Francisco G. vídeos
16 resultados (página 1 de 1)
Plataforma de aprendizaje y evaluación
Vídeo explicativo Contenido Digital 2 - fichas Liveworksheets
Difusión de experiencias - autoría de Francisco Gil
Video explicativo Contenido Digital 3 - kahoots
Vídeo explicativo Contenido Digital 1 - canal Píldoras Matemáticas
11 Ejercicios de inferencia estadística (II)
10 Ejercicios de inferencia estadística (I)
09 Intervalo de confianza para la media poblacional
08 Inferencia estadística
07 Intervalo de confianza
06 Tipificar la variable
05 Ejercicios con la tabla de distribución normal
04 Cómo usar la tabla de distribución normal
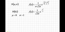
03 Distribución Normal N(0,1)
02 Función de distribución normal
01 Qué es la distribución normal
16 resultados (página 1 de 1)