Saltar navegación

Activa JavaScript para disfrutar de los vídeos de la Mediateca.

Ecuación con denominadores numéricos - Contenido educativo

Ajuste de pantalla

El ajuste de pantalla se aprecia al ver el vídeo en pantalla completa. Elige la presentación que más te guste:

Subido el 26 de enero de 2021 por Jose S.

75 visualizaciones

Descargar la transcripción

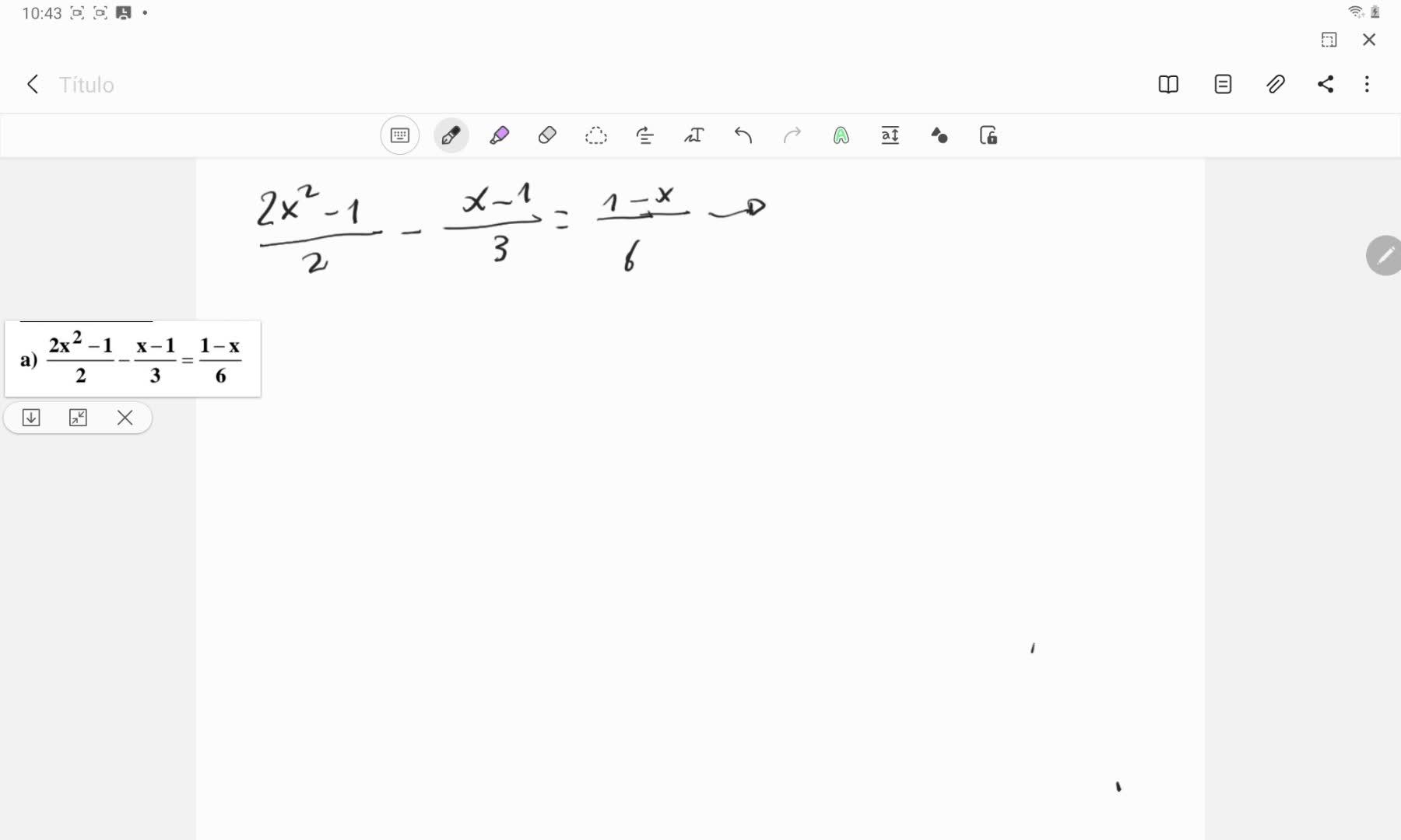
Bien, vamos a resolver el ejercicio 1, el apartado A del ejercicio 1. 00:00:00
Bien, tenemos una ecuación, en este caso, la he copiado aquí, tenemos una ecuación con fracciones. 00:00:07
¿Cómo proceder? Pues nada, esto es un repaso ya de otros años. 00:00:15
Se hace el mínimo común múltiplo de los denominadores, que fácilmente vemos que es 6, 00:00:19
Y entonces lo que voy a hacer es sustituir estas fracciones por fracciones equivalentes que tengan denominador 6. 00:00:26
Es la misma técnica que utilizamos cuando sumamos y restamos fracciones. 00:00:44
Haríamos 6 entre 2 y lo que te dé por el numerador, igual que cuando sumamos fracciones. 00:00:52
6 entre 2 a 3, 3 por 2x menos 1. 00:00:58
Ahora, 6 entre 3 a 2, 2 por x menos 1. 00:01:04
6 entre 6 a 1, 1 por 1 menos x. Se deja igual. 00:01:09
Bien, una vez que tengo el mismo denominador, podríamos escribir esto del siguiente modo. 00:01:13
Ya voy multiplicando los paréntesis, ¿vale? 00:01:17
6x cuadrado, 3 por 2x cuadrado, 6x cuadrado menos 3 por 1, 3. 00:01:22
Y abajo 6, menos, bueno, aquí 2 por x, 2x, menos 2 entre 6, igual a 1 menos x entre 6. 00:01:27
Fijaros, como tiene el mismo denominador, lo que hacemos es que se pueden quitar. 00:01:42
Vamos a ver por qué. 00:01:50
Vamos a ver por qué. 00:01:53
fijaos, si pongo 00:01:53
como tiene el mismo denominador 00:01:59
se restarían los numeradores 00:02:09
cuidado, aquí este menos 00:02:11
afecta a todo el numerador 00:02:13
por lo tanto habría que poner un paréntesis 00:02:17
