Saltar navegación

Activa JavaScript para disfrutar de los vídeos de la Mediateca.

2_ESO_examen_Tema_4_ejercicio 8 - Contenido educativo

Ajuste de pantalla

El ajuste de pantalla se aprecia al ver el vídeo en pantalla completa. Elige la presentación que más te guste:

Subido el 18 de febrero de 2021 por Jose S.

66 visualizaciones

Descargar la transcripción

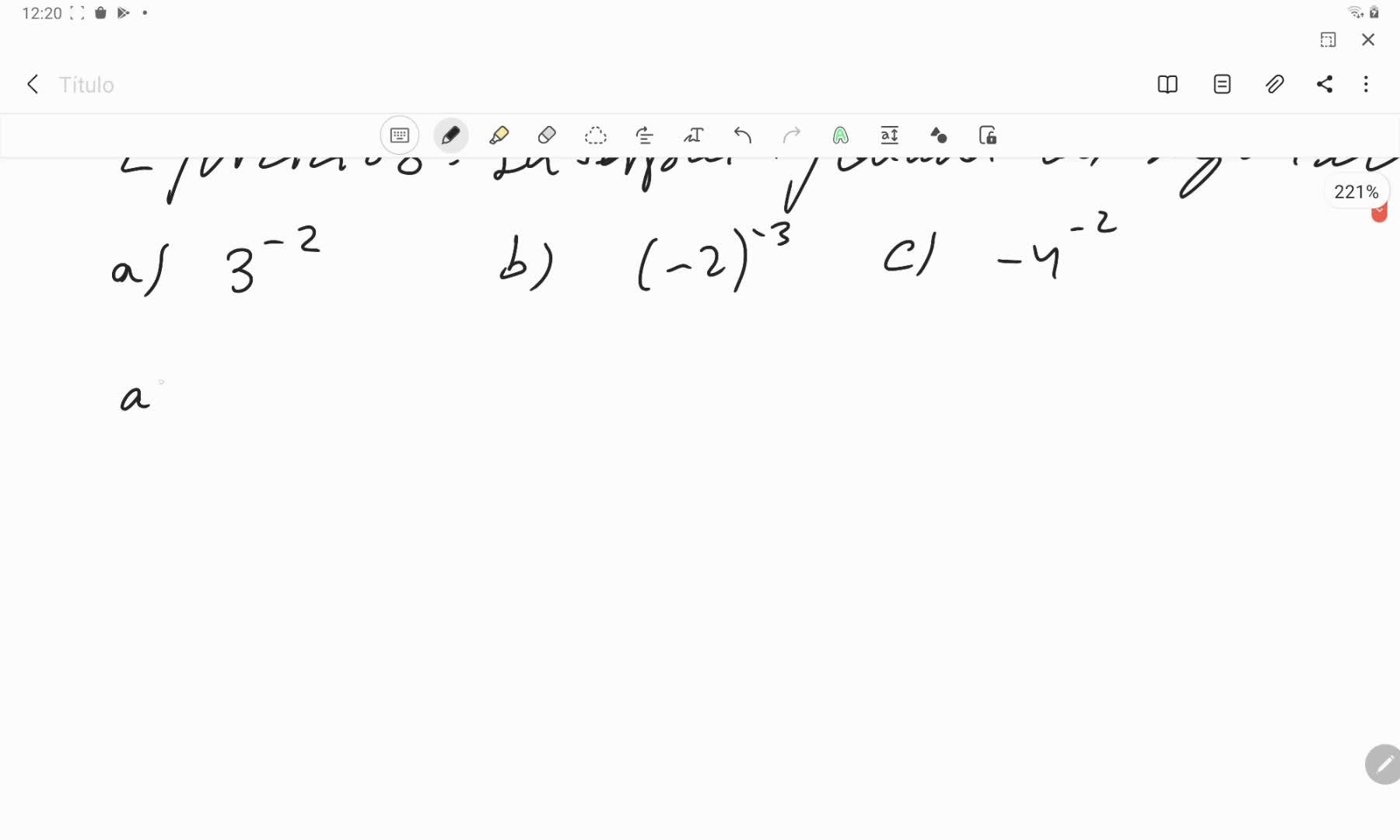
Vamos a resolver el ejercicio 8 del examen del tema 4, modalidad. 00:00:00
¿De acuerdo? Dice, interpreta y calcula las siguientes potencias. 00:00:06
Vamos a la primera, 3 elevado a menos 2. 00:00:13
Vamos a hacer este apartado, 3 elevado a menos 2. 00:00:17
Bien, ¿qué hemos visto estos días? 00:00:21
Es que la potencia de exponente negativo, ¿cómo la interpretamos? 00:00:23
Es el inverso, ¿no? Mirad, esta potencia de base fraccionaria y exponente negativo es igual a la fracción inversa, pero con el mismo exponente, pero positivo. 00:00:30
¿Se entiende o no? Esta era la cuestión. Esto es lo que te permite transformar un exponente negativo en otro positivo. 00:00:56
Por ejemplo, 3 cuartos elevado a menos 2 sería igual a 4 tercios elevado a 2. ¿Estamos de acuerdo? 00:01:02
El numerador por el denominador y el denominador por el numerador. 00:01:15
Exactamente. Mira, esta cuestión, mira, por ejemplo, en este caso, si fuera elevado a menos 1, sería igual a 4 tercios. 00:01:21
¿Quién entiende esto? A cuatro tercios porque es cuatro tercios elevado a uno, que es lo mismo que cuatro tercios. ¿Se entiende o no? Bien. ¿Qué pasa? Que basándome en esta definición, diríamos que tres elevado a menos dos, no lo puedo poner... Muy bien, por ahí va. 00:01:31
