, que es un cuarto. 00:26:18
¿Al revés? 00:26:23
Sí, sí, sí, sí, sí, se me ha ido la olla. 00:26:25
Vale, esto es N1. 00:26:28
¡Ay, esta es Valle, entonces! 00:26:32
¡Anda, coño! 00:26:34
vale, de que la primera, vale, vale 00:26:35
uff, esta la voy a hacer aquí, vale 00:26:38
perdona, si te das cuenta 00:26:40
esto de ahí va, si te das cuenta yo esto 00:26:42
aquí no lo tengo en ningún lado, ¿lo veis? 00:26:44
¿por qué? porque yo lo primero que sé 00:26:46
esto es la de a posteriori 00:26:48
entonces, chavales 00:26:50
¿qué ocurre? 00:26:51
esto era la probabilidad 00:26:54
de que 00:26:56
sabiendo que la segunda es color A 00:26:57
la primera 00:27:00
sea negra, ¿y esto qué es? 00:27:02
Esto es a posteriori, porque yo lo primero que sé, lo primero que sé que es la urna de la bola, perdón, la bola de la urna primera, ¿vale? 00:27:04
Sin embargo, aquí yo lo me dice, sabiendo que la segunda bola es colora, ¿qué probabilidad hay de que la primera sea negra? 00:27:16
Entonces, aquí aplicamos el teorema de Valles, ¿vale? Valles para el portero Orbeti, ¿vale? Es con B y con Y, que luego me lo encuentro Valles, como lo de Cataluña, ¿vale? Del Valles. No, no, es Valles, ¿eh? B, Y, sin acento. Es que luego me encuentro de todo, ¿vale? 00:27:25
Entonces, esto aquí, precisamente lo que tengo que hacer, chavales, es la definición, y la definición, ¿qué era? La probabilidad de la intersección de los dos partido la probabilidad del de abajo. 00:27:43
Y ahora sí, esto de aquí, ¿qué es? Esto de aquí, N1 y R2, es N1 y R2, es esto. ¿Lo veis? Que es un doceavo. Esto es 1 partido de 12. Y la probabilidad de R2, que la hemos calculado aquí, es 5 partido de 12. Por lo tanto, esto es un quinto. 00:27:59
¿Vale? Es este ejercicio 00:28:24
Y el anterior 00:28:28
Canelita 00:28:29
Estos son súper completos 00:28:31
Dime hijo 00:28:34
Yo te piden sacar por lo menos 00:28:34
Al menos una roja 00:28:36
Si me piden sacar, muy bien 00:28:38
Es que allí hablé con Rodrigo 00:28:42
Y yo mañana me hace esta pregunta 00:28:44
La probabilidad, ¿vale? De que al menos 00:28:45
Una roja, muy bien 00:28:48
Al menos 00:28:49
Una bola roja 00:28:51
¿Vale? Entonces, fijaros 00:28:53
De mis cuatro ramas, ¿cuáles cumplen de que al menos hay una roja? Pues este de aquí, ¿verdad? La primera rama, la segunda rama y la tercera. La que no cumple es esta de aquí. 00:28:57
Entonces, de que al menos, en este caso de aquí, ¿eh? Esto realmente, la probabilidad de que saque al menos una roja es igual a uno menos la probabilidad de que las dos sean negras, ¿verdad? ¿Sí o no? 00:29:13
¿Vale? Entonces 00:29:31
Puedo sumar estas tres 00:29:34
Puedo sumar estas tres, que no hay ningún problema 00:29:36
Pero normalmente, aquí porque tenemos 00:29:38
Cuatro ramas, si yo aquí tuviera 00:29:40
Treinta y seis ramas 00:29:42
Imagínate que son dos dados 00:29:44
¿Vale? Treinta y seis 00:29:45
Porque, imaginaos 00:29:47
Tenéis en la cabeza el árbol 00:29:50
De dos tiradas de dados 00:29:52
Dos tiradas de dados, tengo treinta y seis 00:29:53
Ramas, ¿vale? Y entonces me pueden 00:29:56
Preguntar, ¿cuál es la probabilidad 00:29:58
