Saltar navegación

Activa JavaScript para disfrutar de los vídeos de la Mediateca.

Suma y resta de polinomios - Contenido educativo

Ajuste de pantalla

El ajuste de pantalla se aprecia al ver el vídeo en pantalla completa. Elige la presentación que más te guste:

Subido el 24 de marzo de 2021 por Yolanda P.

108 visualizaciones

Descargar la transcripción

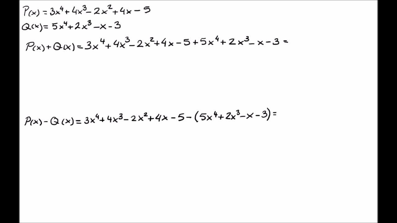
sumas y restas de polinomios. Hemos dicho que un polinomio está formado por monomios que están 00:00:01
unidos por la suma y la resta. Si nos fijamos en este primer polinomio que hemos llamado P, 00:00:10
vemos que está formado por 1, 2, 3, 4 y 5 monomios. No podemos sumarlos. ¿Por qué? Porque si nos 00:00:17
fijamos, las partes literales son diferentes, por eso las tenemos separadas, están unidos por la suma 00:00:28
o la resta, pero no podemos sumar todos estos monomios en uno solo, porque la parte literal 00:00:38
no es exactamente igual. Como no podemos hacerlo, por eso cuando sumamos dos polinomios tampoco lo 00:00:45
vamos a hacer y tampoco vamos a obtener un único número o un único monomio final. Vamos a ver cómo 00:00:57
lo tenemos que hacer. Cogemos el polinomio P y le tenemos aquí, le hemos puesto ahí y ahora le vamos 00:01:05
a sumar el Q. Le tengo aquí y se lo añade, ¿vale? Una vez que hemos hecho eso, lo que tenemos que ir 00:01:15
es buscando monomios que tengan la misma parte literal. 00:01:24
Bueno, el primero que nos aparece es 3x a la cuarta. 00:01:32
Así que lo que vamos a buscar es el resto de monomios que sean x a la cuarta. 00:01:37
Aquí tenemos 4x a la 3. 00:01:44
No nos vale menos 2x a la 2 tampoco, más 4x, menos 5. 00:01:46
Y aquí es donde hemos llegado a otro monomio que tiene exactamente la misma parte literal. 00:01:51
Estos son los que nosotros podemos sumar. 00:01:59
Así que 3 más 5, 8x a la cuarta. 00:02:07
Ya no tengo más monomios con x a la cuarta, así que pasamos al siguiente. 00:02:17
El siguiente que tengo es más 4x3. 00:02:24
Vamos a ir buscando un monomio con esa parte literal, este es x al cuadrado, x no tiene, x al cubo, este sí y si seguimos mirando ya no tengo más, así que vamos a sumar 4x al cubo más 2x al cubo y eso nos da más 6x al cubo. 00:02:27
Como no tenemos más, pasamos al siguiente. ¿Cuál es el siguiente? Menos 2x al cuadrado. Si seguimos buscando, no tengo más monomios con esa parte literal, así que copiamos este que tenemos aquí. 00:02:54
menos 2x al cuadrado. Vamos al siguiente, ahora tenemos 4x, buscamos el que tenga x y aquí tenemos 00:03:14
menos x, recordemos que este coeficiente es un 1, así que 4x menos una x me quedan 3x y ahora ya 00:03:28
solo nos quedan los números menos 5 menos 3 menos 8 recordemos que los números son monomios cuya 00:03:44
parte literal es x elevado a 0 nuestro resultado final es este este es nuestro resultado y yo ya 00:03:58
no puedo hacer nada más porque yo no puedo sumar 8x a la cuarta con 6x al cubo ni con ningún otro 00:04:07
un monomio. Este es nuestro resultado, nuestra solución. Con la resta me va a pasar exactamente 00:04:14
lo mismo. Voy a coger mis dos polinomios, me dice que coja el polinomio p, que va desde 3x a la 00:04:22
cuarta hasta menos 5 y que a este le reste, hemos puesto menos, el polinomio q. Ahora lo que tenemos 00:04:33
que acordarnos es que cuando yo tengo un menos delante de un paréntesis, este menos de aquí me 00:04:48
va a cambiar todo el signo de lo que venga detrás, porque esto es menos 5x a la cuarta, menos más se 00:05:02
convierte en menos y así, ¿vale? Y eso es lo primero que vamos a hacer. Así que lo primero es copiar 00:05:10
otra vez el polinomio p porque este no le vamos a tocar. Una vez que le hemos copiado a este no 00:05:18
hay que hacerle nada ahora vamos a coger el polinomio que tenemos dentro del paréntesis y 00:05:36
le vamos a cambiar a todos sus términos el signo. Lo que antes era positivo ahora va a ser negativo 00:05:45
Así que tengo menos 5x a la cuarta, menos, porque aquí tengo menos, menos seguido de más, recordemos que es menos 2x al cubo, menos, que hemos dicho, se va a convertir en un más, y otra vez menos 3 que se convierte en más 3. 00:05:53
Y ahora cuando ya he hecho todo este cambio hago lo mismo que he hecho antes, voy a buscar monomios que tengan exactamente la misma parte literal y haré la operación que y sumaré o restaré. 00:06:15
Tengo 3x a la cuarta, primer lugar. Vamos a buscar el que tenga x a la cuarta. Llego aquí y veo que tengo x a la cuarta. Mi monomio es todo esto. Incluye este signo, ¿vale? 00:06:35
Sigo mirando y ya no tengo más, así que 3x a la cuarta menos 5x a la cuarta, 3 menos 5 menos 2x a la cuarta. 00:06:52
Vamos a por el siguiente, tengo más 4x3, voy a buscar todos los que tengan x3 en la parte literal. 00:07:07
no tengo no tengo tampoco llegó aquí y veo que tengo menos 2 x a la 3 seguimos mirando y ya no 00:07:16
hay más así que tengo 4 x a la 3 menos 2 x a la 3 me queda más 2 x 3 ya hemos terminado con ese 00:07:26
vamos a por el siguiente menos 2 x 2 voy a buscar donde tenga x 2 veo que no tengo x al cuadrado 00:07:37
Así que pues como nos ha pasado antes lo copiamos y ya pasamos entonces al siguiente y tengo más 4x recordemos que siempre cogemos el signo de delante y más 4x más x y no tengo más monomios con parte literal x más 4x más x más 5x. 00:07:46
Y ya solo nos queda menos 5 más 3, menos 5 más 3, menos 2. 00:08:16
Y ya hemos terminado, no podemos hacer nada más. 00:08:26
No puedo juntar todo esto porque mis monomios tienen distinta parte literal. 00:08:29
El resultado de esta resta de dos polinomios es otro polinomio que es este de aquí. 00:08:34
Y con esto hemos terminado, no hay que hacer nada más. 00:08:41
Subido por:
Yolanda P.
Licencia:
Dominio público
Visualizaciones:
108
Fecha:
24 de marzo de 2021 - 20:29
Visibilidad:
URL
Centro:
IES MIGUEL DE CERVANTES
Duración:
08′ 48″
Relación de aspecto:
1.78:1
Resolución:
1280x720 píxeles
Tamaño:
28.42 MBytes

Del mismo autor…

Ver más del mismo autor


EducaMadrid, Plataforma Educativa de la Comunidad de Madrid

Plataforma Educativa EducaMadrid