Saltar navegación

Activa JavaScript para disfrutar de los vídeos de la Mediateca.

e4b trim1 examen2 ejercicio 4

Ajuste de pantalla

El ajuste de pantalla se aprecia al ver el vídeo en pantalla completa. Elige la presentación que más te guste:

Subido el 27 de noviembre de 2013 por Joan A.

19 visualizaciones

e4b trim1 examen2 ejercicio 4

Descargar la transcripción

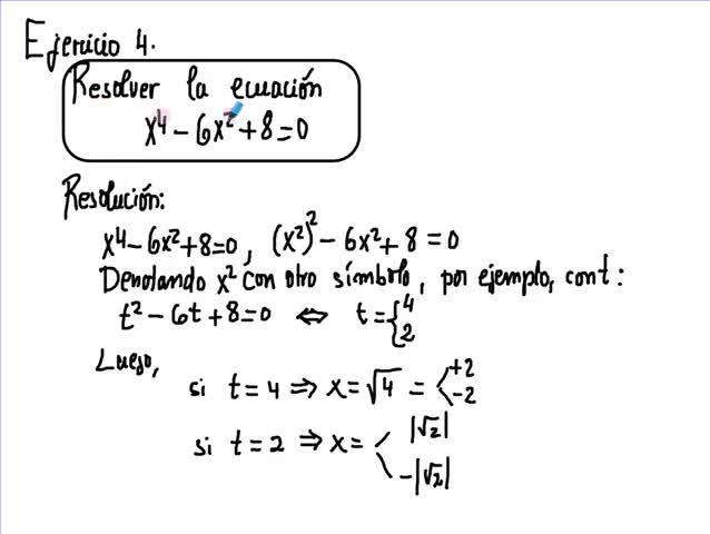
Bien, en este ejercicio número 4 resolveremos una ecuación bicuadrada, exponentes de los términos de esta ecuación, que en lugar de ser 2 y 1 es 4 y 2, y aquí tenemos el término independiente. 00:00:02
Si nos fijamos bien en cómo podemos poner eso para darnos a nosotros mismos alguna pista, alguna idea, vemos que x a la 4 se puede poner así, x a la 2 elevado a la 2. 00:00:17
Por lo tanto, esto nos sugiere que denotando x al cuadrado por otro símbolo, como por ejemplo t, podemos reescribir esta ecuación de esta forma. 00:00:31
De hecho, si esta ecuación ya la sabemos resolver, hemos conseguido transformar la ecuación original en una ecuación de segundo grado. 00:00:42
Muy fácil de resolver, tal como hemos hecho en el ejercicio anterior. 00:00:54
Pero si lo hacemos, veremos que t es igual a 4 o bien igual a 2. 00:00:59
Bien, pero aquí no hemos terminado, porque si t es igual a 4, como t es y x al cuadrado, x será la raíz cuadrada de t. 00:01:03
En este caso t es 4. Y ya sabemos que la raíz de un número positivo tiene dos valores, uno negativo y otro positivo. 00:01:12
Como 4 es un número cuadrado, la raíz de 4 es 2 o menos 2. 00:01:24
¿Cuál? 2 o menos 2 00:01:27
Lo mismo pasa si razonamos con el otro valor de t, que es 2 00:01:29
Con el otro valor de t, pues extraemos la raíz 00:01:33
Y tendremos dos valores del mismo valor absoluto, pero uno positivo y el otro negativo 00:01:38
En ese caso es la raíz de 2 00:01:46
Y menos raíz de 2 00:01:47
Por eso he puesto aquí las barras de valor absoluto, para dejarlo más claro 00:01:50
Que uno es positivo, más raíz de 2, y el otro es negativo, menos raíz de 2. 00:01:57
Fijémonos que obtenemos cuatro valores en la solución de la ecuación de cuarto grado. 00:02:03
Ya sabéis que una ecuación de grado n puede llegar a tener hasta n raíces reales. 00:02:16
Pero es posible que tenga menos, o incluso es posible que no tenga ninguna. 00:02:24
Bueno, pues aquí terminamos este ejercicio 00:02:28
Valoración:
  • 1
  • 2
  • 3
  • 4
  • 5
Eres el primero. Inicia sesión para valorar el vídeo.
Idioma/s:
es
Materias:
Matemáticas
Etiquetas:
EducaMadrid
Autor/es:
Joan Aranes Clua
Subido por:
Joan A.
Licencia:
Reconocimiento - No comercial - Compartir igual
Visualizaciones:
19
Fecha:
27 de noviembre de 2013 - 18:37
Visibilidad:
Público
Centro:
IES MIGUEL DELIBES
Duración:
02′ 33″
Relación de aspecto:
4:3 Hasta 2009 fue el estándar utilizado en la televisión PAL; muchas pantallas de ordenador y televisores usan este estándar, erróneamente llamado cuadrado, cuando en la realidad es rectangular o wide.
Resolución:
956x720 píxeles
Tamaño:
5.06 MBytes

Del mismo autor…

Ver más del mismo autor


EducaMadrid, Plataforma Educativa de la Comunidad de Madrid

Plataforma Educativa EducaMadrid