Saltar navegación

Activa JavaScript para disfrutar de los vídeos de la Mediateca.

EJERCICIO 53 - Contenido educativo

Ajuste de pantalla

El ajuste de pantalla se aprecia al ver el vídeo en pantalla completa. Elige la presentación que más te guste:

Subido el 18 de enero de 2021 por Ana O.

74 visualizaciones

Descargar la transcripción

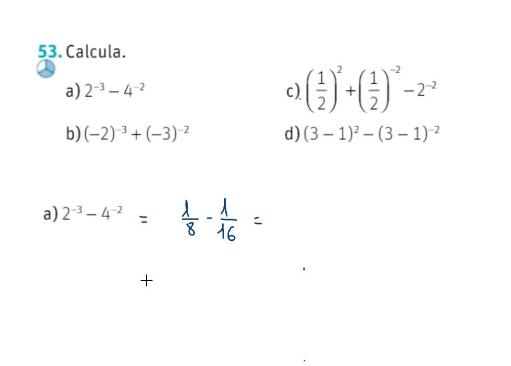
dar ahora el ejercicio 53 como hemos dicho solamente de las potencias cuando 00:00:04
las operaciones son multiplicar y dividir pero si tenemos sumas y restos 00:00:16
en este caso vamos a intentar calcular estas operaciones y acá 2 elevado a 00:00:22
menos 3 pues 2 los tres como el exponente es negativo 00:00:29
como una fracción al denominador, pero ya ponemos el exponente positivo, y eso es 1 octavo. 00:00:36
Y que es 4 elevado a 2, ponemos como exponente positivo, al denominador, y eso es 1 partido de 16. 00:00:45
Teniendo en cuenta esto, podemos hacer la recta de 1 octavo, 1 partido por 16. 00:00:57
Para poder restituir las operaciones necesitamos que tengan el mismo denominador 00:01:04
Calculamos el múltiplo de los dos, el mínimo común múltiplo que es 16 00:01:10
Porque 16 es múltiplo de 8 00:01:15
Y entonces queda un 2, aquí se queda un 1 00:01:17
Como ya tenemos el mismo denominador, tenemos 16 00:01:21
Y el múltiplo de 16 es el resultado final 00:01:25
Si quisieramos hacerlo como una potencia, una sola potencia 00:01:29
podríamos poner o bien o bien como un medio elevado a perdonar 00:01:33
y cualquiera de estas tres formas se podría escribir el resultado como 00:01:47
fracción como potencia con exponente o como potencia con exponente positivo 00:01:51
la que vosotros decidáis a no ser que sea contrario podéis elegir cualquiera 00:01:58
de las de estas tres expresiones qué pasa con el apartado de aquí en la 00:02:03
pizarra pues vamos a hacer lo mismo tenemos el mismo problema porque 00:02:10
estamos bien quiere decir que no podemos aplicar las propiedades que hemos 00:02:14
aprendido quiere decir que tenemos que calcular qué significa ponente sea 00:02:21
negativo pues que lo podemos con la misma potencia con es positivo pero en 00:02:27
el denominador es decir hemos invertido en este caso hacemos lo mismo 00:02:35
ponemos un 1 y el menos 3 lo ponemos con exponente positivo en qué pasa ahora 00:02:41
pues en este lo que tenemos es que va a ser voy a poner aparte si yo tengo 00:02:48
Si hay un exponente negativo y un exponente impar, el resultado va a ser negativo. 00:02:57
Y el número es 2 elevado al cubo, 8. 00:03:02
Con lo cual, es lo mismo poner menos 2 al cubo que poner menos 8. 00:03:07
Y vamos a poner menos 8. 00:03:13
¿Qué pasa con este otro caso? 00:03:17
En este otro caso, si yo tengo base negativa y exponente par, el resultado va a ser positivo y 3 por 3 es 9. 00:03:19
Con lo cual, es lo mismo poner esa expresión que poner un partido de 9. 00:03:29
En el caso de un exponente negativo, es preferible ponérselo a la franquicia, así, o podríamos ponerlo en el numerador. 00:03:36
Se lo voy a dejar a la fracción, calculamos el mínimo común múltiplo. 00:03:47
