Saltar navegación

Activa JavaScript para disfrutar de los vídeos de la Mediateca.

Ecuación Logarítmica 1 - Contenido educativo

Ajuste de pantalla

El ajuste de pantalla se aprecia al ver el vídeo en pantalla completa. Elige la presentación que más te guste:

Subido el 28 de noviembre de 2023 por Alejandro B.

31 visualizaciones

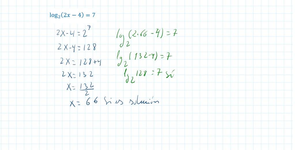
En este vídeo podrás ver cómo se resuelve una ecuación logarítmica, utilizando solamente la definición.

Descargar la transcripción

Buenas tardes, vamos a resolver esta sencilla ecuación logarítmica. 00:00:00
Como podéis observar se trata de una ecuación logarítmica porque la incógnita x está dentro del logaritmo 00:00:07
y aquí pues tenemos una ecuación en la que el primer miembro es un solo logaritmo, logaritmo en base 2 de 2 elevado a 5 menos 4 00:00:14
igual a 7, igual a un número. Entonces empieza esta ecuación pues obviamente utilizando la definición del logaritmo 00:00:23
¿Qué significa? Pues que 2x menos 4 tiene que ser igual que 2 elevado a 7 00:00:32
y entonces 2x menos 4, 2 elevado a 7 es 128, 2x igual a 128 más 4 que da lugar a 132 00:00:43
y entonces x es igual a 132 partido de 2 que da lugar a 66 00:01:06
y pues hay que comprobar que este valor pues obviamente es cierto 00:01:19
si sustituimos dentro del logaritmo logaritmo en base 2 de 2 por 66 menos 4 igual a 7 00:01:26
pues obviamente sale el logaritmo en base 2 de un número positivo porque esto es 132 menos 4 00:01:38
y esto pues sí, sí es solución 00:01:56
Bueno, es una ecuación muy sencillita con radicales, espero que os sirva de ayuda 00:02:08
Perdón, con las radicales no, con logaritmos 00:02:14
Autor/es:
Alejandro Brito Pavón
Subido por:
Alejandro B.
Licencia:
Reconocimiento - No comercial - Compartir igual
Visualizaciones:
31
Fecha:
28 de noviembre de 2023 - 18:32
Visibilidad:
Público
Centro:
IES HUMANES
Duración:
02′ 19″
Relación de aspecto:
1.97:1
Resolución:
1024x520 píxeles
Tamaño:
4.10 MBytes

Del mismo autor…

Ver más del mismo autor


EducaMadrid, Plataforma Educativa de la Comunidad de Madrid

Plataforma Educativa EducaMadrid