de que me salga al menos un número 00:29:59
más chico que 6 00:30:02
al menos un número más chico que 6 00:30:03
tengo que sumar 35 00:30:06
ramas 00:30:08
entonces eso es lo mismo que uno menos la 00:30:09
probabilidad de no 00:30:12
de no sacar 00:30:13
de sacar 2 6 00:30:14
¿vale? ¿sí? 00:30:17
entonces por eso en este caso 00:30:20
como son 4 ramas 00:30:21
a lo mejor es más fácil 00:30:24
sumar estos 3 pero lo que 00:30:26
Y quiero que os veáis que cuando no siempre tenemos árboles tan apañados, ¿vale? 00:30:28
Cuando tenemos ahí mogollón de ramas, como es, por ejemplo, dos tiradas de dados, 00:30:32
que tenemos 36 ramas, es más fácil hacer este complementario, ¿vale? 00:30:38
Que me da exactamente igual. 00:30:44
Entonces, esto es uno menos un cuarto. 00:30:46
¿Lo veis? Uno menos un cuarto. 00:30:50
¿Y esto qué es? Tres cuartos. 00:30:52
¿Vale, chavales? 00:30:54
Que también esto se puede hacer como 00:30:56
La probabilidad de que la primera sea roja y la segunda sea roja 00:30:59
Más la probabilidad de que la primera sea negra y la segunda sea roja 00:31:05
Más la probabilidad de que la primera sea roja y la segunda sea negra 00:31:10
¿Vale? 00:31:17
Entonces, ¿qué ocurre? 00:31:18
Pues que tengo la suma de estas tres 00:31:20
¿Vale? 00:31:22
Esto es un tercio más un doceavo más un tercio. Esto que es cuatro doceavos más un doceavo más cuatro doceavos. Esto es nueve doceavos, que es tres cuartos. ¿Vale, chavales? Entonces, aquí tenemos cuatro ramitas, pero imaginaros que tenéis unas altas ramas, ¿vale? 00:31:23
En el momento que yo ya tenga, por ejemplo, 00:31:45
imaginaos que en vez de dos colores hay tres, 00:31:47
¿cuántas ramas voy a tener? 00:31:49
En vez de tener dos colores de bola, 00:31:55
¿tengo tres? 00:31:58
¿Nueve? 00:31:59
¿Lo veis? 00:32:01
Entonces, si hay, por ejemplo, 00:32:02
imaginaos que es roja, verde, por supuesto, y negra, ¿vale? 00:32:03
Entonces, si me dice, al menos saca una bola verde, 00:32:07
pues entonces lo suyo sería, en vez de sumar ocho ramas, 00:32:11
en vez de sumar ocho ramas, bueno, ocho ramas no, 00:32:15
porque si saco una de las dos 00:32:17
ahí habría que verlo, ¿vale? 00:32:20
Ahí habría que verlo. Ahí ¿sabes lo que pasa? 00:32:21
Que no, ahí, por ejemplo, es más 00:32:24
complicado. ¿Por qué? Porque no es 00:32:25
dicotómico. Aquí esto es dicotómico. 00:32:28
O es colorado o es 00:32:30
negra, ¿vale? 00:32:32
¿Vale? Una cosa es que me 00:32:34
preguntaran 00:32:35
si no, es que ahí a 6 y a 3 00:32:36
ya no es dicotómico, ¿vale? 00:32:39
En 5 casos. 00:32:42
En ese 5 no me acuerdo, ahora lo tendría que hacer. 00:32:43
¿Vale? 00:32:45
Pero más o menos, chavales, ¿sí o no? Vale, este apartado de aquí ya es de una binomial, ¿vale? De una binomial. Entonces, lo que yo quiero que veáis de aquí, ¿vale? Es que muchas veces no me dan el diagrama de árbol, sino que me hablan de probabilidad, ¿vale? 00:32:46
Entonces, si leemos esto, dice, dos características genéticas A y B aparecen en una especie anima con probabilidad de 0,2 y 0,3. Entonces, eso traducido a que es igual. 00:33:05
