Saltar navegación

Activa JavaScript para disfrutar de los vídeos de la Mediateca.

eso3a_tr1 segundoexamen ejercicio_7

Ajuste de pantalla

El ajuste de pantalla se aprecia al ver el vídeo en pantalla completa. Elige la presentación que más te guste:

Subido el 27 de noviembre de 2013 por Joan A.

18 visualizaciones

eso3a_tr1 segundoexamen ejercicio_7

Descargar la transcripción

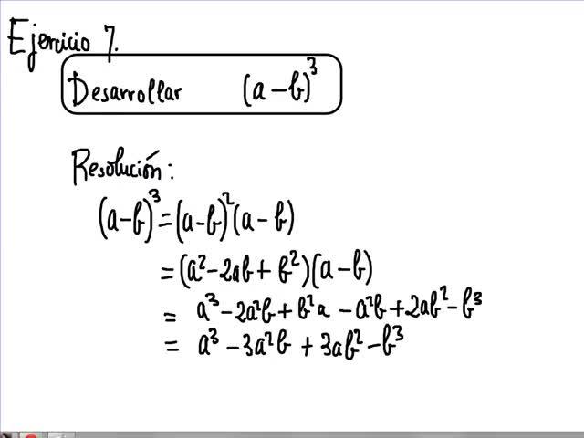
Este era el último ejercicio del examen. Se pedía desarrollar este binomio elevado al cubo. 00:00:02
El binomio elevado al cubo se puede expresar, se puede calcular, primero elevando al cuadrado y luego multiplicando por el binomio. 00:00:09
Porque claro, si esto es 1, este exponente es 1, vemos que 2 más 1 queda el exponente de la potencia que nos piden. 00:00:20
Bueno, ya sabemos por las identidades notables, para ir más rápido, que a menos b elevado al cuadrado es el cuadrado del primero, menos el doble del primero por el segundo más el cuadrado del segundo, b cuadrado, y ahora hay que multiplicar por a menos b. 00:00:34
Aplicando la propiedad distributiva de la multiplicación respecto de la suma y teniendo mucho cuidado con los signos, multiplicar por menos b y por a, tenemos que multiplicar todos por todos. 00:00:47
Nos salen seis términos que luego de agruparlos de manera que sean semejantes los que vamos a sumar, obtenemos 2a al cuadrado b menos 2a al cuadrado b con este a al cuadrado b, que también es negativo, obtenemos 3 veces a al cuadrado b. 00:01:10
Luego, este AB al cuadrado 00:01:34
Con este dos veces AB al cuadrado 00:01:38
Obtenemos tres veces AB al cuadrado 00:01:41
Y los otros dos son los términos de grado 3 00:01:42
A a la 3 y B a la 3 00:01:46
Y aquí terminamos 00:01:47
Valoración:
  • 1
  • 2
  • 3
  • 4
  • 5
Eres el primero. Inicia sesión para valorar el vídeo.
Idioma/s:
es
Etiquetas:
EducaMadrid
Autor/es:
Joan Aranes Clua
Subido por:
Joan A.
Licencia:
Reconocimiento - No comercial - Compartir igual
Visualizaciones:
18
Fecha:
27 de noviembre de 2013 - 19:16
Visibilidad:
Público
Centro:
IES MIGUEL DELIBES
Duración:
01′ 51″
Relación de aspecto:
4:3 Hasta 2009 fue el estándar utilizado en la televisión PAL; muchas pantallas de ordenador y televisores usan este estándar, erróneamente llamado cuadrado, cuando en la realidad es rectangular o wide.
Resolución:
960x720 píxeles
Tamaño:
3.53 MBytes

Del mismo autor…

Ver más del mismo autor


EducaMadrid, Plataforma Educativa de la Comunidad de Madrid

Plataforma Educativa EducaMadrid