IES IGNACIO ALDECOA vídeos
Teoría Determinantes - Método de Sarrus
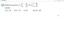
Ficha 1 _ 8 enero 25
Ejercicio 5 - Examen 3 (Estadística)
Ejercicio 4 - Examen 3 (Probabilidad)
Ejercicio 3 - Examen 3 (Matrices)
Ejercicio 2 - Examen 3 (Matrices)
Ejercicio 1 - Examen 3 (Programación Lineal)
Ejercicio 12 Ficha 7
Ejercicio 10 ficha7
Ejercicio programación lineal con enunciado
Ejercicio 7 Ficha 7
Ejercicio 2 Ficha 7
Ejercicio 14 Ficha 7 - Contenido educativo
Ecuación Matricial
Potencia de una matriz
Producto de Matrices
Operaciones con Matrices
Tipos de Matrices
Ejemplo Intervalo de Confianza para la Media
Ejemplo Intervalo de COnfianza para la Proporción
Ejemplo Proabilidad Teorema de Bayes
Ejemplo Probabilidad
Ejemplo Programación Lineal
Ejemplo Sistema Compatible Determinado