CEPAPUB LAS ROZAS vídeos
Evidencia fundamental B1.
Evidencia fundamental. Gestión aprendizaje y evaluación.
Salón de la Famática
Competencia Digital Docente
Ejercicios 3
Ejercicios 2
Introducción
Introducción
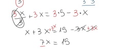
Ecuación. Igualdad
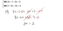
Ejercicios 1
Ciclos biogeoquímicos: el nitrógeno
Ciclo del Nitrógeno
LMS_DamianaGonzalez
Evidencia sobre el video interactivo
Pasapalabra
ciclo del nitrógeno
Pasapalabra
Innovación_Aula4
LMS_DamianaGonzalez_no
TAREA 2 INFOGRAFIA
TAREA 2 PRESENTACIÓN
videos subtitulos
CANVA
raices