esto es un fallo muy típico 00:02:19
que no se pone 00:02:21
y fijaos, ahora 00:02:22
sí que puedo decir, bueno, el 6 pasaría a multiplicar 00:02:25
y se va este 6 con este 00:02:29
en definitiva 00:02:32
un número 00:02:33
dividido 6 00:02:35
es igual a otro número dividido 6 00:02:41
entonces los numeradores 00:02:43
han de ser iguales 00:02:45
ese es el razonamiento 00:02:47
ya cambio el signo a todo lo que hay dentro 00:02:49
para quitar el paréntesis 00:02:54
en definitiva 00:02:56
cuando en la ecuación 00:02:58
todas las fracciones tienen el mismo denominador 00:03:00
los puedo eliminar 00:03:02
Y así he eliminado las fracciones de la ecuación, ¿de acuerdo? 00:03:03
Con especial cuidado cuando hay un signo menos delante de una fracción, 00:03:09
porque hay que tener en cuenta que afecta a todo el numerador, como es este el caso, ¿de acuerdo? 00:03:13
Entonces, no valdría tachar sin más, sino tachar, pero con la precaución de que el menos afecte al numerador, ¿de acuerdo? 00:03:18
Que quede afectado el numerador por el signo menos. 00:03:26
Y luego ya me quedaría una ecuación de grado 2, en este caso, que bueno, que resolvemos, es esta, ¿vale? La tenemos aquí ya resuelta, que resolvemos pues mediante la fórmula de la ecuación de grado 2, sustituyendo en este caso A es 1, B es menos 1 y C es menos 2. 00:03:29
esto escribe más b es menos 1 y cero sustituyendo obtienes los dos soluciones 00:04:02
las dos soluciones de acuerdo 00:04:13
Subido por:
Jose S.
Licencia:
Reconocimiento - No comercial
Visualizaciones:
75
Fecha:
26 de enero de 2021 - 17:38
Visibilidad:
Público
Centro:
IES BARRIO SIMANCAS
Duración:
04′ 18″
Relación de aspecto:
1.67:1
Resolución:
1800x1080 píxeles
Tamaño:
30.42 MBytes

Del mismo autor…

Ver más del mismo autor


EducaMadrid, Plataforma Educativa de la Comunidad de Madrid

Plataforma Educativa EducaMadrid