Pero quiero decir, no es una fracción, pero lo puedo poner así, que para el caso es lo mismo. ¿Sí o no? Y ahora sí que puedo cambiar el numerador por el denominador. ¿Se entiende? Y queda un noveno. ¿Sí o no? ¿Se ve la idea? ¿Se ve? 00:01:56
Es decir, vamos a hacer el apartado B, por ejemplo. Hola, Pepe. Un segundo, ¿eh? Silencio. Aquí, ¿qué tenemos? Que estoy grabando. Aquí, ¿qué tenemos? Una potencia de base negativa y exponente negativo, ¿no? 00:02:19
¿Sí o no? Entonces, fijaros, para poder aplicar este criterio que hemos aplicado antes, 00:02:47
necesitaríamos verlo como una fracción. ¿Sí o no? 00:02:54
Y ahora ya le puedes dar la vuelta. ¿Se ve la idea o no? 00:02:58
Y lo mismo aquí. Cuidado con este. ¿Qué pasa aquí? ¿Cuál es la base de esta potencia? 00:03:02
No, menos 4 no 00:03:11
La base no es menos 4 00:03:15
Porque, no, tampoco 00:03:18
El menos 2 es el exponente 00:03:20
No, es que no está entre paréntesis 00:03:21
Amigo, para que la base sea menos 4 00:03:25
Debería de estar así, ¿sí o no? 00:03:28
¿Sí o no? 00:03:32
Aquí lo que tenemos es 00:03:33
El signo menos delante 00:03:35
De la potencia 00:03:37
Esto se interpreta así 00:03:39
Y sería 00:03:40
Menos 00:03:43
Y ponemos el 1 debajo 00:03:45
¿Sí o no? 00:03:46
Un cuarto elevado a 2 00:03:48
Y ya hemos ganado 00:03:49
¿Se entiende o no? 00:03:51
¿Se entiende? 00:03:53
¿Vale o no? 00:03:56
¿El B? 00:03:59
Espera 00:04:01
Subido por:
Jose S.
Licencia:
Reconocimiento - Compartir igual
Visualizaciones:
66
Fecha:
18 de febrero de 2021 - 13:55
Visibilidad:
Público
Centro:
IES BARRIO SIMANCAS
Duración:
04′ 02″
Relación de aspecto:
1.67:1
Resolución:
1800x1080 píxeles
Tamaño:
25.55 MBytes

Del mismo autor…

Ver más del mismo autor


EducaMadrid, Plataforma Educativa de la Comunidad de Madrid

Plataforma Educativa EducaMadrid