El mínimo común múltiplo, estas son las fracciones que tengo que sumar, es 72. 00:03:52
Aquí me quedaría 72 entre 8 es 9, y 72 entre 9 es 8. 00:04:00
¿Y qué tengo en el denominador? 00:04:09
En el numerador, menos 8. 00:04:11
Al final, el resultado que voy a obtener es negativo menos el numerador y 72 en el denominador. 00:04:17
Hemos terminado. 00:04:31
Lo vamos a hacer con la misma deflación que queda más bonito. 00:04:36
Seguimos con el 5. 00:04:41
Apartado C. 00:04:42
Y seguimos teniendo el mismo problema. 00:04:43
El problema que tenemos es que tenemos suma y resta de la cantidad y no tenemos propiedades para aplicar. 00:04:45
aplicar cual no hay más remedio que resolver en el caso de acción un medio elevado a 4 al cuadrado 00:04:52
elevamos el 1 al cuadrado y elevamos el 2 con todos los pasos un medio le ponen de negativo 00:05:00
quiere decir que vamos a invertir y que vamos a poner el menos 2 00:05:10
perdonar bueno continuamos calculó la inversa me dio por uno el 00:05:21
exponente lo pongo positivo y es un 2 el 2 elevado a menos 2 como 00:05:28
y vos ponemos lo mismo con potencia con exponente positivo en el denominador 00:05:35
operar con estas fracciones esto es un cuarto 00:05:42
esto es 4 partido por 1 menos un cuarto 00:05:47
el mínimo común múltiplo de estas fracciones es 4 00:05:53
y dividimos y luego multiplicar para calcular 00:06:02
cuál es el correspondiente el color que quede más bonito pues 00:06:07
entonces tenemos es que aquí me queda un 1 4 4 4 16 4 dividido entre 4 00:06:15
y nos queda denominador y 1 más 16 menos 1 sigue quedando 16 00:06:25
a la hora de simplificar al 16 dividido entre 4 00:06:33
es igual a 4 lo siento madre mía 00:06:37
bueno pues continuamos con el 53 apartado d 00:06:45
tenemos potencias pero aparecen restas y sum restas en este caso con lo cual 00:06:52
aplicar propiedades de las potencias que sólo tenemos propiedades con la 00:06:58
multiplicación y con la y siempre que se repita algo siempre que se repita o la 00:07:02
base o vamos entonces a hacer operaciones que 00:07:08
lo único que nos queda estamos resolviendo cuánto nos da este 00:07:12
país y el paréntesis 3-1 elevado al cuadrado 00:07:17
Resolvemos el paréntesis, 3 menos 1, 2 elevado a menos 4, 2 elevado al cuadrado es 4, esto es negativo, con lo cual escribimos 1 y la misma potencia con el positivo en el denominador, nos queda 4 menos 1 cuarto. 00:07:26
Para poder operar, pasamos a fracción, calculamos el número como múltiplo y ahora, como siempre, dividir y multiplicar para calcular el correspondiente numerador. 00:07:44
4 por 4 es 16 y 4 dividido por 4 es 1 y nos queda como está. 00:08:01
Denominadores 4, 16 menos 5 es 15 cuartos y esta fracción es imposible, la dejamos como está y el ejercicio 53 ya está terminado. 00:08:09
Subido por:
Ana O.
Licencia:
Reconocimiento
Visualizaciones:
74
Fecha:
18 de enero de 2021 - 22:28
Visibilidad:
Público
Centro:
IES GONZALO CHACÓN
Duración:
08′ 25″
Relación de aspecto:
1.39:1
Resolución:
1032x740 píxeles
Tamaño:
10.19 MBytes

Del mismo autor…

Ver más del mismo autor


EducaMadrid, Plataforma Educativa de la Comunidad de Madrid

Plataforma Educativa EducaMadrid