Miguel Angel B. vídeos
17 resultados (página 1 de 1)
Asignar alumnos a tramos
Contenido digital 3 (Evidencia Fundamental 2)
Contenido digital 2 (Evidencia Fundamental 2)
LMS-Miguel Ángel Baeza Alba
Contenido digital 1 (Evidencia Fundamental 2)
Máximo Común Divisor en 3ºESO haciendo uso de Scratch
Contenido educativo. subido por Miguel Angel B. 02′ 57″ - hace 3 años - Idioma:
- 12 visualizacionesIndicaciones para el claustro sobre cómo entregar Portafolio B1-B2
Scape room
Scape Room
Cuaderno del profesor (Raices)
Presentación Scratch Miguel Angel Baeza Alba
Contenido educativo. subido por Miguel Angel B. 02′ 30″ - hace 4 años - Idioma:
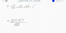
- 109 visualizacionesOperaciones con radicales
Operaciones con potencias
Ejerciicio 19_Probabilidad
Ejercicio 9_Probabilidad
Ejercicio 5_Pruebas Compuestas
Contenido educativo. subido por Miguel Angel B. 06′ 35″ - hace 6 años - Idioma:
- 81 visualizacionesPruebas Compuestas_Sucesos Dependientes
17 resultados (página 1 de 1)