Saltar navegación

Activa JavaScript para disfrutar de los vídeos de la Mediateca.

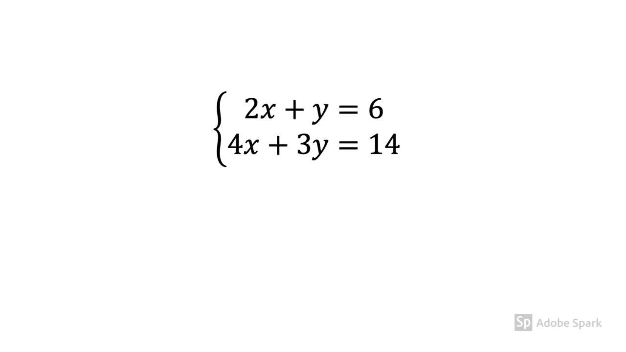
Método de sustitución

Ajuste de pantalla

El ajuste de pantalla se aprecia al ver el vídeo en pantalla completa. Elige la presentación que más te guste:

Subido el 13 de mayo de 2019 por Marina R.

28 visualizaciones

En el vídeo se resuelve un sistema de dos ecuaciones mediante el método de sustitución.

Descargar la transcripción

A continuación vamos a explicar cómo resolver un sistema mediante el método de sustitución. 00:00:01
Este sistema está formado por dos ecuaciones con dos sincónicas, la x y la y. 00:00:06
Método de sustitución. El paso 1 del método de sustitución consiste en despejar una variable, 00:00:12
bien de la ecuación 1 o bien de la ecuación 2, y puede ser tanto la x como la y. 00:00:19
En este caso la más fácil de despejar sería la y de la ecuación 1, pues es positiva y tiene un 1 delante. 00:00:23
De esta forma se nos queda igual a 6-2x 00:00:29
El paso 2 del método de sustitución consiste en sustituir la variable en la otra ecuación 00:00:32
Es decir, en la segunda ecuación, que era 4x más 3y igual a 14 00:00:38
Cambiamos y por el valor obtenido en el paso 1, 6-2x 00:00:42
Por tanto nos queda 4x más 3 por 6-2x igual a 14 00:00:46
El paso 3 del método de sustitución consiste en resolver la ecuación obtenida 00:00:51
Es una ecuación de grado 1 con la variable x 00:00:56
pasamos las x al miembro de la derecha y los números al otro 00:00:58
para así obtener las x en positivo 00:01:03
vamos resolviendo y al final obtenemos que la x es igual a 2 00:01:06
y por último el paso 4 del método sustitución 00:01:10
consiste en volver al paso 1 y sustituir el valor de la variable obtenida 00:01:14
como hemos obtenido que la x era igual a 2 00:01:18
tenemos que y es igual a 6 menos 2 por x 00:01:21
es decir 6 menos 2 por 2 00:01:24
que eso sería 4 igual a 2 00:01:26
por tanto la solución del sistema queda como x igual a 2 e y igual a 2 00:01:28
Idioma/s:
es
Autor/es:
Ana Pascua, Beatriz Bardón, Marina Reche
Subido por:
Marina R.
Licencia:
Reconocimiento - No comercial - Compartir igual
Visualizaciones:
28
Fecha:
13 de mayo de 2019 - 17:11
Visibilidad:
Público
Centro:
Sin centro asignado
Duración:
01′ 35″
Relación de aspecto:
1.78:1
Resolución:
1280x720 píxeles
Tamaño:
5.06 MBytes

Del mismo autor…

Ver más del mismo autor


EducaMadrid, Plataforma Educativa de la Comunidad de Madrid

Plataforma Educativa EducaMadrid