Saltar navegación

Activa JavaScript para disfrutar de los vídeos de la Mediateca.

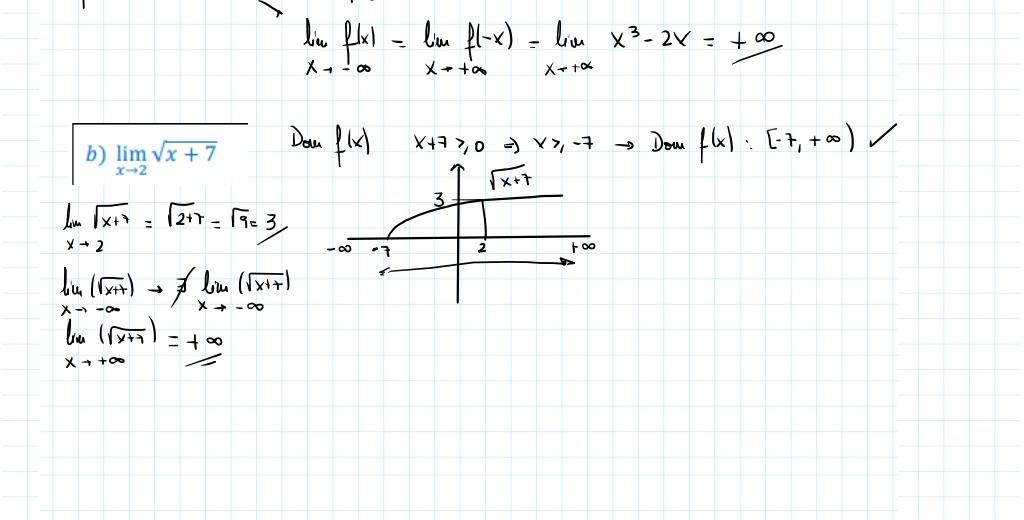
Límites de funciones - Contenido educativo

Ajuste de pantalla

El ajuste de pantalla se aprecia al ver el vídeo en pantalla completa. Elige la presentación que más te guste:

Subido el 13 de enero de 2026 por Roberto A.

13 visualizaciones

Descargar la transcripción

Gracias. 00:03:42
Gracias. 00:23:58
Valoración:
  • 1
  • 2
  • 3
  • 4
  • 5
Eres el primero. Inicia sesión para valorar el vídeo.
Idioma/s:
es
Idioma/s subtítulos:
es
Materias:
Matemáticas
Niveles educativos:
▼ Mostrar / ocultar niveles
  • Bachillerato
    • Segundo Curso
Autor/es:
Roberto Aznar
Subido por:
Roberto A.
Licencia:
Reconocimiento - No comercial - Compartir igual
Visualizaciones:
13
Fecha:
13 de enero de 2026 - 12:50
Visibilidad:
Público
Centro:
IES JIMENA MENÉNDEZ PIDAL
Duración:
42′
Relación de aspecto:
1.97:1
Resolución:
1024x520 píxeles
Tamaño:
72.88 MBytes

Del mismo autor…

Ver más del mismo autor

Comentarios

Para publicar comentarios debes entrar con tu nombre de usuario de EducaMadrid.

Comentarios

Este vídeo todavía no tiene comentarios. Sé el primero en comentar.



EducaMadrid, Plataforma Educativa de la Comunidad de Madrid

Plataforma Educativa EducaMadrid