Me dicen esto de aquí. La probabilidad de A es 0,2, la probabilidad de B es 0,3. ¿Vale, chavales? Dice, sabiendo que la aparición de una de ellas es independiente de la aparición de la otra, se pide calcular la probabilidad de que un individuo elegido al azar presente ambas características. ¿Qué significa que sean independientes? 00:33:17
Efectivamente. Al ser, y esto lo tenéis que poner, al ser A y B independientes, ¿vale? 00:33:54
¿Qué ocurre? Que la probabilidad de la intersección de los dos es precisamente P de A por P de B. 00:34:04
Pero, chavales, es que esto me lo encuentro en el examen. Esto de aquí es únicamente si son independientes. 00:34:12
Si no, esto no es verdad. 00:34:18
Esto es el enunciado. Esto es el enunciado, ¿vale? 00:34:22
Entonces, ¿qué ocurre? Que esto es un puntazo. ¿Por qué? Porque la intersección, ¿vale? Esto es 0,2 por 0,3. Esto que es 0,06. ¿Vale? Un poco más y es igual. 00:34:25
Entonces, ¿qué es lo que ocurre con el A? 00:34:41
El A que me dice la probabilidad de que un individuo elegido al Aza presente ambas características. 00:34:43
Si presenta ambas características, ¿qué es? 00:34:50
¿La unión o la intercesión? 00:34:53
La intercesión. 00:34:56
¿Vale? 00:34:58
Entonces, precisamente en el A lo que me están pidiendo es que presente tanto A como B. 00:34:58
Esto ya lo hemos calculado aquí. 00:35:04
¿Lo veis? 00:35:06
¿Sí? 00:35:07
Que es 0,06. 00:35:07
Medio puntito de examen. Orgánmico. ¿Sí o no? Solamente con saber que son independientes y qué implica el ser independiente. Medio puntito de examen. No he tardado ni un minuto. ¿Vale? 00:35:10
Y aquí la gente mucha erra, mucha erra, porque no sabe meterle mano, ¿vale? Entonces, por favor, si son independientes, la intersección es la probabilidad de los dos. Venga, la B. La probabilidad de que no presente ninguna de las dos. ¿Esto qué es? ¿Morgan? 00:35:26
esto es 00:35:48
realmente me preguntan esto, ¿verdad? 00:35:56
¿sí o no? 00:35:59
y esto tú me dices 00:36:01
que es uno menos la probabilidad 00:36:02
de A intersección 00:36:04
B intersección 00:36:06
todo ello negado, ¿no? 00:36:08
la multiplicación de A negado por B negado 00:36:09
¿cómo? 00:36:21
¿esto de aquí a qué es igual? 00:36:24
esto es igual a la probabilidad de A negado 00:36:25
por probabilidad de B negado 00:36:28
no sabes si son independientes 00:36:29
los negados 00:36:33
¿vale? no sabes si son independientes los negados 00:36:34
tú sabes que A y B son independientes 00:36:39
pero A y B 00:36:43
negado en principio no sabes si son independientes 00:36:44
que lo mismo lo son pero no 00:36:47
lo sabes 00:36:49
eso si me cuadra más 00:36:49
pero aquí 00:36:55
vamos a ver si es verdad eso 00:36:58
mi primera intuición es que me lleva 00:37:00
a pensar igual que Jimena 00:37:02
pero si yo aplico 00:37:04
definiciones esto es igual 00:37:05
que esto ¿verdad? 00:37:08
Y esto de aquí que es 1 menos la probabilidad de A unión la probabilidad de B. 00:37:08
¿Sí o no? 00:37:16
¿Sí? ¿Estáis conmigo o no? 00:37:18
¿Y cómo es la probabilidad de A unión B? 00:37:20
Pues esto es igual a la probabilidad de A más la probabilidad de B menos la probabilidad de la intersección. 00:37:23
¿Vale? 00:37:35
