1.- Experimento Aleatorio.Sucesos. (Subtitulado)
1.- Experimento Aleatorio.Sucesos.
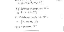
2.- Operaciones con sucesos - Contenido educativo
3.- Sucesos compatibles e incompatibles. Suceso seguro e imposible.
4.- Diagramas de Venn. Leyes de Morgan
1.- Introducción a la probabilidad
2.- Regla de Laplace I
3.- Regla de Laplace II
1.- Propiedades de la probabilidad
2.- Ejemplos sobre propiedades de la probabilidad
1.- Probabilidad condicionada. Introducción.
2.- Ejemplo probabilidad condicionada. Tabla I
3.- Ejemplo probabilidad condicionada. Tabla II
4.- Ejemplo experimento compuesto
Probabilidad - Contenido educativo
- Contenidos de la lista:
- 14 elementos
1.- Experimento Aleatorio.Sucesos. (Subtitulado)
1.- Experimento Aleatorio.Sucesos.
2.- Operaciones con sucesos - Contenido educativo
3.- Sucesos compatibles e incompatibles. Suceso seguro e imposible.
4.- Diagramas de Venn. Leyes de Morgan
1.- Introducción a la probabilidad
2.- Regla de Laplace I
3.- Regla de Laplace II
1.- Propiedades de la probabilidad
2.- Ejemplos sobre propiedades de la probabilidad
1.- Probabilidad condicionada. Introducción.
2.- Ejemplo probabilidad condicionada. Tabla I
3.- Ejemplo probabilidad condicionada. Tabla II
4.- Ejemplo experimento compuesto