Jose S. vídeos
Primero de bachillerato ciencias naturales_ Tema 7 vectores_ explicación teoría parte 2_suma de vectores
Primero de bachillerato ciencias naturales_tema 7 de vectores_ explicación teoría_parte 1
4º de la eso_examen de álgebra_grupo b2_ejercicio 5
4º de la ESO_ examen de álgebra_grupo b2_ejercicio 4
4º de la ESO_ examen de álgebra_ grupo b2_ejercicio 3
4º de la ESO_ examen de álgebra_ grupo b2_ejercicio 2
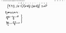
4º de la ESO y un bajo examen de álgebra_ grupo 2_ejercicio 1
4º de la ESO_ examen de álgebra_grupo b1_ejercicio 5
4º de la ESO examen álgebra_grupo B 1_ejercicio 4
4º de la ESO_ ejercicio 3_examen álgebra_ grupo 1
4º de eso examen grupo cuarto B uno_ejercicio 2
4º_ESO_Examen Algebra_G1_Ejercicio 1_Ecuación Bicuadrada
Ejercicio de operaciones con potencias de diferente base y diferente exponente
2_ESO_examen_Tema_4_ejercicio 8
2_ESO_examen_Tema_4_ejercicio 8
Método de sustitución
Ejercicio 3 del tema 3 segundo bachillerato ciencias sociales
2º de bachillerato tema 1 ejercicio 1 apartado b
Propiedades de los determinantes
Ejercicio 7 de examen tema 4 2º de la ESO modalidad A método numérico
2º de la ESO examen tema 4 modalidad a ejercicio 7 por el método gráfico
Examen tema 4 modalidad a ejercicio 5
Ejercicio 4 examen tema cuatro modalidades a
Ejercicio 3 del examen modalidad A del tema 4 2º de ESO