Entonces, lo que yo quiero que veáis, chavales, Carla, 00:37:36
lo que yo quiero que veáis, chavales, es que, por ejemplo, 00:37:40
yo de primera hora, que lo mismo es verdad, 00:37:42
pero a mí lo primera hora yo veo esto, 00:37:45
me voy a pensar como ha pensado Jimena, 00:37:48
de que esto de aquí es 1 menos 0, 0, 6. 00:37:50
Pero yo no estoy seguro. 00:37:54
Lo que sí yo sí que estoy seguro 00:37:55
es que esto de aquí es 1 menos la probabilidad 00:37:57
de todo ello negado, ¿vale? 00:38:00
Porque son complementarios. 00:38:02
Y aquí aplicando la ley de Morgan, 00:38:04
Aquí siempre indica ley de Morgan, ¿vale? Ley de Morgan. Entonces, el negado del negado de A, que es A, la intersección se convierte en unión, y el negado del negado de B es este B. 00:38:05
Y la inunión, que esto es otra fórmula que tenemos que saber llamar, que yo creo que es bastante intuitiva, es A más B menos la intersección, porque si no estamos contando dos veces la intersección, ¿vale? 00:38:22
¿Esto qué ocurre? 00:38:35
Esto sí sabemos todo, ¿no? 00:38:37
Esto es 0,2 más 0,3 menos 0,06. 00:38:39
Pues Jimena, no es verdad lo que tú dices, 00:38:44
pero yo hubiera pensado igual que tú. 00:38:48
Me gusta tu forma de pensar. 00:38:50
¿Vale? 00:38:52
Esto de aquí me he equivocado, sí. 00:38:54
0,44. 00:38:56
¿Vale, chavales? 00:38:58
Entonces, ¿qué ocurre? 00:38:59
Que yo a esto de aquí lo sustituyo 00:39:00
y es 1 menos 0.44, esto es 0.56. 00:39:02
Pero, Jimena, ya te digo yo, mi primera idea es hacer lo que tú me has dicho. 00:39:08
Entonces, si os sabéis la teoría matemática, la teoría matemática no falla. 00:39:13
Si tú hubieras dicho aquí 1 menos 0.06, te comes un mojón, pierdes medio punto. 00:39:21
¿Vale? ¿Sí? 00:39:27
Y esto de aquí, chavales, ¿qué significa? De que presente solamente una de ellas. 00:39:28
Presente a, intercepción de negado, y que presente a negado, intercepción de negado. 00:39:44
Eso es. ¿Habéis escuchado a Gallito o no? 00:39:51
La probabilidad de que solamente presente una de ellas, ¿sí? 00:39:55
Es, realmente, vale, de que presente una de ellas que, fíjate, 00:40:01
esto con los diagramas de Venn es un puntazo, ¿no? 00:40:15
Porque yo tengo mi A y mi B. 00:40:18
Y este es el shosho que es la unión, ¿vale? 00:40:22
Entonces, ¿qué ocurre? Que si yo estoy aquí, lo cumplo, ¿verdad? Si yo estoy aquí, lo cumplo. Pero si yo estoy aquí, no porque tengo las dos, ¿vale? Entonces, esto realmente lo que me piden es la probabilidad de A unión B menos la probabilidad de la intersección, ¿vale? 00:40:24
Vamos a ver si es verdad tu razonamiento, ¿vale? Pero realmente lo que me piden es esto de aquí. Todo el mundo ve haciendo... Sí, es lo que me dice es la probabilidad de que sea solo uno, ¿vale? O A o B, ¿vale? Es realmente la probabilidad de que tenga A intersección B negado. 00:40:49
Claro, la intersección. Fijaros, ya, es que no es la primera vez, pero espero que sea la última. La probabilidad de A intersección B negado, si os fijáis, ¿qué es esto de aquí? ¿Esto lo veis todos qué es esto de aquí? ¿La intersección de A con el B negado? 00:41:15
Efectivamente 00:41:39
Más la probabilidad 00:41:41
De que sea B intersección 00:41:43
A negado 00:41:46
Esto es lo que me ha dicho 00:41:47
Gallito 00:41:48
¿Vale? Pero que en el fondo 00:41:50
Lo que es esto de aquí 00:41:53
Precisamente es 00:41:55
Lo mismo que esto 00:41:57
Entonces si sabéis manejar los diagramas de B 00:41:58
Que sería un detalle 00:42:01
Que lo supierais 00:42:03
Se saca también 00:42:03
¿Qué es lo que ocurre? 00:42:05
yo esto de aquí no sé si tengo datos 00:42:08
para saberlo 00:42:11
¿sabes la probabilidad condicionada? 00:42:12
eso no era una 00:42:19
probabilidad de A 00:42:20
la probabilidad de la intersección 00:42:21
que la intersección la tiene 00:42:23
es una simulación 00:42:25
esto es lo de la diferencia 00:42:27
no me jodas que no me ha dado la binomia 00:42:28
esto de aquí es la probabilidad 00:42:30
de A 00:42:34
espérate, esto es 00:42:36
claro, esto es la probabilidad de A 00:42:39
menos la probabilidad de la intersección 00:42:47
efectivamente 00:42:48
si la sé, ¿verdad? 00:42:49
y esto de aquí es la probabilidad 00:42:52
de B menos la probabilidad 00:42:55
de la intersección también 00:42:57
y si la sumo 00:42:58
¡guau! 00:43:02
claro, en el fondo es 00:43:03
probabilidad de A más probabilidad 00:43:04
de B menos dos veces 00:43:07
esto, claro, aquí 00:43:09
Y fíjate, sí, sí, efectivamente, fíjate. 00:43:13
Esto de aquí, ¿qué es? 00:43:15
Muy bien, gallito, muy bien. 00:43:16
P de A más P de B menos, sale exactamente lo mismo, ¿eh? 00:43:18
A unión B, esto de aquí. 00:43:22
Ahora le tengo que restar otra vez a nuestro link de sección, perdón. 00:43:24
Muy bien, gallito. 00:43:31
Muy bien, copetín. 00:43:33
A intersección B. 00:43:37
Y aquí le tengo que restar lo mismo. 00:43:38
Por lo tanto, ¿qué tengo? Probabilidad de A más probabilidad de B menos dos veces la probabilidad de A intersección B. Efectivamente, me sale lo mismo. 00:43:40
chavales, me hacéis un favor 00:43:52
os podéis mirar para el lunes 00:43:54
los apuntes que hay subido 00:43:57
en el aula virtual de las distribuciones 00:44:00
de la unidad 15 00:44:03
son 30 hojas 00:44:07
pero mirad 00:44:09
esto de aquí ya es binomial 00:44:10
entonces el lunes 00:44:15
tenemos que ir a hierro con la binomial 00:44:17
incluso empezar con la normal 00:44:19
Valoración:
  • 1
  • 2
  • 3
  • 4
  • 5
Eres el primero. Inicia sesión para valorar el vídeo.
Idioma/s:
es
Idioma/s subtítulos:
es
Materias:
Matemáticas
Niveles educativos:
▼ Mostrar / ocultar niveles
  • Bachillerato
    • Segundo Curso
Autor/es:
Roberto Aznar
Subido por:
Roberto A.
Licencia:
Reconocimiento - No comercial - Compartir igual
Visualizaciones:
5
Fecha:
20 de abril de 2026 - 11:47
Visibilidad:
Público
Centro:
IES JIMENA MENÉNDEZ PIDAL
Duración:
44′ 25″
Relación de aspecto:
1.97:1
Resolución:
1024x520 píxeles
Tamaño:
92.43 MBytes

Del mismo autor…

Ver más del mismo autor

Comentarios

Para publicar comentarios debes entrar con tu nombre de usuario de EducaMadrid.

Comentarios

Este vídeo todavía no tiene comentarios. Sé el primero en comentar.



EducaMadrid, Plataforma Educativa de la Comunidad de Madrid

Plataforma Educativa EducaMadrid